Revista Mexicana de Ciencias Forestales Vol. 13 (74)

Noviembre – Diciembre (2022)

Logotipo, nombre de la empresa

Descripción generada automáticamente

DOI: https://doi.org/10.29298/rmcf.v13i74.1274

Artículo

Spatio-temporal analysis of wildfires occurrence in the Mexican State of Oaxaca

Análisis espacio temporal de la ocurrencia de incendios forestales en el estado mexicano de Oaxaca

 

Bartolo de Jesús Villar-Hernández1,2*, Sergio Pérez-Elizalde2, Dante Arturo Rodríguez-Trejo1, Paulino Pérez-Rodríguez2

 

Fecha de recepción/Reception date: 19 de mayo de 2022

Fecha de aceptación/Acceptance date: 30 de septiembre del 2022

_______________________________

1Universidad Autónoma Chapingo. México.

2Colegio de Postgraduados, Campus Montecillo. México.

 

*Autor para correspondencia; correo-e: bjesusvh@gmail.com

*Corresponding author; e-mail: bjesusvh@gmail.com

 

Resumen

En este estudio, se modelan y analizan los eventos de incendios forestales registrados en los últimos 19 años por el satélite de observación MODIS en el estado de Oaxaca; para ello, se utilizó un modelo Poisson jerárquico bayesiano, el cual modela el número de incendios forestales espacial y temporalmente, así como la interacción de ambos. De acuerdo con los resultados, algunas variables ambientales como la temperatura del trimestre más seco, la velocidad media del viento, el índice de vegetación mejorado y la ocurrencia del fenómeno El Niño-Oscilación del Sur, explican parte de la variabilidad espacio-temporal observada. Derivado del análisis, se identificaron dos grupos espaciales: el primero cubre desde la Sierra Juárez hasta el Istmo de Tehuantepec, y el segundo abarca la Sierra Sur. Adicionalmente, el término temporal sugiere que el número de eventos se ha incrementado en aproximadamente 42.2 % en las últimas dos décadas. Los resultados indican que los incendios forestales se han incrementado tanto espacial como temporalmente. Estos hallazgos son señales de alarma, dado que si la tendencia continua, en las siguientes décadas cientos de nuevas hectáreas de bosque y su biodiversidad serán amenazadas a causa de los regímenes de fuego alterados, que también afectará las actividades económicas y la salud de los habitantes de las áreas rurales y urbanas del estado. La información generada puede ser un punto de partida en el diseño de programas más eficientes para mitigar el impacto de los incendios forestales en Oaxaca.

Palabras clave: Pérdida de biodiversidad, emisión de carbono, focos de calor, observación satelital, agrupamiento espacial, incendios forestales.

Abstract

In this study, we modelled and analyzed hotspot events recorded by MODIS satellite during the last nineteen years in the Mexican state of Oaxaca using a hierarchical Poisson Bayesian model. Our approach models the number of forest fires in space, time and the interaction of both and considers environmental variables. According to our results, some environmental variables can explain some of the observed Spatio-temporal variations, such as the temperature of the driest quarter, average wind speed, enhanced vegetation index values, and the occurrence of El Niño-Southern Oscillation. The analysis identified two spatial cluster regions: the first covers the Sierra Juárez up to the Isthmus of Tehuantepec, and the second covers the Sierra del Sur. Additionally, the temporal term in our model suggests that the number of events has increased by approximately 42.2 % in the last two decades. In conclusion, our results prompt that forest fires increased not only spatially but also in temporarily. These findings are alarm signals because if the trend continues, hundreds of new hectares of forest and its biodiversity will be threatened in the following decades, affecting too economic activities and people's health living in rural and urban areas of Oaxaca. This study can be a primary analysis in designing more efficient fire management programs to mitigate the impacts of altered fire regimes in Oaxaca.

Keywords: Biodiversity loss, carbon emissions, hotspots, satellite observation, spatial clustering, wildfires.

