Revista Mexicana de Ciencias Forestales Vol. 14 (76)

Marzo – Abril (2023)

Logotipo, nombre de la empresa

Descripción generada automáticamente

DOI: https://doi.org/10.29298/rmcf.v14i76.1324

Artículo de investigación

Fertilización, calidad de planta y supervivencia en campo de Pinus spp. en Ixtlán de Juárez, Oaxaca

Fertilization, plant quality and field survival of Pinus spp. in Ixtlán de Juárez, state of Oaxaca

 

Martín Paz Paz1, Dante Arturo Rodríguez Trejo1*, Antonio Villanueva Morales1, Ma. Amparo Máxima Borja De la Rosa1

 

Fecha de recepción/Reception date: 17 noviembre de 2022

Fecha de aceptación/Acceptance date: 20 de febrero de 2023

_______________________________

1División de Ciencias Forestales. Universidad Autónoma Chapingo. México.

 

*Autor para correspondencia; correo-e: dantearturo@yahoo.com

*Corresponding author; e-mail: dantearturo@yahoo.com

 

Resumen

Se evaluó la calidad de planta producida con tres tratamientos de fertilización en Pinus patula y Pinus oaxacana. Las plantas se produjeron durante nueve meses en el vivero forestal de Ixtlán de Juárez, Oaxaca, México. Las variables medidas fueron: diámetro al cuello de la raíz, altura, longitud de raíz principal, peso seco aéreo y de raíz, peso seco total, relación peso seco aéreo/peso seco de raíz, se calcularon el coeficiente de esbeltez, los índices de Lignificación y de Dickson, además del crecimiento potencial de raíz (CPR). Se analizó la supervivencia en campo a 12 meses de haberse plantado en áreas de la misma comunidad. En ambas especies se obtuvo planta con diámetro ≥3.5 mm y alturas de 28 a 42 cm. Los valores medios de las plantas fueron: 3.5 g (peso seco total), 4.4 (relación peso seco aéreo/peso seco de raíz), 8.1 (coeficiente de esbeltez), 29.7 % (Índice de Lignificación), 0.25 (Índice de Dickson). Al aplicar la fertilización alta y la tradicional del vivero en las dos especies, la planta fue de calidad media y alta. A 12 meses de la plantación, la supervivencia promedio fue de 47 %. Se determinaron diferencias significativas para exposición (p=0.0266), esquema de fertilización aplicado (p≤0.0001), pero no entre especies (p=0.7604). Las variables que más se relacionaron con el riesgo de mortalidad en el sitio de plantación fueron: exposición, fertilización, diámetro y CPR.

Palabras clave: Calidad de planta, Pinus patula Schltdl. & Cham., Pinus oaxacana Mirov, producción de planta, reforestación, viveros forestales.

Abstract

The Pinus patula and Pinus oaxacana seedling quality was evaluated under three fertilization treatments. The production cycle spanned along 9 months in the Ixtlán de Juárez forest nursery, state of Oaxaca, Mexico. The assessed variables were: caliper, height, tap root length, shoot, root and total dry weight, shoot/root ratio, slenderness coefficient, lignification index and Dickson index, as well as the root growth potential. Field survival 12 months after planting in localities of the same community was analyzed. The seedlings of both species reached a caliper ≥3.5 mm and heights from 28 to 42 cm. The mean values were: 3.5 g (total dry weight), 4.4 (shoot/root ratio), 8.1 (slenderness coefficient), 29.7 % (lignification index), 0.25 (Dickson index). After the application of fertilization treatments high and the traditional for the forest nursery, in both of the species were obtained mean and high quality seedlings. 12 months after planting, the mean survival was equal to 47 %. There were statistical significant differences for aspect (p=0.0266) and fertilization (p≤0.0001), but not for species (p=0.7604). The variables more closely related to the mortality risk in the plantation site were aspect, fertilization, caliper and root growth potential.

Key words: Plant quality, Pinus patula Schltdl. & Cham., Pinus oaxacana Mirov, seedling production, reforestation, forest nursery. 

 

 

Introducción

 

 

Diversos estudios recientes a escala global concluyen que, en los últimos 50 años, el ser humano ha modificado los ecosistemas del planeta más rápida y extensivamente que en cualquier otro periodo de la historia (Aleixandre-Benavent et al., 2018). La deforestación es un problema para los países en desarrollo, ya que causa pérdida de la biodiversidad y potencializa los efectos del cambio climático (Hein et al., 2018).

México no está exento de esas tendencias (Barrera et al., 2018). En el país, los programas de reforestación son una estrategia permanente para recuperar, mantener y aumentar las áreas forestales, además de reducir la degradación de las tierras forestales (Flores et al., 2021).

