Revista Mexicana de Ciencias Forestales Vol. 14 (76)

Marzo – Abril (2023)

Logotipo, nombre de la empresa

Descripción generada automáticamente

DOI: https://doi.org/10.29298/rmcf.v14i76.1324

Research articule

 

Fertilización, calidad de planta y supervivencia en campo de Pinus spp. en Ixtlán de Juárez, Oaxaca

Fertilization, plant quality and field survival of Pinus spp. in Ixtlán de Juárez, state of Oaxaca

 

Martín Paz Paz1, Dante Arturo Rodríguez Trejo1*, Antonio Villanueva Morales1, Ma. Amparo Máxima Borja De la Rosa1

 

Fecha de recepción/Reception date: 17 noviembre de 2022

Fecha de aceptación/Acceptance date: 20 de febrero de 2023

_______________________________

1División de Ciencias Forestales. Universidad Autónoma Chapingo. México.

 

*Autor para correspondencia; correo-e: dantearturo@yahoo.com

*Corresponding author; e-mail: dantearturo@yahoo.com

 

Abstract

The Pinus patula and Pinus oaxacana seedling quality was evaluated under three fertilization treatments. The production cycle spanned along 9 months in the Ixtlán de Juárez forest nursery, state of Oaxaca, Mexico. The assessed variables were: caliper, height, tap root length, shoot, root and total dry weight, shoot/root ratio, slenderness coefficient, lignification index and Dickson index, as well as the root growth potential. Field survival 12 months after planting in localities of the same community was analyzed. The seedlings of both species reached a caliper ≥3.5 mm and heights from 28 to 42 cm. The mean values were: 3.5 g (total dry weight), 4.4 (shoot/root ratio), 8.1 (slenderness coefficient), 29.7 % (lignification index), 0.25 (Dickson index). After the application of fertilization treatments high and the traditional for the forest nursery, in both of the species were obtained mean and high quality seedlings. 12 months after planting, the mean survival was equal to 47 %. There were statistical significant differences for aspect (p=0.0266) and fertilization (p≤0.0001), but not for species (p=0.7604). The variables more closely related to the mortality risk in the plantation site were aspect, fertilization, caliper and root growth potential.

Key words: Plant quality, Pinus patula Schltdl. & Cham., Pinus oaxacana Mirov, seedling production, reforestation, forest nursery. 

Resumen

Se evaluó la calidad de planta producida con tres tratamientos de fertilización en Pinus patula y Pinus oaxacana. Las plantas se produjeron durante nueve meses en el vivero forestal de Ixtlán de Juárez, Oaxaca, México. Las variables medidas fueron: diámetro al cuello de la raíz, altura, longitud de raíz principal, peso seco aéreo y de raíz, peso seco total, relación peso seco aéreo/peso seco de raíz, se calcularon el coeficiente de esbeltez, los índices de Lignificación y de Dickson, además del crecimiento potencial de raíz (CPR). Se analizó la supervivencia en campo a 12 meses de haberse plantado en áreas de la misma comunidad. En ambas especies se obtuvo planta con diámetro ≥3.5 mm y alturas de 28 a 42 cm. Los valores medios de las plantas fueron: 3.5 g (peso seco total), 4.4 (relación peso seco aéreo/peso seco de raíz), 8.1 (coeficiente de esbeltez), 29.7 % (Índice de Lignificación), 0.25 (Índice de Dickson). Al aplicar la fertilización alta y la tradicional del vivero en las dos especies, la planta fue de calidad media y alta. A 12 meses de la plantación, la supervivencia promedio fue de 47 %. Se determinaron diferencias significativas para exposición (p=0.0266), esquema de fertilización aplicado (p≤0.0001), pero no entre especies (p=0.7604). Las variables que más se relacionaron con el riesgo de mortalidad en el sitio de plantación fueron: exposición, fertilización, diámetro y CPR.

Palabras clave: Calidad de planta, Pinus patula Schltdl. & Cham., Pinus oaxacana Mirov, producción de planta, reforestación, viveros forestales.

 

 

Introduction

 

 

Recent studies on a global scale conclude that in the last 50 years, humans have modified the planet's ecosystems more quickly and extensively than in any other period in history (Aleixandre-Benavent et al., 2018). Deforestation is a problem for developing countries, since it causes biodiversity loss and potentiates the effects of climate change (Hein et al., 2018).