 

 

Introducción

 

Los incendios forestales son uno de los factores más importantes que dan forma y modifican el ecosistema y la biodiversidad del Planeta desde hace millones de años. En múltiples regiones del mundo, estos eventos son causados por una combinación de fenómenos naturales como los rayos y la disponibilidad de combustible vegetal debido a las sequías pronunciadas en ciertos meses del año. Por ejemplo, en México 40 % de los tipos de vegetación son mantenidos por incendios (Rodríguez, 2014), y en algunos bosques tropicales ocurren en cada temporada de secas, por lo que las especies arbóreas exhiben rasgos de adaptación a los incendios, y estos desempeñan un papel ecológico (Nasi et al., 2002). En gran medida, los seres humanos son responsables, directa o indirectamente, de manera deliberada o por descuido, de entre 75 % y 96 % de ellos (Hirschberger, 2016).

La expresión del fuego como factor ecológico en los ecosistemas forestales ocurre a partir de regímenes de fuego, es decir, los patrones de incendios repetidos y expresados como frecuencia, estación, tipo, gravedad y extensión en un paisaje (Scott et al., 2014). Se estima que 61 % de las ecorregiones del Planeta tienen regímenes de fuego degradados o muy degradados, de modo que el fuego desempeña un papel fundamental en el mantenimiento de muchos ecosistemas; debido a las actividades antrópicas, el fuego se comporta, actualmente, de manera diferente que en cualquier otra época de la historia de la humanidad (Shlisky et al., 2007).

A una escala global, la alteración de los regímenes de fuego es una importante fuente de emisiones de gases de efecto invernadero. En el ámbito regional, los incendios impactan las reservas de biomasa, el ciclo hidrológico y la salud de las personas, además afectan significativamente la biodiversidad en los bosques. Nasi et al. (2002) señalan que a finales del siglo XX, los cambios en la dinámica entre el hombre, el fuego y el aumento en la frecuencia de El Niño-Oscilación del Sur, han originado una situación en la que los incendios constituyen una importante amenaza para muchos bosques y su biodiversidad. En particular, El Niño-Oscilación del Sur ha generado condiciones inusualmente cálidas y secas en muchas regiones del mundo susceptibles a los incendios, lo que puede resultar en un incremento de la superficie quemada (Burton et al., 2020).

Desde el punto de vista de la salud de las personas, el humo de los incendios forestales tiene el potencial de afectar a millones de personas, por lo que constituye un problema de salud pública considerable (Chen et al., 2006; Dennekamp y Abramson, 2011).

Con los avances tecnológicos actuales es posible monitorear grandes superficies mediante el uso extensivo de los datos satelitales. Una aplicación es la detección de los incendios activos (focos de calor) que, generalmente, se basa en la región espectral infrarroja media (MIR) (3-5 μm), la cual implica una radiancia espectral de la temperatura a la que se quema la vegetación (de 500 a 1 000 K). Esta es superior a las temperaturas promedio de la Tierra (de 300 K), por lo que es posible distinguir los incendios activos (Chuvieco, 2008). El sensor más importante es el Espectrorradiómetro de Imágenes de Resolución Moderada (MODIS) de los satélites Aqua y Terra, el cual identifica los “píxeles de fuego” del tamaño de 1 km2 (en promedio). Müller et al. (2013) refieren que el tamaño de los incendios detectables depende de la temperatura del fuego, del área del incendio, de la cobertura vegetal y del ángulo de visión del sensor.

La observación y el registro de los focos de calor también permite estudiar, analizar y responder preguntas científicas a partir de datos espacio-temporales. La información disponible a la fecha no respalda un aumento general de la superficie quemada, ni de la gravedad global de los incendios, pero hay evidencias, basadas en algunas escalas regionales, de que se ha incrementado el número de eventos y el área total afectada (Doerr y Santín, 2016). Por lo tanto, cabe suponer que los incendios forestales se pueden analizar y modelar a nivel regional.