El éxito o fracaso de estos programas de reforestación está ligado al clima (Barrera et al., 2018); aunque el rendimiento de las plantas en el campo es afectado por su calidad y por las condiciones del sitio de reforestación (Grossnickle y MacDonald, 2018).

Para abastecer de planta a dichos programas de reforestación existen cientos de viveros forestales en el país, pero solo algunos operan con tecnología avanzada (Robles et al., 2017); en los cuales se busca generar planta de calidad, por lo que basan su producción en contenedores con una correcta densidad de planta, sustrato apropiado, esquemas de riego y fertilización adecuados, entre otras acciones que son los componentes y operaciones que más inciden en la calidad de planta (Rodríguez-Trejo, 2008).

El género Pinus es el más usado para la reforestación en México, por su importancia ecológica, económica y social (Flores et al., 2021). Sus especies son fuente de madera, leña, pulpa, resinas y otros productos (Farjon y Filer, 2013). También es de interés en los viveros proporcionar fertilización óptima, pues los excesos, aunque no alcancen niveles tóxicos, aumentan los costos de producción.

En Ixtlán de Juárez, Oaxaca Pinus patula Schltdl. & Cham. y Pinus oaxacana Mirov son dominantes en los bosques que se manejan para su aprovechamiento. En este contexto, los objetivos del presente estudio fueron: evaluar la calidad de planta en vivero producida con tres esquemas de fertilización para ambas especies y su supervivencia en campo después de 12 meses de plantadas en las zonas de reforestación de la misma comunidad, así como calcular el riesgo de mortalidad de las plantas en función de sus variables morfológicas y las condiciones del sitio.

 

 

Materiales y Métodos

 

 

Área de estudio y producción de planta

 

 

El estudio se llevó acabo en el vivero forestal tecnificado de la comunidad Ixtlán de Juárez en la Sierra Norte de Oaxaca (17°20’ N y 96°29’ O, a 2 030 msnm). La temperatura media anual es de 18.3 °C y la precipitación media anual de 759.3 mm (Villegas-Jiménez et al., 2016). Se usaron especies programadas para la reforestación de agosto-septiembre de 2021: Pinus patula y P. oaxacana. Las semillas se recolectaron de “árboles superiores” para producción de madera en los bosques comunales de Ixtlán de Juárez.

La siembra se hizo en contenedores de polietileno (24 cavidades, 143 mL cada una). Como sustrato, se elaboró una mezcla de turba de musgo, agrolita y vermiculita (40:20:40). Se aplicó fertilizante granular de liberación lenta Multicote Agri® (Haifa) formulación 18-6-12 de N-P-K (2.5 kg m-3 de sustrato).

La nutrición se basó en la aplicación de fertilizante soluble Foresta® (Foresta) con formulaciones de acuerdo a la etapa de cultivo: establecimiento (formulación 9-45-15, N-P-K), crecimiento (20-10-20) y endurecimiento (4-25-35); se aplicó en dos dosis: baja (100 ppm P, 64.2 ppm K y 46.4 ppm N [establecimiento], 100 ppm N, 83 ppm K y 21.5 ppm P [crecimiento], y 125 ppm K, 46.2 ppm P y 17.2 ppm N [endurecimiento]); y dosis alta (120 ppm P, 77 ppm K y 56 ppm N [establecimiento], 120 ppm N, 99.6 ppm K y 25.8 ppm P [crecimiento], y 150 ppm K, 55.9 ppm P y 20.8 ppm N [endurecimiento]). Además, se agregó un tercer tratamiento (denominado “dosis tradicional del vivero”) que consistió solo en la adición de fertilizante soluble mineral sólido inorgánico ELIXIR SUPREME® (12-11-18), con aplicación de 0.6 g L-1 cada cuatro semanas en la base del tallo de la planta, a partir de la 5ª semana.

 

 

Análisis de calidad de planta

 

 

Después de nueve meses de crecimiento, se eligieron al azar siete brinzales de cada uno de los seis tratamientos (3 dosis × 2 especies) para medir: diámetro del cuello del tallo (Dc, mm) con vernier digital Truper®; altura (A, cm) y longitud de raíz principal (LR, cm) con regla Pilot®; y pesos secos aéreo (PSA, g), de raíz (PSR, g) y total (PST, g) con una balanza modelo Scout marca Ohaus®. Los índices morfológicos evaluados fueron: relación entre peso seco aéreo y peso seco de raíz (PSA/PSR),

Coeficiente de Esbeltez (CE), Índice de Dickson (ICD) y el Índice de Lignificación (Prieto et al., 2009). Como referencia para valores de indicadores de calidad en coníferas nacionales, se utilizaron los del Cuadro 1.

 

Cuadro 1. Valores para calificar la calidad de planta con crecimiento normal en especies forestales.

