Revista Mexicana de Ciencias Forestales Vol. 14 (75)
Enero – Febrero (2022)
DOI: https://doi.org/10.29298/rmcf.v14i75.1289 Artículo Científico Estimación del rendimiento de biomasa y fibra de Agave lechuguilla Torr. en el norte de Zacatecas Biomass and fiber estimation of Agave lechuguilla Torr. at north of Zacatecas State
Héctor Darío González López1, Dino Ulises González Uribe1*
|
Fecha de recepción/Reception date: 5 de julio de 2022
Fecha de aceptación/Acceptance date: 31 de octubre de 2022
_______________________________
1Universidad Autónoma Agraria Antonio Narro. México
*Autor para correspondencia; correo-e: digon_mx@yahoo.com
*Corresponding author; e-mail: digon_mx@yahoo.com
Resumen
Se generaron tablas de rendimiento de biomasa y fibra del cogollo de Agave lechuguilla en el norte de Zacatecas, México. Se evaluaron modelos de regresión para estimar el peso verde (pv, g) y peso seco de fibra (ps, g) por planta, respectivamente. Se utilizó el método de muestreo de cuadrantes centrados en un punto para obtener información en 74 sitios ubicados al azar. En cada planta se midió el diámetro menor (dme, cm), el diámetro aéreo mayor (dma, cm), la altura del cogollo (h, cm), pv (g) y ps (g). Se recolectaron 296 cogollos, se tallaron manualmente para obtener la fibra y se secaron al sol por 3–5 horas. El pv promedio fue de 287.2 g cogollo-1, el de ps de 19.1 g cogollo-1 y la densidad promedio de 2 149 plantas ha-1. La correlación mostró alta significancia estadística (P<0.01) para pv con dma (R=0.968) y ps con h (R=0.945). Se seleccionó el modelo pv=21.920(1.054)h para estimar la tabla de rendimiento de biomasa verde por presentar mejores estadísticos de ajuste (R2aj=0.960, RCME=0.095, CV=1.688 %, Cp=2.002, │PRESS│=0.012 y PRESS=0.0001). Para el peso seco de fibra se seleccionó el modelo ps=0.0003(h)2.812 (R2aj=0.921, RCME=0.164, CV=5.708 %, Cp=2.004, │PRESS│=0.123 y PRESS=0.015). Los criterios estadísticos utilizados dieron certidumbre en la selección de los modelos para generar tablas de rendimiento de biomasa y fibra en el área de estudio.
Palabras clave: Agave lechuguilla Torr., densidad de plantas, ixtle, lechuguilla, modelo alométrico, tabla de rendimiento de biomasa y fibra.
Abstract
Biomass and fiber yield tables were generated obtained from the bud of Agave lechuguilla at northern Zacatecas, Mexico. Regression models were evaluated to estimate green weight (pv, g) and dry weight of fiber (ps, g) by plant, respectively. The method of quadrants centered on a point was used as sampling to obtain information at 74 sites randomly located. In each plant it was measured, the smallest diameter (smd, cm), the largest aerial diameter (lad, cm), bud height (h, cm), pv (g) and ps (g). 296 buds were collected and they were manually carved to obtain the fiber, which was sun-dried in for 3-5 h. The average pv was 287.2 g bud-1, ps 19.1 g bud-1, average density was 2 149 plants ha-1. The correlation showed high statistical significance (P<0.01) for pv with lad (R=0.968) and ps with h (R2=0.945). The model pv=21.920(1.054)hwas selected to estimate the green biomass performance table for presenting better adjustment statistics (R2aj=0.960, RCME=0.095, CV=1.688 %, Cp=2.002, │PRESS│=0.012 and PRESS=0.0001). For the fiber dry weight the selected model was ps=0.0003(h)2.812 (R2aj=0.921, RCME=0.164, CV=5.708 %, Cp=2.004, │PRESS│=0.123 y PRESS=0.015). The statistical criteria used gave certainty in the selection of models to generate biomass and fiber yield tables in the study area.
Keywords: Agave lechuguilla Torr., plant density, ixtle, lechuguilla, allometric model, biomass and fiber yield table.