Mexico is not exempt from these trends (Barrera et al., 2018). Reforestation programs in Mexico are a permanent strategy to recover, maintain and increase forest areas and reduce the degradation of forest lands (Flores et al., 2021).

The success or failure of these reforestation programs is linked to climate (Barrera et al., 2018), although the yield of the plants in the field is affected by their quality and by the prevailing conditions of the reforestation site (Grossnickle and MacDonald, 2018).

There are hundreds of forest nurseries in the country that supply plants to these reforestation programs, but only some use advanced technology (Robles et al., 2017). These nurseries seek to generate quality plants, base their production on containers with a correct plant density, appropriate substrate, adequate irrigation and fertilization schemes, among others, which are the components and operations that most affect plant quality (Rodríguez-Trejo, 2008).

The Pinus genus is the most used one for reforestation in Mexico from its ecological, economic and social importance (Flores et al., 2021). The species of this group are a source of wood, firewood, pulp, resins and other products (Farjon and Filer, 2013). In nurseries, it is of interest to provide optimal fertilization, since excesses, even if they do not reach toxic levels, increase production costs. In Ixtlán de Juárez, Pinus patula Schltdl. & Cham. and Pinus oaxacana Mirov are dominant in the forests that are managed for their use. In this context, the objectives of this study were: to evaluate the quality of the nursery plant produced with three fertilization schemes for these species, and its survival in the field after 12 months of planting in the reforestation areas of the same community, and calculate the risk of mortality of the plants based on their morphological variables and the conditions of the site.

 

 

Materials and Methods

 

 

Study area and plant production

 

 

The study was carried out in the technified forest nursery of the Ixtlán de Juárez community in the Sierra Norte of Oaxaca (17°20' N and 96°29' W, at 2 030 masl). The annual average temperature is 18.3 °C and the annual mean precipitation is 759.3 mm (Villegas-Jiménez et al., 2016). Species scheduled for reforestation in August-September 2021 were used: Pinus patula and P. oaxacana. Seeds were collected from “plus trees” for timber production in the communal forests of Ixtlán de Juárez. Sowing was made in polyethylene containers (24 cavities, 143 mL each). As a substrate, a mixture of peat moss, agrolite and vermiculite (40:20:40) was prepared. Slow release granular fertilizer Multicote Agri® (Haifa) formulation 18-6-12 of N-P-K (2.5 kg-m3 of substrate) was applied.

Nutrition was based on the application of soluble Foresta® fertilizer (Foresta) with formulations according to the cultivation stage: establishment (formulation 9-45-15, N-P-K), growth (20-10-20) and hardening (4-25-35). This fertilization was applied in two doses: low dose (100 ppm P, 64.2 ppm K and 46.4 ppm N [establishment], 100 ppm N, 83 ppm K and 21.5 ppm P [growth], and 125 ppm K, 46.2 ppm P and 17.2 ppm N [hardening]) and high dose (120 ppm P, 77 ppm K and 56 ppm N [establishment], 120 ppm N, 99.6 ppm K and 25.8 ppm P [growth], and 150 ppm K, 55.9 ppm P and 20.8 ppm N [hardening]). In addition, a third treatment (called “traditional nursery dose”) was included, which consisted only of the addition of inorganic solid mineral soluble fertilizer ELIXIR SUPREME® (11-12-18), with application of 0.6 g L-1 every four weeks to the base of the stem of the plant from the 5th week.

 

 

Plant quality analysis

 

 

After nine months of growth, seven seedlings from each of the six treatments (3 doses × 2 species) were randomly taken to measure: stem caliper (Dc, mm, with Truper® digital caliper); height (A, cm, with Pilot® ruler), tap root length (LR, cm, with Pilot® ruler); aerial (PSA, g, scale model Scout, Ohaus® brand), root (PSR, g) and total (PST, g) dry weights. The morphological indices evaluated were: shoot:root ratio (PSA/PSR), slenderness coefficient (CE), Dickson index (ICD) and lignification index (Prieto et al., 2009). As a reference for values of quality indicators in national conifers, those of Table 1 were used.

 

Table 1. Values to qualify the quality of plants with normal growth in forest species.

Variable

Quality

Low

Medium

High

Dc (mm)

<2.5*

2.5-3.9

≥4.0

A (cm)

<10.0

10.0-14.9

15.0-25.0

CE

>8.0

8.0-6.0

<6.0

RA/LR

>2.5

2.1-2.5

≤2

PSA/PSR

>2.5

2.1-2.5

1.5-2.0

ICD

<0.2

0.2-0.4

≥0.5

Sources: Conafor (2009), Prieto et al. (2009) and Sáenz et al. (2014).