Variable

Calidad

Baja

Media

Alta

Dc (mm)

<2.5*

2.5-3.9

≥4.0

A (cm)

<10.0

10.0-14.9

15.0-25.0

CE

>8.0

8.0-6.0

<6.0

RA/LR

>2.5

2.1-2.5

≤2

PSA/PSR

>2.5

2.1-2.5

1.5-2.0

ICD

<0.2

0.2-0.4

≥0.5

Fuentes: Conafor (2009), Prieto et al. (2009) y Sáenz et al. (2014).

Dc = Diámetro del cuello de la raíz; A = Altura; CE = Coeficiente de Esbeltez; RA/RL = Relación altura/longitud de raíz; PSA/PSR = Relación peso seco aéreo/peso seco de raíz; ICD = Índice de Dickson.

 

 

Crecimiento potencial de raíz

 

 

Para la prueba de crecimiento potencial de raíz, cuando las plantas alcanzaron nueve meses en vivero, se seleccionaron al azar nueve de cada uno de los seis tratamientos, y se trasplantaron a macetas (5 L) con una mezcla a partes iguales de agrolita, vermiculita y turba de musgo. Las macetas se pusieron en invernadero, conforme a un diseño en bloques completos al azar. Se les regó para mantener el sustrato a capacidad de campo. Después de cuatro semanas se extrajeron los cepellones y se realizó el conteo de las raíces nuevas (blancas, turgentes, ≥1 cm de longitud).

 

 

Prueba de supervivencia en campo

 

 

En septiembre, pasados nueve meses en vivero, los árboles fueron plantados en las áreas de reforestación referidas; en el Cuadro 2 se indican las características de los dos sitios elegidos. En cada uno, se establecieron 40 plantas por combinación de especie-tratamiento, con cuatro repeticiones (10 plantas) y plantadas en marco real a 1.5 m de distancia; en total se plantaron 480 plantas. La supervivencia se evaluó a 3, 6, 9 y 12 meses.

 

Cuadro 2. Características de los sitios donde se estableció la plantación Pinus patula Schltdl. & Cham. y P. oaxacana Mirov en la comunidad Ixtlán de Juárez, Oaxaca, México.

Características

Sitio 1

Sitio 2

Exposición

Sur

Norte

Pendiente (%)

45

32

Altitud (m)

2 165

2 562

Coordenadas (grados)

17.362448°

-96.493407°

17.353672°

-96.475008°

 

 

Análisis estadístico

 

 

Para la evaluación de la calidad de planta en vivero, se trabajó con un diseño experimental completamente al azar, con arreglo factorial 2×3, dos niveles de especie y tres niveles de fertilización. El modelo estadístico fue:

 

 

El efecto de los factores y sus interacciones sobre las variables morfológicas evaluadas se probaron mediante un análisis de varianza (ANOVA) con el procedimiento GLM del paquete de análisis estadístico SAS (2002). Los efectos se consideraron significativos cuando p<0.05. Se utilizó la prueba post-hoc de Tukey (α=0.05) para probar las diferencias entre las medias de tratamiento de los factores que resultaron significativos.

Las diferencias de supervivencia en campo entre los tratamientos y especies se examinaron con la prueba Log-Rank, por el método Kaplan-Meier (Kaplan y Meier, 1958). Para ello, se determinó el estatus de cada planta (viva o muerta) al final del periodo de evaluación (12 meses), así como su tiempo de vida (meses). El análisis se hizo con el procedimiento LIFETEST de SAS (2002). La función de supervivencia se define como: 

 

     

 

 

Para estimar el efecto de los factores estudiados en función de las variables morfológicas como covariables, se aplicó una regresión de riesgos proporcionales de Cox. El modelo de riesgos proporcionales utilizado fue (Cox, 1972):

 

      

 

Este modelo estima un coeficiente b para cada factor o covariable y prueba la hipótesis nula que b=0 con el estadístico χ2. Dicho coeficiente explica el efecto de un factor o una covariable en la función de riesgo. El análisis se efectuó mediante el procedimiento PHREG de SAS (2002).

 

 

Resultados y Discusión

 

 

Evaluación de calidad de planta

 

 

De acuerdo con los intervalos óptimos para calificar la calidad de planta, las variables e índices que están en el intervalo de calidad media y alta son: Dc, A e ICD, en ambas especies. Las variables CE y PSA/PSR, resultaron de calidad baja (Cuadro 3).

 

Cuadro 3. Comparación de medias de indicadores de calidad entre especies y tratamientos.

Especie

Pinus patula Schltdl. & Cham.

Pinus oaxacana Mirov

 

Nivel de fertilización

Nivel de fertilización

Variable

Baja

Alta

Trad.

Baja

Alta

Trad.