Introducción
Una actividad económica que realizan los habitantes de zonas áridas y semiáridas de México es el aprovechamiento de los recursos naturales, los cuales proporcionan materia prima, bienes y servicios adicionales que lo satisfacen (Martínez, 2013). A los productos no leñosos se les conoce como recursos forestales no maderables, que serían, por ejemplo, líquenes, musgos, hongos, resinas, gomas, semillas, fibras, ceras, rizomas, hojas, pencas, tallos, inclusive también los suelos de muchos terrenos silvestres, y su cosecha representa 32 % de la producción del país (Chandrasekharan et al., 1996; Martínez, 2013). De las 2 200 especies no maderables, 450 son consideradas como útiles, 100 de ellas se comercializan bajo control oficial y 25 son de uso comercial, doméstico y regional, sin embargo, las condiciones cambiantes de mercado influyen en su demanda (Chandrasekharan et al., 1996; Tapia-Tapia y Reyes-Chilpa, 2008; Semarnat, 2018).
Un ejemplo de relevancia son las especies del género Agave, que proporcionan beneficios socioeconómicos y agroecológicos a los pobladores del medio rural y al medio ambiente donde se desarrolla; específicamente, Agave lechuguilla Torr. es una planta de la cual al aprovecharla, se obtiene un cono apretado formado por las hojas jóvenes cubiertas por las más viejas localizado al centro de la planta, comúnmente conocidas como cogollo (Figura 1), ahí se concentran altos contenidos de fibra obtenidos por el corte y tallado o despulpado manual-mecánico en donde se extrae el parénquima de las hojas (Martínez, 2013). Esta actividad representa una fuente de ingresos importantes, y en muchos de los casos, la única (Mayorga-Hernández et al., 2004). La carencia de planes de manejo ha ocasionado que las poblaciones naturales de A. lechuguilla declinen, principalmente, por el tipo de cosecha que se practica, la cual no incluye el reemplazo de individuos y a que, por lo general, se cosechan plantas de todos tamaños, lo que conduce al aprovechamiento de este recurso natural de modo erróneo (Semarnat, 1996; Mayorga-Hernández et al., 2004).
Figura 1. a) Planta de Agave lechuguilla Torr., al centro el cogollo; b) Patio de almacenamiento; c) Localización del área de estudio en el ejido El Rodeo, municipio Mazapil, Zacatecas.
En México, A. lechuguilla se distribuye en los estados de Chihuahua, Coahuila, Nuevo León, Tamaulipas, Durango, Zacatecas, San Luis Potosí, Hidalgo y Oaxaca (Sagarpa, 2009; Martínez, 2013). Son pocos los estudios para estimar el potencial de producción de biomasa y fibra de la especie, lo que se puede conocer por medio de metodologías estadísticas como la evaluación de modelos alométricos mediante regresión; los cuales usan datos provenientes de la medición en campo de variables morfométricas recomendadas en la normatividad vigente (Semarnat, 1996).
Para el aprovechamiento de este tipo de especies, la entidad normativa solicita, previamente, la realización de un estudio técnico para disponer de información de las existencias reales de la población natural y después se debe de definir un plan de aprovechamiento (Semarnat, 1996; Semarnat, 2018; Cano et al., 2005; Velasco et al., 2009; Martínez, 2013). Lo anterior es útil para generar tablas de rendimiento de biomasa y fibra para A. lechuguilla, porque es una herramienta que apoya la descripción y conservación del recurso de zonas áridas y semiáridas (Cano et al., 2005; Velasco et al., 2009).
El objetivo del presente estudio fue ajustar modelos para predecir el peso verde (biomasa) y peso seco (fibra) de Agave lechuguilla y, con base en la selección de los mejores, elaborar tablas de rendimiento que utilicen variables morfométricas fáciles de medir en poblaciones silvestres en el norte de Zacatecas.
Materiales y Métodos
Área de estudio
La investigación se realizó durante 2020, en el ejido El Rodeo, municipio Mazapil, ubicado al norte del estado de Zacatecas, México. En esta zona se encuentran importantes poblaciones naturales de A. lechuguilla. Se localiza entre las coordenadas geográficas 23º08’00” de latitud norte y 101º07’00” de longitud oeste (Figura 1), a una altitud promedio de 2 200 m (Conabio, 2014), con una superficie de 10 317.553 ha. Para cubrir la variación total del desarrollo biológico de las plantas y conocer la productividad de fibra por variaciones altitudinales del terreno y sitios de muestreo, se consideraron áreas próximas a ser aprovechadas, así como las que no se acostumbran cosechar (Semarnat, 1996).