Dc =Caliper; A = Height; CE = Slenderness coefficient; RA/RL = Root height/length ratio; PSA/PSR = Shoot:root ratio; ICD = Dickson index.

 

 

Potential root growth

 

 

For the potential root growth test, when the plants reached nine months in the nursery, nine of each of the six treatments were randomly taken, and they were transplanted into pots (5 L) with a mixture of equal parts of agrolite, vermiculite and peat moss. The pots were placed in a greenhouse, according to a randomized complete block design. They were irrigated to maintain the substrate at field capacity. After four weeks, the root balls were extracted and the new roots (white, turgid, ≥1 cm long) were counted.

 

 

Field Survival Test

 

 

In September, after nine months in the nursery, the trees were planted in the aforementioned reforestation areas; Table 2 indicates the characteristics of the two chosen sites. In each one, 40 plants were established per species-treatment combination, with 4 repetitions (10 plants) and planted in a frame at a distance of 1.5 m. In total, 480 plants were planted. Survival was evaluated at 3, 6, 9, and 12 months.

 

Table 2. Characteristics of the sites where the Pinus patula Schltdl. & Cham. and P. oaxacana Mirov plantation was established in the community of Ixtlán de Juárez, Oaxaca, Mexico.

Characterístics

Site 1

Site 2

Aspect

South

North

Slope (%)

45

32

Altitude (masl)

2 165

2 562

Coordinates (degrees)

17.362448°

-96.493407°

17.353672°

-96.475008°

 

 

Statistical analysis

 

 

For the evaluation of plant quality in the nursery, a completely randomized experimental design was used, with a 2×3 factorial arrangement, with two species levels and three fertilization levels. The statistical model was:

 

ij    (1)

 

Where:

 =   Response variable

μ =     General mean

 =     Effect of the i-th species factor level

 =     Effect of the j- th fertilization factor level

ij = Interaction between the i-th species factor level and the j-th fertilization factor level

 =    Experimental error 

 

The effect of the factors and their interactions on the morphological variables evaluated were tested using an analysis of variance (ANOVA) with the GLM procedure of the statistical analysis package SAS (2002). Effects were considered significant when p<0.05. Tukey's post-hoc test (α=0.05) was used to test the differences between the treatment means of the factors that were significant.

The differences in survival in the field between the treatments and between the species were examined with the Log-Rank test, by the Kaplan-Meier method (Kaplan and Meier, 1958). For this, the status of each plant (alive or dead) at the end of the evaluation period (12 months), as well as its life time (months) was determined. The analysis was done with the LIFETEST procedure from SAS (2002). The survival function is defined as:

 

     (2)

 

Where:

 =         Survival function

 = Probability that a death occurs in a time T at least as great as time t (Kaplan and Meier, 1958).

 

To estimate the effect of the studied factors, based on the morphological variables as covariates, a Cox proportional hazards regression was applied. The proportional hazards model used was (Cox, 1972):

 

     (3)

 

Where:

 = Risk of death of an individual i at time t

h0 =    Unspecified risk function

X1, …, Xk =    Covariables

 

This model estimates a coefficient b for each factor or covariate and tests the null hypothesis that b=0 with the χ2 statistic. Such coefficient explains the effect of a factor or a covariate in the risk function. The analysis was carried out using the PHREG procedure of SAS (2002).

 

 

Results and Discussion

 

 

Plant quality evaluation

 

 

According to the optimal intervals to qualify plant quality, the variables and indices that are in the medium and high quality interval are: Dc, A and ICD, in both species. The CE and PSA/PSR variables were of low quality (Table 3).

 

Table 3. Comparison of means of quality indicators, between species and treatments.

Species

Pinus patula Schltdl. & Cham.

Pinus oaxacana Mirov

 

Fertilization level

Fertilization level

Variable

Low

High

Trad.

Low

High

Trad.