Dc (mm)

3.50 b

4.20 a

4.55 a

3.52 b

3.90 ab

4.24 a

A (cm)

29.0 c

33.2 b

41.9 a

28.2 c

30.3 c

30.1 c

LR (cm)

9.64 c

9.87 ab

9.98 a

9.65 c

9.72 bc

9.87 ab

PSA (g)

2.266 c

3.407 ab

3.782 a

1.851 c

2.629 bc

3.415 ab

PSR (g)

0.511 c

0.737 ab

0.837 a

0.403 c

0.563 bc

0.689 ab

PST (g)

2.778 bc

4.105 a

4.620 a

2.255 c

3.193 b

4.144 a

PSA/PSR

4.4 a

4.1 a

5.4 a

4.1 a

4.4 a

4.1 a

CE

8.3 ab

8.0 ab

9.2 a

7.8 ab

7.8 ab

7.3 b

ICD

0.22 bc

0.30 a

0.27 abc

0.21 c

0.23 abc

0.30 ab

IL (%)

20.8 c

33.1 a

34.4 a

27.6 b

30.4 ab

31.9 ab

Trad. = Tradicional; Dc = Diámetro; A = Altura; LR = Longitud de raíz; PSA = Peso seco aéreo; PSR = Peso seco de raíz; PST = Peso seco total; PSA/PSR = Relación peso seco aéreo entre peso seco de raíz; CE = Coeficiente de Esbeltez; ICD = Índice de Dickson; IL = Índice de Lignificación. Valores con letras diferentes en la misma fila representan diferencias significativas entre sí (p<0.05) con la prueba Tukey.

 

El Dc tuvo los mejores valores en ambas especies cuando se aplicaron las fertilizaciones en dosis alta y tradicional del vivero (Cuadro 3). Se produjo planta con Dc≥3.5 mm y A>28 cm, valores dentro del intervalo de la Norma Mexicana para la Certificación de la Operación de Viveros Forestales (Secretaría de Comercio y Fomento Industrial, 2016). Levy y McKay (2003) consideran el Dc como el indicador más confiable de desempeño en campo. El Dc influye en la robustez, que se asocia con vigor y supervivencia (Tsakaldimi et al., 2013). Una planta con mayor Dc está mejor lignificada, tiene reservas de carbohidratos, más yemas para la rebrotación y raíz más desarrollada (Rodríguez-Trejo, 2008).

Para la A, en las dos especies y tratamientos de fertilización, la calidad fue alta (Cuadro 3). P. patula producido con las fertilizaciones alta y tradicional tuvo las mayores A. La planta con el valor de A más alto (15.0-25.0 cm) es una mejor competidora en sitios con sotobosque, pero está expuesta a mayor estrés hídrico y menor supervivencia que la planta más pequeña en condiciones adversas (Grossnickle y MacDonald, 2018).

En P. pseudostrobus Lindl. se han registrado Dc de 5 mm y A de 22 a 25.5 cm (Aguilera-Rodríguez et al., 2016) y Dc de 3.8 mm y A de 27.9 cm (Sáenz et al., 2014). A su vez, Aguilera-Rodríguez et al. (2021) y González et al. (2017) señalaron para P. patula A de 22 a 30 cm, 26.8 cm y 20 a 30 cm, y Dc≥4 mm, 4.12 mm y 3.19 mm, respectivamente; cifras similares a las del presente estudio.

La LR tuvo valores de 9.6 a 10 cm, los mayores se registron en P. patula con las fertilizaciones tradicional y alta, y en P. oaxacana con la tradicional, significativamente diferentes de las otras combinaciones de tratamientos (Cuadro 3). Esta variable está restringida por el tipo y tamaño de contenedor (González et al., 2017). Los PSA y PSR obtenidos para P. patula con fertilizaciones alta y tradicional y en P. oaxacana con fertilización alta, fueron los mayores (>3.40 g y >0.68 g), e indicaron que las plantas produjeron mayor biomasa área y poca biomasa subterránea, lo que se relaciona en gran medida al tamaño del contenedor (González et al., 2017).

En P. oaxacana, los valores de CE en los tres esquemas de fertilización estuvieron entre 7.3 a 7.9, por lo que la planta fue de calidad media; para esta especie, Ávila-Angulo et al. (2017) citaron CE de 4.5 a 4.7, valores bajos que se atribuyen a los Dc dos veces superiores a los del presente trabajo. En P. patula, los CE en los tres esquemas de fertilización fueron entre 8.0 y 9.2, por lo que las plantas fueron de calidad baja. Aguilera-Rodríguez et al. (2021) consignaron en esa especie un CE<6, calidad alta, pero en este estudio resultó de calidad baja; lo que se aduce a las grandes A registradas en la especie, ya que a mayor A el CE disminuye.