En México hay algunos esfuerzos de investigación encaminados a comprender diversos aspectos de los incendios forestales, desde los puntos de vista de la causalidad (Ávila-Flores et al., 2010; Antonio y Ellis, 2015; Pompa-García et al., 2018; Zúñiga-Vásquez y Pompa-García, 2019) hasta de la predicción (Perez-Verdin et al.,2014; Ibarra-Montoya y Huerta-Martínez, 2016; Galván y Magaña, 2020; Monjarás-Vega et al., 2020; Ruíz-García et al., 2022).

Oaxaca es el estado con mayor biodiversidad en todo México; alberga casi la mitad de las especies de plantas y de tipos de vegetación del país, así como 40 % de los taxa de mamíferos, 63 % de los de aves, 26 % de los reptiles y 23 % de los peces de río (Oviedo, 2002). El estado se ubica en el suroeste de México y colinda con Puebla, Veracruz, Chiapas, Guerrero, y con el océano Pacífico al sur (Figura 1). El bosque seco tropical, en el que viven como endémicas hasta 70 % de las especies de plantas, cruza el estado.

 

 

Figura 1. Ubicación geográfica del estado de Oaxaca en México.

 

Con base en los resultados obtenidos a partir de datos de los años 2000 a 2012, Oaxaca es una de las primeras cinco entidades con más emisiones de carbono negro (4 557-6 309 t año-1) y de carbono orgánico (48 441-70 663 t año-1) derivados de incendios forestales (Cruz et al., 2014). En el último informe técnico de la Comisión Nacional Forestal (Conafor), en 2019 Oaxaca figuraba entre los 10 estados con mayor número de incendios forestales y se hallaba entre los primeros cinco con más superficie dañada (Conafor, 2020).

Doerr y Santín (2016) señalan la necesidad de realizar estudios a escalas local y regional, y dada la gran biodiversidad existente en Oaxaca, en el presente estudio se analizan retrospectivamente los eventos de focos de calor ocurridos en los últimos 19 años (2001–2019) en el estado. El objetivo principal fue analizar y caracterizar el patrón espacio-temporal de los casos de focos de calor para conocer si sus patrones varían en el espacio y en el tiempo, o si los eventos se dispersan al azar en ambas escalas. Se consideró que en el área de estudio los focos de calor no están dispersos al azar en el espacio, sino que se forman agrupamientos, los cuales se explican, parcialmente, como una función de ciertas variables ambientales como la temperatura, la precipitación, la pendiente del terreno, la velocidad de viento y el tipo de vegetación. También, se planteó la hipótesis de que los focos de calor tienden a incrementarse significativamente en el tiempo y el espacio.

En México, se han realizado muchos estudios sobre incendios forestales, pero sin un enfoque unificado que modele en el espacio y el tiempo e integre y cuantifique los efectos de ciertas variables ambientales en el riesgo de incendios. Es posible incluir en investigaciones futuras variables relacionadas con las actividades humanas que igual influyen en la distribución de los focos de calor. Cabe señalar que en el presente estudio se analizan, por primera vez, los datos de los focos de calor de dos décadas de registros satelitales en Oaxaca.

 

Materiales y Métodos  

 

 

Datos y su descripción general

 

 

La base de datos de los focos de calor utilizada se obtuvo del Sistema de Información sobre Incendios para la Gestión de Recursos (FIRMS) (NASA, 2020c). Los registros representan el centro de un píxel de 1 km2que contiene uno o más incendios diarios registrados desde enero de 2001, hasta diciembre de 2019 en el estado de Oaxaca, México. Se descartaron los datos con un bajo nivel de confianza (menor a 30 %) y todos los eventos correspondientes al área de la refinería del Pacífico (situada en Tehuantepec, Oaxaca) por considerarse falsas alarmas. El shapefile de polígonos que delimita el estado de Oaxaca se obtuvo del portal de geointeligencia de la Comisión Nacional para el Conocimiento y Uso de la Biodiversidad (Conabio, 2020).

El estado se dividió en un entramado regular de celdas de 10 km2 cada una. El número total de nuevos registros de focos de calor (no repetidos) se registró en cada celda para cada año se modelaron mediante un modelo estadístico que se presenta más adelante.