Diseño de muestreo y variables evaluadas
Para la toma de datos en campo, se utilizaron 74 puntos como unidades o sitios de muestreo (n=74), espaciados a una distancia de 100 m entre ellos y distribuidos al azar. A partir del centro del sitio, se trazaron dos ejes: uno en dirección norte-sur y otro este-oeste, lo cual dio como resultado cuatro cuadrantes centrados en un punto (Bonham, 2013; González et al., 2022); ahí se hicieron las mediciones de una planta por cuadrante (la más cercana) con características aprovechables, tales como que no hubiesen sido cosechadas en años anteriores, o que estuvieran libres de daños biológicos y mecánicos. Además, se apegó a la legislación forestal vigente y se recolectaron aquellos ejemplares cuya longitud mínima o altura del cogollo fuese de 25 cm (Berlanga et al., 1992; Semarnat, 1996; Velasco et al., 2009).
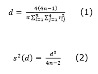
En los cuadrantes derivados de cada uno de los puntos de muestreo y auxiliados de una cinta métrica marca MBZ® modelo 700, se registró la distancia del punto a la planta más cercana (m), para un total de 296 plantas medidas (r=296). Para estimar la densidad de plantas ha-1 (d) de lechuguilla se utilizaron los estimadores insesgados (1) y (2) (Bonham, 2013):
Donde:
d = Estimador de la densidad de plantas
n = Número de puntos de muestreo
rij = Distancias individuales en cada cuadrante
= Valor de pi (3.14159)
s2(d) = Varianza de la densidad de plantas
El intervalo de confianza para la densidad (d) se determinó mediante la expresión:
d±√(s2(d) (3)
Donde:
√s2(d) = Raíz cuadrada de la varianza de la densidad
Las variables morfométricas medidas en cada planta fueron el diámetro menor (dme, cm) o base del cogollo, el cual se midió con cinta métrica después del corte de la parte basal de la planta. El diámetro aéreo mayor (dma, cm) se obtuvo sobreponiendo una regla de madera graduada en cm marca Arly® modelo 5010 colocada en la parte más ancha de la cobertura aérea de la planta. La altura del cogollo (h, cm) se midió desde la base a la punta de cada una de las hojas; a las curvadas se les ajustó la cinta métrica a lo largo de ellas.
Cada cogollo se etiquetó de forma individual para mantener un control ordenado y facilitar su identificación. La muestra de los ejemplaresrecolectados se transportó a patios de almacenamiento para obtener el peso verde del cogollo (pv, g) individual con una báscula digital modelo Torrey L-EQ 5/10 con capacidad de 20 kg. El peso seco de la fibra (ps, g) de cada cogollo se obtuvo posterior al tallado manual, etiquetado y exposición directa al sol por un periodo de 3 a 5 horas; para registrar el peso, se aplicó el criterio de que no hubiese humedad al tacto. Se utilizó una balanza portátil de plato 180×190 mm de diámetro modelo SPX con capacidad de 2 000 g×0.01 g de precisión.
Análisis estadístico
De los 296 individuos recolectados, se calcularon la media muestral y los intervalos
, s fue la desviación estándar, así como los valores mínimos y máximos de cada variable morfométrica. Además, se realizó la prueba de normalidad en los datos con el estadístico W de Shapiro-Wilk en Excel® (Zar, 1999).
Con la finalidad de conocer la relación lineal entre las variables medidas, se estimó el coeficiente de correlación simple (R) en Excel® (Pearson, P<0.01) para los pares de variables de la matriz de datos (Zar, 1999). Se consideraron, principalmente, las asociaciones de pv (g) y ps (g) con respecto a dme (cm), dma (cm) y h (cm), se seleccionó el valor más alto para organizar la información en intervalos (Zar, 1999; Walpole et al., 2012).