La relación PSA/PSR para P. oaxacana y P. patula fue de 4.1 a 5.4, sin diferencias significativas entre especies ni tratamientos. Para ambas y los esquemas de fertilización utilizados, la planta fue de calidad baja (PSA/PSR>2.5, Cuadro 3). Con PSA/PSR bajos, la planta tiene mayor posibilidad de sobrevivir, pues mejora su absorción de agua y nutrientes, pero transpira menos (Escobar-Alonso y Rodríguez-Trejo, 2019).

La especie, fertilización y su interacción, tuvieron efectos significativos (p<0.05) en A, CE e índice de lignificación. La combinación de factores de P. patula y esquema de fertilización tradicional del vivero, mostraron los mejores valores en la mayoría de las variables morfológicas evaluadas.

En P. oaxacana, el mejor ICD (0.30) se obtuvo con la fertilización tradicional; en P. patula sucedió con la fertilización alta (0.30). Las dos especies y todos los esquemas de fertilización produjeron planta de calidad media (Cuadro 1). En P. oaxacana, Ávila-Angulo et al. (2017) refieren ICD de 1.1 a 1.3, pero en P. patula se han obtenido ICD de 0.47-0.55, 0.26-0.58 y 0.23-0.25 (González et al., 2017; Aguilera-Rodríguez et al., 2021). Valores cercanos a 1 indican balance y equilibrio entre brote y raíz (Ávila-Angulo et al., 2017).

En las dos especies, la aplicación de fertilizaciones alta y tradicional produjo IL>30 %. Buendía et al. (2016) evaluaron P. leiophylla Schiede ex Schltdl. & Cham. y obtuvieron un IL de 30.9 %. Este valor es similar a los del presente estudio. Dicho índice estima el grado de robustez que se necesita para que la planta soporte el estrés hídrico en el sitio de plantación (Prieto et al., 2009).

 

 

Crecimiento potencial de raíz

 

 

Ambas especies registraron diferencias significativas (p≤0.05) en el número de raíces nuevas entre tratamientos de fertilización. En P. oaxacana se contaron 32, 51 y 74 raíces nuevas en las fertilizaciones baja, alta y la tradicional, respectivamente; mientras que en P. patula hubo 27, 54 y 75. Los tratamientos de mayor fertilización tienen más micronutrimentos como el Zn que contribuye a la síntesis del ácido indolacético, el cual promueve el enrraizamiento (Alcántar et al., 2016). Un mayor número de raíces en esta prueba denota más vigor en el árbol para aclimatarse al sitio de plantación, en especial si es limitativo en humedad (Landis et al., 2010), como la exposición sur con respecto a la norte.

 

 

Evaluación de supervivencia en campo

 

 

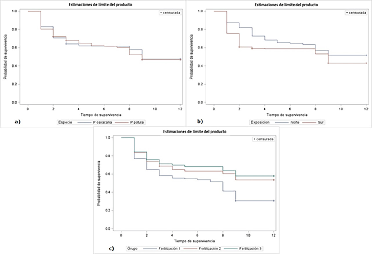
La prueba de Long-Rank aplicada para evaluar la supervivencia por especie (Figura 1a) no mostró diferencias significativas (p=0.7604), pues P. oaxacana evidenció una supervivencia media de 47.9 % y P. patula del 47.0 %. La ausencia de diferencias se atribuye a que ambas especies son nativas y se desarrollan en los bosques de la comunidad de manera natural, y a que fueron producidas de forma similar en vivero.

 

Figura 1. Función de supervivencia estimada [S(t)] para: a) las dos especies evaluadas en la reforestación en ambos sitios de plantación, b) las dos especies, evaluado por exposición en la que se plantó, y c) los tres esquemas de fertilización en vivero.

 

Para la variable exposición, con la misma prueba estadística, se tuvieron diferencias significativas (p=0.0266); la exposición sur (sitio 1) registró menor supervivencia (43.3 %) (Figura 1b). Por el contrario, la exposición norte (sitio 2) reveló mayor supervivencia (51.6 %). Robles et al. (2017) refirieron el efecto de la exposición (p=0.0222) en la supervivencia de P. montezumae Lamb. con valores superiores en exposición norte (88.7 %), en comparación con la sur (83.3 %). En el hemisferio norte, la exposición sur recibe mayor radiación solar durante el año, por lo cual prevalece una temperatura más alta y menor humedad disponible en el suelo. En contraste, la exposición norte es más húmeda, con menores temperaturas y mayor biomasa (Griffiths et al., 2009).

La prueba de Long-Rank para evaluar la supervivencia por esquema de fertilización (Figura 1c) mostró diferencias significativas (p<0.0001). Los contrastes entre los esquemas de fertilización baja vs. alta y baja vs. tradicional, también las tuvieron (p<0.0001 y p<0.0001) (Figura 1c). En el correspondiente a la fertilización alta vs. tradicional, no se verificaron (p=0.4398). La fertilización alta presentó una supervivencia de 53.75 %, y la tradicional, 58.13 %. La fertilización baja tuvo la supervivencia más baja (30.63 %).