Dc (mm)

3.50 b

4.20 a

4.55 a

3.52 b

3.90 ab

4.24 a

A (cm)

29.0 c

33.2 b

41.9 a

28.2 c

30.3 c

30.1 c

LR (cm)

9.64 c

9.87 ab

9.98 a

9.65 c

9.72 bc

9.87 ab

PSA (g)

2.266 c

3.407 ab

3.782 a

1.851 c

2.629 bc

3.415 ab

PSR (g)

0.511 c

0.737 ab

0.837 a

0.403 c

0.563 bc

0.689 ab

PST (g)

2.778 bc

4.105 a

4.620 a

2.255 c

3.193 b

4.144 a

PSA/PSR

4.4 a

4.1 a

5.4 a

4.1 a

4.4 a

4.1 a

CE

8.3 ab

8.0 ab

9.2 a

7.8 ab

7.8 ab

7.3 b

ICD

0.22 bc

0.30 a

0.27 abc

0.21 c

0.23 abc

0.30 ab

IL (%)

20.8 c

33.1 a

34.4 a

27.6 b

30.4 ab

31.9 ab

Trad. = Traditional; Dc = Caliper; A = Height; LR = Root length; PSA = Shoot dry weight; PSR = Root dry weight; PST = Total dry weight; PSA/PSR = Shoot:root ratio; CE = Slenderness coefficient; ICD = Dickson index; IL = Lignification index. Values with different letters in the same row present significant differences among themselves (p<0.05) with the Tukey test.

 

The Dc had the best values, in both species, when the high and traditional nursery dose fertilizations were applied (Table 3). A plant with Dc≥3.5 mm and A>28 cm was produced, values within the range of the Mexican Standard for the Certification of the Operation of Forest Nurseries (Secretaría de Comercio y Fomento Industrial, 2016). Levy and McKay (2003) consider Dc as the most reliable indicator of performance in the field. The Dc influences robustness, which is associated with vigor and survival (Tsakaldimi et al., 2013). A plant with higher Dc is better lignified, has carbohydrate reserves, more buds for regrowth and a more developed root (Rodríguez-Trejo, 2008).

For A, in both species and fertilization treatments, quality is high (Table 3). P. patula produced with the high and traditional fertilizations had the highest A. The plant with the highest A (15.0-25.0 cm) is a better competitor in understory sites, but is exposed to greater water stress and lower survival than the taller plant small under adverse conditions (Grossnickle and MacDonald, 2018).

In P. pseudostrobus Lindl. Dc of 5 mm and A of 22 to 25.5 cm have been recorded (Aguilera-Rodríguez et al., 2016) and Dc of 3.8 mm and A of 27.9 cm (Sáenz et al., 2014). In turn, Aguilera-Rodríguez et al. (2021) and González et al.(2017) indicated for P. patula A of 22 to 30 cm, 26.8 cm and 20 to 30 cm, and Dc≥4 mm, 4.12 mm and 3.19 mm respectively, figures similar to those of the present study.

The LR had values from 9.6 to 10 cm, the highest were found in P. patula with the traditional and high fertilizations, and in P. oaxacana with the traditional one, significantly different from the other treatment combinations (Table 3). This variable is restricted by the type and size of the container (González et al., 2017). The PSA and PSR obtained for P. patula with high and traditional fertilization and in P. oaxacana with high fertilization were the highest (>3.40 g and >0.68 g), indicating that the plants produced high above-ground biomass and little underground biomass, which is largely due to the size of the container (González et al., 2017).

In P. oaxacana, the CE values in the three fertilization schemes are between 7.3 and 7.9, so the plant is of medium quality; for this species, Ávila-Angulo et al. (2017) reported CE from 4.5 to 4.7, low values that are attributed to the Dc two times higher than those of the present work. In P. patula, the EC in the three fertilization schemes are between 8.0 and 9.2, so these plants are of low quality. Aguilera-Rodriguez et al. (2021), found in this species an CE<6, high quality, but in this study it resulted in low quality, which is due to the large A found in the species, since the higher A the CE decreases.

The PSA/PSR ratio for P. oaxacana and P. patula was 4.1 to 5.4, without significant differences between species or treatments. For both and the fertilization schemes used, the plant was of low quality (PSA/PSR>2.5, Table 3). With low PSA/PSR, the plant has a better chance of surviving, since its absorption of water and nutrients improves, but it transpires less (Escobar-Alonso and Rodríguez-Trejo, 2019).

The species, fertilization and their interaction had significant effects (p<0.05) on A, CE and lignification index. The combination of P. patula factors and the nursery's traditional fertilization scheme showed the best values in most of the morphological variables evaluated.