Para predecir la producción de biomasa en términos del pv y el rendimiento de fibra dada por el ps, se evaluó el ajuste por regresión de 18 modelos alométricos (9 para cada variable dependiente) lineales y no lineales (Cuadro 1), se aplicó el método de mínimos cuadrados en Excel®, para este efecto se usaron las variables mejor correlacionadas con el pv (g) y ps (g). Para la selección de los mejores modelos se usaron como criterios: Probabilidad de cometer el Error Tipo I (P<0.01) en la regresión, el mayor valor de coeficiente de determinación ajustado (R2aj), valores mínimos para la raíz del Cuadrado Medio del Error (RCME), Coeficiente de Variación (CV), estadístico Cp Mallows (Cp), valor absoluto de la suma de cuadrados de la predicción (│PRESS│) y suma de cuadrados de la predicción (PRESS) (Zar, 1999; Walpole et al., 2012). Posteriormente, se les aplicó la prueba de Breusch-Pagan (BP) (P<0.01) para homocedasticidad (Breusch y Pagan, 1979; Maldonado-Ortiz et al., 2022). Se buscó que el modelo utilizado incluyera dentro de sus bandas de confianza (99 %) todas las observaciones organizadas en intervalos para nuevos valores de pv (g) y ps (g), respectivamente (Semarnat, 1996; Zar, 1999; Walpole et al., 2012).
Cuadro 1. Modelos evaluados para estimar el rendimiento de biomasa pv (g) y de fibra ps (g) de Agave lechuguilla Torr.
Núm. |
Modelo |
Núm. |
Modelo |
1 |
pv=a+b(dme) |
10 |
ps=a+b(dme) |
2 |
pv=a+b(dma) |
11 |
ps=a+b(dma) |
3 |
pv=a+b(h) |
12 |
ps=a+b(h) |
4 |
pv=abdme |
13 |
ps=abdme |
5 |
pv=abdma |
14 |
ps=abdma |
6 |
pv=abh |
15 |
ps=abh |
7 |
pv=a(dme)b |
16 |
ps=a(dme)b |
8 |
pv=a(dma)b |
17 |
ps=a(dma)b |
9 |
pv=ahb |
18 |
ps=ahb |
pv = Peso verde del cogollo (g); ps = Peso seco de la fibra (g); a y b = Estimadores de los parámetros de la regresión; dme = Diámetro menor (cm); dma = Diámetro aéreo mayor (cm); h = Altura del cogollo (cm).
Una vez seleccionados los dos modelos de regresión (Cuadro 1), se estimó una tabla de rendimiento de biomasa verde para pv (g) y fibra para ps (g), respectivamente.
Resultados y Discusión
Análisis estadístico de la información
La densidad promedio de A. lechuguilla fue de 2 149±126 plantas aprovechables ha-1, con un intervalo 2 023–2 275 plantas ha-1, límites dados por los estimadores insesgados (1) y (2) del método de muestreo cuadrantes centrados en un punto efectuado en campo (Bonham, 2013) y que solo son aplicables para el área de estudio.
El análisis de datos de A. lechuguilla derivó en los estadísticos que se presentan en el Cuadro 2. El promedio de pv fue de 287.2±118.8 g cogollo-1; para ps fue 19.1±10.0 g, lo que representó un rendimiento de 6.65 % de fibra, fue similar a lo registrado por Berlanga et al. (1992) y Martínez (2013). Debe considerarse que las áreas de estudio fueron distintas, por lo que las cifras de rendimientos pueden diferir. Por otro lado, las variables morfométricas dme (cm), dma (cm), h (cm), pv (g) y ps (g) mostraron una distribución normal (W>P) (Cuadro 2).
Cuadro 2. Análisis de exploración de datos para las variables morfométricas de Agave lechuguilla Torr.
Estimadores |
Variables |
||||
dme |
dma |
h |
pv |
ps |
|
Media |
4.8±1.1 |
114.8±34.4 |
48.2±9.9 |
287.2±118.8 |
19.1±10.0 |
Mínimo |
2.3 |
36.8 |
27.0 |
81.0 |
4.0 |
Máximo |
7.5 |
215.0 |
82.0 |
666.0 |
54.0 |
W>P |
0.1373 |
0.6179 |
0.2666 |
0.3904 |
0.5815 |
dme = Diámetro menor (cm); dma = Diámetro aéreo mayor (cm); h = Altura del cogollo (cm); pv = Peso verde (g); ps = Peso seco (g); W = Estadístico Shapiro-Wilk.