La respuesta favorable de supervivencia para los esquemas de fertilización alta y tradicional puede explicarse por las características morfofisiológicas que desarrollaron las plantas en el vivero como resultado de tales fertilizaciones. Las mayores dosis de N en dichos tratamientos —elemento que conforma proteínas e influye particularmente en el crecimiento para alcanzar dimensiones, como el Dc, relacionadas con la calidad—; así como la de K que participa en la regulación osmótica y en la apertura y cierre estomatal, por lo que contribuye a resistir mejor bajas temperaturas y limitaciones de humedad (Rodríguez-Trejo, 2008; Alcántar et al., 2016), aportaron a los valores de mayor supervivencia.

 

 

Análisis de riesgo

 

 

El modelo de riesgos proporcionales de Cox fue significativo para el conjunto de datos analizados y variables estudiadas (p‹0.0001). Exposición, fertilización, Dc y A tuvieron efecto significativo en la función de riesgo (p≤0.05); mientras que, las variables PST e ICD no mostraron tener un efecto significativo (p>0.05) (Cuadro 4).

 

Cuadro 4. Resultados de la regresión de riesgos proporcionales.

Análisis del estimador de máxima verosimilitud

Parámetro/Variable

GL

Estimador

Error estándar

χ2

Pr>χ2

Razón de riesgo

Especie

Pinus patula Schltdl. & Cham.

1

0.07828

0.25206

0.0965

0.7561

1.081

Exposición

Sur

1

0.52910

0.12655

4.3697

0.0366

1.697

Esquema de fertilización

F 1

1

0.52071

0.15025

12.0102

0.0005

1.683

F 2

1

0.19306

0.15025

1.6510

0.1988

1.213

Diámetro al cuello de la raíz (Dc)

1

-1.02674

0.29555

12.0686

0.0005

0.358

Altura (A)

1

0.0362

0.02604

1.9332

0.041

1.037

Peso seco total (PST)

1

0.11432

0.30894

0.1369

0.7113

1.121

Índice de Dickson (ICD)

1

-0.59728

2.86908

0.0433

0.8351

0.55

 

Las plantas con la fertilización baja mostraron un estimador positivo y una razón de riesgo de 1.683, lo que indica que llevar a campo una planta con tal esquema incrementa el riesgo de muerte en 68.3 % durante los primeros meses posteriores a la plantación, con respecto a la dosis alta y a la fertilización tradicional. Fertilizar la planta en vivero favorece su condición morfofisiológica, lo cual contribuye a mejorar su calidad; es decir, su supervivencia y crecimiento inicial (Alcántar et al., 2016).

El análisis de riesgos de Cox evidenció que el Dc tuvo un efecto significativo sobre la función riesgo, con un estimador b negativo y una razón de riesgo de 0.358. Esto significa que el aumento de 1 mm en el Dc de las plantas reduce el riesgo de muerte hasta 64.1 %, [100(1-e-1.02674)], siempre que las otras variables se mantengan constantes. De acuerdo con Levy y McKay (2003), las plantas con Dc mayores sobreviven y crecen mejor que las de Dc más pequeño. El Dc de P. pseudostrobus se relaciona con su supervivencia en campo; el aumento de 1 mm en Dc reduce el riesgo de muerte hasta 66.8 % (Sigala et al., 2015), valor similar al del presente estudio. Autores como Tsakaldimi et al. (2013) concluyeron que para especies de Pinus, el Dc influye en la supervivencia durante los primeros meses del establecimiento. Similar tendencia se ha advertido en P. cooperi C. E. Blanco y P. engelmannii Carrière en Durango, para la A (Prieto et al., 2018).

 

 

Conclusiones

 

 

Los resultados para los indicadores morfológicos de calidad, como A y Dc validan la fertilización tradicional del vivero para ambas especies. También se sugiere que la fertilización alta es igualmente recomendable para P. patula. En el presente trabajo se remarca el canon clásico de la importancia de producir planta robusta, con buen Dc.

La supervivencia en campo a los 12 meses fue aceptable, mayor a 50 % para ambas especies, debido al efecto de las fertilizaciones alta y tradicional. No obstante, la primera puede ser más económica. Los estándares de calidad deben establecerse por especie, procedencia y sitio de plantación, pues ante diferentes condiciones ambientales, como las dadas por diferente exposición, la planta con los mismos atributos de calidad tendrá supervivencias distintas. 

 

Agradecimientos

 

Los autores agradecen al Conacyt, al Programa de Maestría en Ciencias Forestales de la UACH y a la comunidad Ixtlán de Juárez por los apoyos brindados.

 

Conflicto de intereses

 

Los autores declaran no tener conflicto de intereses.