In P. oaxacana, the best ICD (0.30) was found with traditional fertilization, in P. patula this happened with high fertilization (0.30). The results, all the species and fertilization schemes yield a medium quality plant (Table 1). In P. oaxacana, Ávila-Angulo et al. (2017), refer ICD from 1.1 to 1.3, but in P. patula, ICD of 0.47-0.55, 0.26-0.58 and 0.23-0.25 have been obtained (González et al., 2017; Aguilera-Rodríguez et al., 2021). Values close to 1 indicate balance and balance between shoot and root (Ávila-Angulo et al., 2017).

In both species, the application of high and traditional fertilizations produced IL>30 %. Buendía et al. (2016) evaluated P. leiophylla Schiede ex Schltdl. & Cham. and found an IL of 30.9 %. This value is similar to those of the present study. This index estimates the degree of robustness that is needed for the plant to withstand water stress at the plantation site (Prieto et al.,2009).

 

 

Potential root growth

 

 

Both species had significant differences (p≤0.05) in the number of new roots between fertilization treatments. In P. oaxacana, 32, 51 and 74 new roots were counted in the low, high and traditional fertilizations, while in P. patula there were 27, 54 and 75. The treatments with higher fertilization have more micronutrients such as Zn, than contributes to the synthesis of indoleacetic acid, which promotes rooting (Alcántar et al., 2016). A greater number of roots in this test denotes more vigor in the tree to acclimatize to the plantation site, especially if it is limiting in humidity (Landis et al., 2010), such as the southern exposure, with respect to the north.

 

 

Field survival assessment

 

 

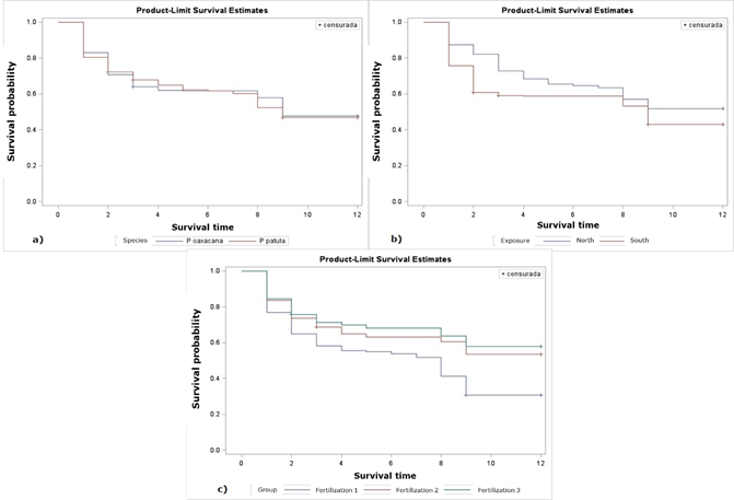
The Long-Rank test applied to evaluate survival by species (Figure 1a), did not show significant differences (p=0.7604), since P. oaxacana showed a mean survival of 47.9 % and P. patula of 47.0 %. The absence of differences is attributed to the fact that both species are native and develop naturally in the forests of this community, and to the fact that they were produced in a similar way in the nursery.

 

Figure 1. Estimated survival function [S(t)] for: a) the two species evaluated in reforestation at both plantation sites, b) the two species, evaluated by aspect in which they were planted, and c) the three fertilization. Schemes at the nursery

 

For the aspect variable, with the same statistical test, there were significant differences (p=0.0266); the southern aspect (site 1) showed lower survival (43.3 %) (Figure 1b). On the contrary, the northern aspect (site 2) revealed higher survival (51.6 %). Robles et al. (2017) reported the effect of aspect (p=0.0222) on the survival of P. montezumae Lamb. with higher values in northern aspect (88.7 %), compared to the south (83.3 %). In the northern hemisphere, the southern aspect receives more solar radiation during the year, for which a higher temperature and less available soil moisture prevail. In contrast, the northern aspect is wetter, with lower temperatures and higher biomass (Griffiths et al., 2009).

The Long-Rank test to assess survival by fertilization scheme (Figure 1c) showed significant differences (p<0.0001). The contrasts between low fertilization schemes vs. high and low vs. traditional, they also had them (p<0.0001 and p<0.0001) (Figure 1c). In the corresponding to high fertilization vs. traditional, there were not verified (p=0.4398). The high fertilization showed a survival of 53.75 %, and the traditional, 58.13 %. Low fertilization had the lowest survival (30.63 %).