Correlación entre variables morfométricas
La correlación entre las variables (Cuadro 3) se estimó con los promedios de las 296 plantas de A. lechuguilla. Se determinó que la relación lineal entre pares de variables fue estadísticamente significativa a 99 % (P<0.01). Se centró la atención en pv (g) y ps (g) como variables dependientes con las variables morfométricas; los valores más altos, con relación positiva y significativos (P<0.01) fueron para pv y dma (R=0.968), así como ps y h (R=0.945). Los intervalos se ordenaron de 35–215 cm para dma y de 30–65 cm para h.
Cuadro 3. Coeficientes de correlación lineal (R) entre las variables morfométricas de Agave lechuguilla Torr.
|
dme |
dma |
h |
pv |
ps |
dme |
|
|
|
|
|
dma |
0.878** |
|
|
|
|
h |
0.936** |
0.967** |
|
|
|
pv |
0.895** |
0.968** |
0.952** |
|
|
ps |
0.904** |
0.919** |
0.945** |
0.965** |
|
dme = Diámetro menor (cm); dma = Diámetro aéreo mayor (cm); h = Altura del cogollo (cm); pv = Peso verde (g); ps = Peso seco (g); **P<0.01.
Estimación de tabla de rendimiento de biomasa de pv (g) y fibra ps (g) para Agave lechuguilla Torr.
La evaluación de los modelos ajustados para estimar la producción de biomasa y fibra de A. lechuguilla se muestra en el Cuadro 4. Los valores de los estimadores de la regresión a y b se presentan como exponenciales para los modelos no lineales de pv (4–6) y ps (13–15); solamente para a en pv (7–9) y ps (16–18), los criterios de selección se muestran en el Cuadro 5. Los mejores fueron los no lineales para biomasa verde, pv=21.920(1.054)h (modelo 6, Cuadro 1), y para fibra ps=0.0003(h)2.812 (modelo 18, Cuadro 1), respectivamente. La elección de modelos fue similar a lo que se ha llevado a cabo para estudios en otras áreas con la misma especie (Berlanga et al., 1992; Pando et al., 2004). Cumplieron con la homocedasticidad (P>0.01); es decir, los modelos seleccionados no tuvieron el problema de heterocedasticidad (Breusch y Pagan, 1979; Maldonado-Ortiz et al., 2022). Para los modelos seleccionados se generaron tablas de producción de biomasa pv (g) y de rendimiento de fibra ps (g), respectivamente (Cuadro 6); además, se muestran las bandas de confianza (99 %) para los datos (Figura 2), lo que da la posibilidad de hacer estimaciones dentro del intervaloo observado de los datos para el área de estudio.
Cuadro 4. Análisis de varianza para los modelos de biomasa de pv (g) y fibra ps (g) para Agave lechuguilla Torr.
Modelo |
a |
b |
sa |
sb |
Pa<0.01 |
Pb<0.01 |
1 |
-355.969 |
139.848 |
81.675 |
16.904 |
** |
** |
2 |
24.242 |
2.282 |
19.613 |
0.144 |
NS |
** |
3 |
-366.712 |
13.918 |
53.371 |
1.080 |
** |
** |
4 |
21.276 |
1.719 |
0.214 |
0.044 |
** |
** |
5 |
99.790 |
1.008 |
0.082 |
0.0005 |
** |
** |
6 |
21.920 |
1.054 |
0.124 |
0.002 |
** |
** |
7 |
8.334 |
2.279 |
0.326 |
0.209 |
** |
** |
8 |
4.042 |
0.899 |
0.214 |
0.045 |
** |
** |
9 |
0.320 |
2.351 |
0.470 |
0.121 |
** |
** |
10 |
-24.765 |
9.363 |
5.189 |
1.074 |
** |
** |
11 |
1.841 |
0.144 |
2.040 |
0.014 |
NS |
** |
12 |
-24.672 |
0.915 |
3.805 |
0.077 |
** |
** |
13 |
0.783 |
1.919 |
0.284 |
0.058 |
NS |
** |
14 |
5.528 |
1.009 |
0.168 |
0.001 |
** |
** |
15 |
0.881 |
1.063 |
0.256 |
0.005 |
NS |
** |
16 |
0.231 |
2.800 |
0.365 |
0.235 |
** |
** |
17 |
0.124 |
1.048 |
0.442 |
0.093 |
** |
** |
18 |
0.0003 |
2.812 |
0.749 |
0.194 |
** |
** |
sa = Error estándar para a; sb = Error estándar para b; **Pa<0.01; **Pb<0.01; NS = No significativo.