 

Contribución por autor

 

Martin Paz Paz: concepción e instalación de experimentos, cultivo de la planta, aplicación de tratamientos, realización de mediciones, análisis estadísticos y escritura del manuscrito; Dante Arturo Rodríguez Trejo: diseño, supervisión en: instalación del experimento, cultivo de la planta, aplicación de tratamientos y revisión del manuscrito; Antonio Villanueva Morales: supervisión del diseño experimental, seguimiento general, análisis estadístico y revisión del manuscrito; Ma. Amparo Máxima Borja de la Rosa: seguimiento general y revisión del manuscrito.

 

 

Referencias

Aguilera-Rodríguez, M., A. Aldrete, L. I. Trejo-Téllez y V. M. Ordaz-Chaparro. 2021. Sustratos con aserrín de coníferas y latifoliadas para producir planta de Pinus patula Schiede ex Schltdl. et Cham. Agrociencia 55(8):719-732. Doi: 10.47163/agrociencia.v55i8.2664.

Aguilera-Rodríguez, M., A. Aldrete, T. Martínez-Trinidad y V. M. Ordáz-Chaparro. 2016. Producción de Pinus montezumae Lamb. con diferentes sustratos y fertilizantes de liberación controlada. Agrociencia 50(1):107-118. https://agrociencia-colpos.org/index.php/agrociencia/article/view/2370/2046. (18 de octubre de 2022).

Alcántar G., G., L. I. Trejo T., L. Fernández P. y M. de las N. Rodríguez M. 2016. Elementos esenciales. In: Alcántar G., G., L. I. Trejo-Téllez y F. C. Gómez M. (Coords.). Nutrición de cultivos. Colegio de Posgraduados y Mundi-Prensa. Texcoco, Edo. Méx., México. pp. 23-52.

Aleixandre-Benavent, R., J. L. Aleixandre-Tudó, L. Castelló-Cogollos and J. L. Aleixandre. 2018. Trends in global research in deforestation. A bibliometric analysis. Land Use Policy 72:293-302. Doi: 10.1016/j.landusepol.2017.12.060.

Ávila-Angulo, M. L., A. Aldrete, J. J. Vargas-Hernández, A. Gómez-Guerrero, V. A. González-Hernández and A. Velázquez-Martínez. 2017. Hardening of Pinus oaxacana Mirov seedlings under irrigation management in nursery. Revista Chapingo, Serie Ciencias Forestales y del Ambiente 23(2):221-229. Doi: 10.5154/r.rchscfa.2016.05.029.

Barrera R., R., R. López A. y H. J. Muñoz F. 2018. Supervivencia y crecimiento de Pinus pseudostrobus Lindl., y Pinus montezumae Lamb. en diferentes fechas de plantación. Revista Mexicana de Ciencias Forestales 9(50):323–341. Doi: 10.29298/rmcf.v9i50.245.

Buendía V., M. V., M. Á. López L., V. M. Cetina A. and L. Diakite. 2016. Substrates and nutrient addition rates affect morphology and physiology of Pinus leiophylla seedlings in the nursery stage. iForest Biogeosciencies and Forestry 10(1):115-120. Doi: 10.3832/ifor1982-009.

Comisión Nacional Forestal (Conafor). 2009. Criterios técnicos para la producción de especies forestales de ciclo corto (rápido crecimiento), con fines de restauración. Conafor. Zapopan, Jal., México. 9 p.

Cox, D. R. 1972. Regression models and life-tables. Journal of the Royal Statistical Society: Series B (Methodological) 34(2):187-220. Doi: 10.1111/j.2517-6161.1972.tb00899.x.

Escobar-Alonso, S. y D. A. Rodríguez-Trej. 2019. Estado del arte en la investigación sobre calidad de planta del género Pinus en México. Revista Mexicana de Ciencias Forestales 10(55):4-38. Doi: 10.29298/rmcf.v10i55.558.

Farjon, A. and D. Filer. 2013. An atlas of the world’s conifers: An analysis of their distribution, biogeography, diversity and conservation Status. Brill. Boston, MA, United States of America. 512 p.

Flores, A., M. E. Romero-Sánchez, R. Pérez-Miranda, T. Pineda-Ojeda y F. Moreno-Sánchez. 2021. Potencial de restauración de bosques de coníferas en zonas de movimiento de germoplasma en México. Revista Mexicana de Ciencias Forestales 12(63):4-27. Doi: 10.29298/rmcf.v12i63.813.

González Á., J., A. Peralta C., A. Hernández L., R. González Á., M. G. Salgado M. y S. Hernández L. 2017. Efecto del tamaño de envase y familia en el crecimiento y calidad de brinzales de Pinus patula schlechtendal & chamisso var. patula en vivero. Agrofaz 17(1):89–100. https://dialnet.unirioja.es/servlet/articulo?codigo=6505180. (18 de octubre de 2022).