The favorable survival response for the high and traditional fertilization schemes can be explained by the morphophysiological characteristics that the plants developed in the nursery, as a result of such fertilizations. The higher doses of N in these treatments -an element that makes up proteins and particularly influences growth to reach dimensions, such as Dc, related to quality- as well as that of K -which participates in osmotic regulation and in the opening and closing stomatal, and thus contributes to better resist low temperatures and humidity limitations (Rodríguez, 2008; Alcántar et al., 2016)- contributed to the higher survival values.  

 

 

Hazard analysis

 

 

The Cox proportional hazards model was significant for the analyzed data set and studied variables (p‹0.0001). Aspect, fertilization, Dc and A had a significant effect on the risk function (p≤0.05), while the PST and ICD variables did not show a significant effect (p>0.05) on it (Table 4).

 

Table 4. Results of the proportional hazards regression.

Analysis of the maximum likelihood estimator

Parameter/Variable

GL

Estimator

Standard error

χ2

Pr > χ2

Risk ratio

Species

Pinus patula Schltdl. & Cham.

1

0.07828

0.25206

0.0965

0.7561

1.081

Aspect

South

1

0.52910

0.12655

4.3697

0.0366

1.697

Fertilization scheme

F 1

1

0.52071

0.15025

12.0102

0.0005

1.683

F 2

1

0.19306

0.15025

1.6510

0.1988

1.213

Root collar diameter (Dc)

1

-1.02674

0.29555

12.0686

0.0005

0.358

Height (A)

1

0.0362

0.02604

1.9332

0.041

1.037

Total dry weight (PST)

1

0.11432

0.30894

0.1369

0.7113

1.121

Dickson index (ICD)

1

-0.59728

2.86908

0.0433

0.8351

0.55

 

The plants with low fertilization showed a positive estimator and a risk ratio of 1.683, which indicates that taking a plant to the field with such a scheme increases the risk of death by 68.3 % during the first months after planting, with respect to high dose and traditional fertilization. Fertilizing the plant in the nursery favors its morpho-physiological condition, which contributes to improving its quality, that is, its survival and initial growth (Alcántar et al., 2016).

The Cox risk analysis showed that the Dc had a significant effect on the risk function, with a negative b estimator and a risk ratio of 0.358. This means that the 1 mm increase in the Dc of the plants reduces the risk of death up to 64.1 %, [100(1-e-1.02674)], provided that the other variables remain constant. According to Levy and McKay (2003), plants with larger Dc survive and grow better than those with smaller Dc. The Dc of P. pseudostrobus it is related to its survival in the field; an increase of 1 mm in Dc reduces the risk of death up to 66.8 % (Sigala et al., 2015), a value similar to that of the present study. Authors such as Tsakaldimi et al. (2013) concluded that for Pinus and other species, the Dc influences survival during the first months of establishment. A similar trend has been observed in P. cooperi C. E. Blanco and P. engelmannii Carrière in the state of Durango, for A (Prieto et al., 2018).

 

 

Conclusions

 

 

The results for the morphological quality indicators, such as A and Dc, validate the traditional fertilization of the nursery for both species. It is also suggested that high fertilization is equally recommended for P. patula. In the present work, the classic canon of the importance of producing a robust plant, with good Dc, is highlighted.

Field survival at 12 months was acceptable, greater than 50 % for both species, due to the effect of high and traditional fertilization. However, the former may be cheaper. Quality standards must be established by species, but also by provenance and plantation site, since under different environmental conditions, such as those given by different aspect, plants with the same quality attributes will have different survivals.

 

Acknowledgements

 

The authors thank Conacyt, the Master's Program in Forest Sciences of UACH and the community of Ixtlán de Juárez, for the support provided.

 

Conflict of interests

 

The authors declare no conflict of interest.

 

Contribution by author

 

Martin Paz Paz: design and installation of experiments, cultivation of the plant, application of treatments, measurements, statistical analysis and writing of the manuscript; Dante Arturo Rodríguez Trejo: design and supervision on: installation of the experiment, cultivation of the plant, application of treatments and revision of the manuscript; Antonio Villanueva Morales: supervision of the experimental design, general monitoring, statistical analysis and revision of the manuscript; Ma. Amparo Máxima Borja de la Rosa: general monitoring and review of the manuscript.

 

 

References

Aguilera-Rodríguez, M., A. Aldrete, L. I. Trejo-Téllez y V. M. Ordaz-Chaparro. 2021. Sustratos con aserrín de coníferas y latifoliadas para producir planta de Pinus patula Schiede ex Schltdl. et Cham. Agrociencia 55(8):719-732. Doi: 10.47163/agrociencia.v55i8.2664.