Cuadro 5. Modelos de regresión ajustados para las variables pv y ps en función de variables morfométricas de Agave lechuguilla Torr.
Modelo |
P<0.01 |
R2aj |
RCME |
CV (%) |
Cp |
│PRESS│ |
PRESS |
BP<0.01 |
1 |
** |
0.789 |
59.896 |
19.315 |
599.919 |
48.445 |
2 346.959 |
NS |
2 |
** |
0.933 |
33.773 |
10.891 |
192.108 |
5.697 |
32.459 |
** |
3 |
** |
0.902 |
40.933 |
13.200 |
281.246 |
29.112 |
847.483 |
NS |
4 |
** |
0.892 |
0.158 |
2.780 |
2.004 |
0.049 |
0.0020 |
** |
5 |
** |
0.913 |
0.141 |
2.495 |
2.003 |
0.114 |
0.0130 |
NS |
6 |
** |
0.960 |
0.095 |
1.688 |
2.002 |
0.012 |
0.0001 |
NS |
7 |
** |
0.867 |
0.173 |
3.087 |
2.005 |
0.176 |
0.0310 |
NS |
8 |
** |
0.957 |
0.100 |
1.762 |
2.002 |
0.017 |
0.0003 |
NS |
9 |
** |
0.954 |
0.100 |
1.816 |
2.002 |
0.065 |
0.0040 |
NS |
10 |
** |
0.806 |
3.805 |
19.191 |
4.413 |
1.167 |
1.3620 |
NS |
11 |
** |
0.835 |
3.514 |
17.720 |
4.057 |
1.990 |
3.9580 |
NS |
12 |
** |
0.886 |
2.918 |
14.717 |
3.419 |
0.199 |
0.0390 |
NS |
13 |
** |
0.871 |
0.207 |
7.288 |
2.007 |
0.121 |
0.0150 |
NS |
14 |
** |
0.751 |
0.290 |
10.138 |
2.014 |
0.244 |
0.0590 |
NS |
15 |
** |
0.885 |
0.197 |
6.879 |
2.006 |
0.180 |
0.0320 |
NS |
16 |
** |
0.887 |
0.195 |
6.832 |
2.006 |
0.029 |
0.0010 |
NS |
17 |
** |
0.875 |
0.205 |
7.187 |
2.007 |
0.147 |
0.0220 |
NS |
18 |
** |
0.921 |
0.164 |
5.708 |
2.004 |
0.123 |
0.0150 |
NS |
**P<0.01 en la regresión; **BP<0.01; NS = No significativo.
Cuadro 6. Tablas de rendimiento para biomasa verde (g) y fibra seca (g) para Agave lechuguilla Torr. en función de la altura del cogollo (h).
h (cm) |
30 |
35 |
40 |
45 |
50 |
55 |
60 |
65 |
Biomasa verde (pv, g) |
106.18 |
138.12 |
179.66 |
233.70 |
303.99 |
395.43 |
514.37 |
669.08 |
Fibra seca (ps, g) |
4.27 |
6.59 |
9.59 |
13.36 |
17.97 |
23.49 |
30.01 |
37.58 |
h = Altura del cogollo (cm); pv = Peso verde (g); ps = Peso seco (g).
BCI = Banda de confianza inferior; BCS = Banda de confianza superior; h = Altura del cogollo (cm); pv = Peso verde (g); ps = Peso seco (g); ei = Residual = i-ésimo valor estimado de y (pv o ps).
Figura 2. Curva promedio, bandas que reproducen los intervalos de confianza (P<0.01) y gráficos de residuales para los modelos seleccionados.