Griffiths, R. P., M. D. Madritch and A. K. Swanson. 2009. The effects of topography on forest soil characteristics in the Oregon Cascade Mountains (USA): Implications for the effects of climate change on soil properties. Forest Ecology and Management 257(1):1-7. Doi: 10.1016/j.foreco.2008.08.010.

Grossnickle, S. C. and J. E. MacDonald. 2018. Why seedlings grow: influence of plant attributes. New Forests 49(1):1-34. Doi: 10.1007/s11056-017-9606-4.

Hein, J., A. Guarin, E. Frommé and P. Pauw. 2018. Deforestation and the Paris climate agreement: An assessment of REDD+ in the national climate action plans. Forest Policy and Economics 90:7-11. Doi: 10.1016/j.forpol.2018.01.005.

Kaplan, E. L. and P. Meier. 1958. Nonparametric estimation from incomplete observations. Journal of the American Statistical Association 53(282):457-481. Doi: 10.1007/978-1-4612-4380-9_25.

Landis, T. D., R. K. Dumroese and D. L. Haase. 2010. Seedling processing, storage, and outplanting. The Container Tree Nursery Manual, Vol. 7. Agriculture Handbook 674. U. S. Department of Agriculture, Forest Service. Washington, D. C., United States of America. 200 p.

Levy, P. E. and H. M. McKay. 2003. Assessing tree seedling vitality tests using sensitivity analysis of a process-based growth model. Forest Ecology and Management 183(1-3):77–93. Doi: 10.1016/S0378-1127(03)00095-1.

Prieto R., J. Á., A. Duarte S., J. R. Goche T., M. M. González O. y M. Á. Pulgarín G. 2018. Supervivencia y crecimiento de dos especies forestales, con base en la morfología inicial al plantarse. Revista Mexicana de Ciencias Forestales 9(47):151-168. Doi: 10.29298/rmcf.v9i47.182.

Prieto R., J. Á., J. L. García R., J. M. Mejía B., S. Huchín A. y J. L. Aguilar V. 2009. Producción de planta del género Pinus en vivero en clima templado frío. Publicación Especial Núm. 28. INIFAP-Centro de Investigación Regional Norte Centro. Durango, Dgo., México. 53 p.

Robles V., F., D. A. Rodríguez-Trejo y A. Villanueva M. 2017. Calidad de planta y supervivencia en reforestación de Pinus montezumae Lamb. Revista Mexicana de Ciencias Forestales 8(42):55-76. Doi: 10.29298/rmcf.v8i42.19.

Rodríguez-Trejo, D. A. 2008. Indicadores de calidad de planta forestal. Mundi-Prensa. Coyoacán, D. F., México. 156 p.

Sáenz R., J. T., H. J. Muñoz F., C. M. Á. Pérez D., A. Rueda S. y J. Hernández R. 2014. Calidad de planta de tres especies de pino en el vivero “Morelia”, estado de Michoacán. Revista Mexicana de Ciencias Forestales 5(26):98-111. Doi: 10.29298/rmcf.v5i26.293.

Secretaría de Comercio y Fomento Industrial. 2016. Norma Mexicana NMX-AA-170-SCFI-2016. Certificación de la operación de viveros forestales. Diario Oficial de la Federación del 7 de diciembre de 2016. Cuauhtémoc, Cd. Mx., México. 190 p.

Sigala R., J. Á., M. A. González T. y J. Á. Prieto R. 2015. Supervivencia en plantaciones de Pinus pseudostrobus Lindl. en función del sistema de producción y preacondicionamiento en vivero. Revista Mexicana de Ciencias Forestales 6(30):20-31. Doi: 10.29298/rmcf.v6i30.205.

Statistical Analysis System (SAS). 2002. Versión 9.4. Cary, NC, United States of America. SAS Institute Inc.

Tsakaldimi, M., P. Ganatsas and D. F. Jacobs. 2013. Prediction of planted seedling survival of five Mediterranean species based on initial seedling morphology. New Forests 44:327-339. Doi: 10.1007/s11056-012-9339-3.

Villegas-Jiménez, D. E., G. Rodríguez-Ortíz, J. L. Chávez-Servia, J. R. Enríquez-Del Valle y J. C. Carrillo-Rodríguez. 2016. Variación del crecimiento en vivero entre procedencias de Pinus pseudostrobus Lindl. Gayana-Botanica 73(1):113-123. Doi: 10.4067/S0717-66432016000100013.

 

 

        

Todos los textos publicados por la Revista Mexicana de Ciencias Forestales sin excepción– se distribuyen amparados bajo la licencia Creative Commons 4.0 Atribución-No Comercial (CC BY-NC 4.0 Internacional), que permite a terceros utilizar lo publicado siempre que mencionen la autoría del trabajo y a la primera publicación en esta revista.