Aguilera-Rodríguez, M., A. Aldrete, T. Martínez-Trinidad y V. M. Ordáz-Chaparro. 2016. Producción de Pinus montezumae Lamb. con diferentes sustratos y fertilizantes de liberación controlada. Agrociencia 50(1):107-118. https://agrociencia-colpos.org/index.php/agrociencia/article/view/2370/2046. (18 de octubre de 2022).

Alcántar G., G., L. I. Trejo T., L. Fernández P. y M. de las N. Rodríguez M. 2016. Elementos esenciales. In: Alcántar G., G., L. I. Trejo-Téllez y F. C. Gómez M. (Coords.). Nutrición de cultivos. Colegio de Posgraduados y Mundi-Prensa. Texcoco, Edo. Méx., México. pp. 23-52.

Aleixandre-Benavent, R., J. L. Aleixandre-Tudó, L. Castelló-Cogollos and J. L. Aleixandre. 2018. Trends in global research in deforestation. A bibliometric analysis. Land Use Policy 72:293-302. Doi: 10.1016/j.landusepol.2017.12.060.

Ávila-Angulo, M. L., A. Aldrete, J. J. Vargas-Hernández, A. Gómez-Guerrero, V. A. González-Hernández and A. Velázquez-Martínez. 2017. Hardening of Pinus oaxacana Mirov seedlings under irrigation management in nursery. Revista Chapingo, Serie Ciencias Forestales y del Ambiente 23(2):221-229. Doi: 10.5154/r.rchscfa.2016.05.029.

Barrera R., R., R. López A. y H. J. Muñoz F. 2018. Supervivencia y crecimiento de Pinus pseudostrobus Lindl., y Pinus montezumae Lamb. en diferentes fechas de plantación. Revista Mexicana de Ciencias Forestales 9(50):323–341. Doi: 10.29298/rmcf.v9i50.245.

Buendía V., M. V., M. Á. López L., V. M. Cetina A. and L. Diakite. 2016. Substrates and nutrient addition rates affect morphology and physiology of Pinus leiophylla seedlings in the nursery stage. iForest Biogeosciencies and Forestry 10(1):115-120. Doi: 10.3832/ifor1982-009.

Comisión Nacional Forestal (Conafor). 2009. Criterios técnicos para la producción de especies forestales de ciclo corto (rápido crecimiento), con fines de restauración. Conafor. Zapopan, Jal., México. 9 p.

Cox, D. R. 1972. Regression models and life-tables. Journal of the Royal Statistical Society: Series B (Methodological) 34(2):187-220. Doi: 10.1111/j.2517-6161.1972.tb00899.x.

Escobar-Alonso, S. y D. A. Rodríguez-Trejo. 2019. Estado del arte en la investigación sobre calidad de planta del género Pinus en México. Revista Mexicana de Ciencias Forestales 10(55):4-38. Doi: 10.29298/rmcf.v10i55.558.

Farjon, A. and D. Filer. 2013. An atlas of the world’s conifers: An analysis of their distribution, biogeography, diversity and conservation Status. Brill. Boston, MA, United States of America. 512 p.

Flores, A., M. E. Romero-Sánchez, R. Pérez-Miranda, T. Pineda-Ojeda y F. Moreno-Sánchez. 2021. Potencial de restauración de bosques de coníferas en zonas de movimiento de germoplasma en México. Revista Mexicana de Ciencias Forestales 12(63):4-27. Doi: 10.29298/rmcf.v12i63.813.

González Á., J., A. Peralta C., A. Hernández L., R. González Á., M. G. Salgado M. y S. Hernández L. 2017. Efecto del tamaño de envase y familia en el crecimiento y calidad de brinzales de Pinus patula schlechtendal & chamisso var. patula en vivero. Agrofaz 17(1):89–100. https://dialnet.unirioja.es/servlet/articulo?codigo=6505180. (18 de octubre de 2022).

Griffiths, R. P., M. D. Madritch and A. K. Swanson. 2009. The effects of topography on forest soil characteristics in the Oregon Cascade Mountains (USA): Implications for the effects of climate change on soil properties. Forest Ecology and Management 257(1):1-7. Doi: 10.1016/j.foreco.2008.08.010.