Conclusiones
La variable morfométrica altura del cogollo (h) medida en poblaciones silvestres de A. lechuguilla al norte de Zacatecas permite estimar el rendimiento de biomasa verde del cogollo (g) en términos del peso verde (pv, g), así como el rendimiento de fibra con respecto a su peso seco (ps, g) mediante ecuaciones de regresión. Para el primer caso, la función seleccionada es pv=21.920(1.054)h; y en el segundo, la expresión ps=0.0003(h)2.812. Los criterios estadísticos utilizados dan certidumbre en la selección del mejor modelo para cada variable de interés. Se generaron tablas de producción de biomasa verde y de rendimiento de fibra, las cuales conforman herramientas cuantitativas de trabajo que contribuirán a la elaboración de planes de manejo para la especie en áreas con características ecológicas-ambientales similares a las estudiadas.
Conflicto de intereses
Los autores manifiestan no tener conflicto de interés.
Contribución por autor
Héctor Darío González López, Dino Ulises González Uribe: planeación y desarrollo de la investigación, muestreo en campo, captura de datos, análisis y exploración de datos, redacción y revisión de estructura del manuscrito.
Referencias
Berlanga R., C. A., L. A. González L. y H. Franco L. 1992. Metodología para evaluación y manejo de lechuguilla en condiciones naturales. Folleto Técnico Núm. 1. Secretaría de Agricultura y Recursos Hidráulicos e INIFAP-CIRNE, Campo Experimental “La Sauceda”. Saltillo, Coah., México. 22 p.
Breusch, T. S. and A. R. Pagan. 1979. A simple test for heteroscedasticity and random coefficient variation. Econometrica 47(5):1287-1294. Doi: 10.2307/1911963.
Bonham, C. D. 2013. Measurements for terrestrial vegetation. John Wiley & Sons. New Delhi, DL, India. 246 p. https://onlinelibrary.wiley.com/doi/book/10.1002/9781118534540. (27 de octubre de 2022).
Cano P., A., C. A. Berlanga R., D. Castillo Q., O. U. Martínez B. y A. Zárate L. 2005. Análisis dimensional y tablas de producción de sotol (Dasylirion cedrosanum Trel.) para el estado de Coahuila. INIFAP-Centro de investigación Regional del Noreste, Campo Experimental Saltillo. Folleto Técnico Núm. 18. Saltillo, Coah., México. 24 p. http://www.inifapcirne.gob.mx/Biblioteca/Publicaciones/182.pdf. (4 de julio de 2022).
Chandrasekharan, C., T. Frisk y J. Campos R. 1996. Desarrollo de productos forestales no madereros en América Latina y el Caribe. Serie Forestal Núm. 5. Organización de las Naciones Unidas para la Alimentación y la Agricultura (FAO). Santiago de Chile, SCL, Chile. 61 p. http://www.fao.org/3/t2360s/t2360s.pdf. (28 de junio de 2022).
Comisión Nacional para el Conocimiento y Uso de la Biodiversidad (Conabio). 2014. Localidades rurales y urbanas 1, 2010. http://geoportal.conabio.gob.mx/metadatos/doc/html/urbrloc10gw.html. (7 de noviembre de 2022).
González L., H. D., S. Valencia M. y D. U. González U. 2022. Tabla de rendimiento de biomasa para Euphorbia antisyphilitica al norte de Zacatecas. Revista Mexicana de Ciencias Agrícolas 13(3):443-453. Doi: 10.29312/remexca.v13i3.2908.
Maldonado-Ortiz, M., P. M. López-Serrano, R. D. Valdez-Cepeda, R. Mata-González, F. García-González y M. Martínez-Salvador. 2022. Ecuaciones para estimar biomasa total de candelilla (Euphorbia antisyphilitica Zucc.) en Chihuahua. Revista Mexicana de Ciencias Forestales 13(72):173-200. Doi: 10.29298/rmcf.v13i72.1231.
Martínez S., M. 2013. Ecología y usos de especies forestales de interés comercial de las zonas áridas de México. Libro Técnico Núm. 5. INIFAP-Centro de Investigación Regional Norte Centro, Sitio Experimental La Campana. Ciudad Aldama, Chih., México. 217 p. https://www.researchgate.net/profile/Martin-Martinez-Salvador/publication/261323618_Libro_zonas_aridas/links/00463533dceec7f707000000/Libro-zonas-aridas.pdf. (31 de mayo de 2022).
Mayorga-Hernández, E., D. Rössel-Kipping, H. Ortiz-Laurel, A. R. Quero-Carrillo y A. Amante-Orozco. 2004. Análisis comparativo en la calidad de fibra de Agave lecheguilla Torr., procesada manual y mecánicamente. Agrociencia 38(2):219-225. https://agrociencia-colpos.org/index.php/agrociencia/article/view/315. (4 de julio de 2022).
Pando-Moreno, M., O. Eufracio, E. Jurado and E. Estrada. 2004. Post-harvest growth of Lechuguilla (Agave lechuguilla Torr., Agavaceae) in Northeastern Mexico. Economic Botany 58(1):78-82. Doi: 10.1663/0013-0001(2004)058[0078:PGOLAL]2.0.CO;2.
Secretaría de Agricultura y Desarrollo Rural (Sagarpa). 2009. Estudio orientado a identificar los mercados y canales de comercialización internacionales para la oferta de productos de ixtle con valor agregado. Integradora de Ixtleros de Zacatecas S. A. de C. V. y KALAN KAASH S. C. Zacatecas, ZAC, México. 388 p. https://cofemersimir.gob.mx/expediente/13899/mir/33129/anexo/913306. (31 de mayo de 2022).
Secretaría de Medio Ambiente y Recursos Naturales (Semarnat). 1996. Norma Oficial Mexicana Nom-008-Semarnat-1996 que establece los procedimientos, criterios y especificaciones para realizar el aprovechamiento, transporte y almacenamiento de cogollos. Diario Oficial de la Federación (DOF). 10 p. https://www.cmic.org.mx/comisiones/Sectoriales/medioambiente/Varios/Leyes_y_Normas_SEMARNAT/NOM/Protecci%C3%B3n%20de%20Flora%20y%20Fauna/25.%201996.pdf. (31 de mayo de 2022).
Secretaría de Medio Ambiente y Recursos Naturales (Semarnat). 2018. Ley General de Desarrollo Forestal Sustentable (LGDFS). Diario Oficial de Federación (DOF), Edición Vespertina. 83 p. https://www.diputados.gob.mx/LeyesBiblio/pdf/LGDFS.pdf. (13 de junio de 2022).
Tapia-Tapia, E. del C. y R. Reyes-Chilpa. 2008. Productos forestales no maderables en México: Aspectos económicos para el desarrollo sustentable. Madera y Bosques 14(3):95-112. Doi: 10.21829/myb.2008.1431208.
Velasco B., E., A. Arredondo G., M. C. Zamora-Martínez y F. Moreno S. 2009. Modelos predictivos para la producción de productos forestales no maderables: Lechuguilla. Manual Técnico Núm. 2. INIFAP-Centro Nacional de Investigación Disciplinaria en Conservación y Mejoramiento de Ecosistemas Forestales. Coyoacán, México D. F., México. 56 p.
Walpole, R. E., R. H. Myers, S. L. Myers y K. Ye. 2012. Probabilidad y estadística para ingeniería y ciencias. Pearson Educación. Naucalpan de Juárez, Edo. Méx., México. 792 p. https://vereniciafunez94hotmail.files.wordpress.com/2014/08/8va-probabilidad-y-estadistica-para-ingenier-walpole_8.pdf. (23 de septiembre de 2022).
Zar, J. H. 1999. Biostatistical Analysis. Prentice Hall. New Jersey, NJ, USA. 663 p. https://www.scirp.org/(S(vtj3fa45qm1ean45vvffcz55))/reference/ReferencesPapers.aspx?ReferenceID=1899346. (23 de septiembre de 2022).
Todos los textos publicados por la Revista Mexicana de Ciencias Forestales –sin excepción– se distribuyen amparados bajo la licencia Creative Commons 4.0 Atribución-No Comercial (CC BY-NC 4.0 Internacional), que permite a terceros utilizar lo publicado siempre que mencionen la autoría del trabajo y a la primera publicación en esta revista.