Grossnickle, S. C. and J. E. MacDonald. 2018. Why seedlings grow: influence of plant attributes. New Forests 49(1):1-34. Doi: 10.1007/s11056-017-9606-4.

Hein, J., A. Guarin, E. Frommé and P. Pauw. 2018. Deforestation and the Paris climate agreement: An assessment of REDD+ in the national climate action plans. Forest Policy and Economics 90:7-11. Doi: 10.1016/j.forpol.2018.01.005.

Kaplan, E. L. and P. Meier. 1958. Nonparametric estimation from incomplete observations. Journal of the American Statistical Association 53(282):457-481. Doi: 10.1007/978-1-4612-4380-9_25.

Landis, T. D., R. K. Dumroese and D. L. Haase. 2010. Seedling processing, storage, and outplanting. The Container Tree Nursery Manual, Vol. 7. Agriculture Handbook 674. U. S. Department of Agriculture, Forest Service. Washington, D. C., United States of America. 200 p.

Levy, P. E. and H. M. McKay. 2003. Assessing tree seedling vitality tests using sensitivity analysis of a process-based growth model. Forest Ecology and Management 183(1-3):77–93. Doi: 10.1016/S0378-1127(03)00095-1.

Prieto R., J. Á., A. Duarte S., J. R. Goche T., M. M. González O. y M. Á. Pulgarín G. 2018. Supervivencia y crecimiento de dos especies forestales, con base en la morfología inicial al plantarse. Revista Mexicana de Ciencias Forestales 9(47):151-168. Doi: 10.29298/rmcf.v9i47.182.

Prieto R., J. Á., J. L. García R., J. M. Mejía B., S. Huchín A. y J. L. Aguilar V. 2009. Producción de planta del género Pinus en vivero en clima templado frío. Publicación Especial Núm. 28. INIFAP-Centro de Investigación Regional Norte Centro. Durango, Dgo., México. 53 p.

Robles V., F., D. A. Rodríguez-Trejo y A. Villanueva M. 2017. Calidad de planta y supervivencia en reforestación de Pinus montezumae Lamb. Revista Mexicana de Ciencias Forestales 8(42):55-76. Doi: 10.29298/rmcf.v8i42.19.

Rodríguez-Trejo, D. A. 2008. Indicadores de calidad de planta forestal. Mundi-Prensa. Coyoacán, D. F., México. 156 p.

Sáenz R., J. T., H. J. Muñoz F., C. M. Á. Pérez D., A. Rueda S. y J. Hernández R. 2014. Calidad de planta de tres especies de pino en el vivero “Morelia”, estado de Michoacán. Revista Mexicana de Ciencias Forestales 5(26):98-111. Doi: 10.29298/rmcf.v5i26.293.

Secretaría de Comercio y Fomento Industrial. 2016. Norma Mexicana NMX-AA-170-SCFI-2016. Certificación de la operación de viveros forestales. Diario Oficial de la Federación del 7 de diciembre de 2016. Cuauhtémoc, Cd. Mx., México. 190 p.

Sigala R., J. Á., M. A. González T. y J. Á. Prieto R. 2015. Supervivencia en plantaciones de Pinus pseudostrobus Lindl. en función del sistema de producción y preacondicionamiento en vivero. Revista Mexicana de Ciencias Forestales 6(30):20-31. Doi: 10.29298/rmcf.v6i30.205.

Statistical Analysis System (SAS). 2002. Versión 9.4. Cary, NC, United States of America. SAS Institute Inc.

Tsakaldimi, M., P. Ganatsas and D. F. Jacobs. 2013. Prediction of planted seedling survival of five Mediterranean species based on initial seedling morphology. New Forests 44:327-339. Doi: 10.1007/s11056-012-9339-3.

Villegas-Jiménez, D. E., G. Rodríguez-Ortíz, J. L. Chávez-Servia, J. R. Enríquez-Del Valle y J. C. Carrillo-Rodríguez. 2016. Variación del crecimiento en vivero entre procedencias de Pinus pseudostrobus Lindl. Gayana-Botanica 73(1):113-123. Doi: 10.4067/S0717-66432016000100013.

 

        

Todos los textos publicados por la Revista Mexicana de Ciencias Forestales sin excepción– se distribuyen amparados bajo la licencia Creative Commons 4.0 Atribución-No Comercial (CC BY-NC 4.0 Internacional), que permite a terceros utilizar lo publicado siempre que mencionen la autoría del trabajo y a la primera publicación en esta revista.