Además, se generó una base de datos de variables ambientales estandarizadas (valores crudos menos el promedio, divididos entre su correspondiente desviación estándar) a una resolución de 1 km2, la cual incluye valores de temperatura media del cuatrimestre más seco (TempCS, °C), precipitación media del trimestre más seco (ppCS, mm), velocidad media del viento (velocidad del viento, ms-1), pendiente (grados decimales), valores medios del Índice de Vegetación Mejorada (IVM, sin dimensiones) y otras dos variables indicadoras que representan la incidencia de la Oscilación del Sur El Niño y su homólogo La Niña en el año anterior.

Las variables climáticas se descargaron de la página web WorldClim-2 (Fick y Hijmans, 2017) y corresponden a los valores promedio de los datos históricos, mientras que la pendiente se obtuvo del portal de geointeligencia de la Conabio (Conabio, 2020). Se calcularon los valores promedio del IVM a partir de los datos crudos de la página web EarthData (NASA, 2020b) mediante la aplicación AppEEARS (NASA, 2020a).

 

 

Modelo estadístico

 

 

Se utilizó un modelo que se ha empleado en aplicaciones similares (Boadi et al., 2015; Costafreda, 2017); la variable de respuesta  es un valor agregado aleatorio (conteo) sobre la unidad de superficie () en el tiempo (). La región de estudio se dividió en  celdas, y se dispuso de datos para   años. Sea  la variable aleatoria referente al número de incendios en el área  en el tiempo . Dado que  puede adoptar valores de  (variable aleatoria de conteo), el primer nivel de una jerarquía es:

 

    

 

Donde:

 

El segundo nivel de jerarquía que vincula los predictores (la causa de los efectos fijos, el componente espacial, la tendencia temporal y la interacción entre tiempo y espacio) a  corresponde a la función:

 

    

 

Donde:

 

Los efectos espaciales aleatorios están dados por  y , un efecto espacial estructurado y uno no estructurado, respectivamente. La suma exponencial  representa el número esperado de eventos por año y celda que se explican exclusivamente por efectos espaciales. Por último,  representa la interacción entre espacio y tiempo.

Para fines prácticos, el modelo (Ecuaciones 1 y 2) se ajustó con el enfoque estadístico bayesiano, mediante la Integración Aproximada por transformada de Laplace (INLA, por sus siglas en inglés) (Rue et al., 2009) en el lenguaje de programación R (R Core Team, 2019). Por lo tanto, a fin de completar la especificación de los modelos, se requieren distribuciones a priori (tercer nivel de la jerarquía) para todos los parámetros del modelo. Para la media global en la escala logarítmica, se supuso una distribución a priori uniforme no informativo; es decir,  y para cada elemento de , una distribución de Gauss difusa con una media de cero y una varianza arbitraria grande , o sea, , a fin de asignar a  y  una distribución a priori uniforme no informativa.

Los otros parámetros que, se supone, tienen distribuciones normales son el efecto temporal , el efecto de heterogeneidad espacial no estructurada y el efecto de la interacción entre espacio y tiempo. Para el efecto  se utilizó el modelo condicional autorregresivo intrínseco (iCAR) (Besag, 1974), que representa la dependencia espacial entre zonas cercanas. iCAR se expresa:

 

    

 

Donde:

 y .  representa el número de celdas vecinas de primer orden del area i (las celdas i y j son vecinas de primer orden, si comparten un límite común (Banerjee et al., 2015); los pesos  son constantes y se especifican como  = 1, si las celdas  y  son vecinas, y  = 0 si no lo son. El parámetro de varianza  controla la cantidad de variabilidad de los efectos aleatorios y se calcula a partir de los datos.

El efecto temporal estructurado se modela dinámicamente como una caminata aleatoria de segundo orden (RW-2): . Un RW-2 es la manera más fácil de modelar las tendencias temporales no lineales. Para los hiperparámetros de varianza , se asignaron distribuciones gama inversas independientes: . Los valores de  y b han sido sugeridos por Blangiardi y Cameletti (2015) como valores razonables.

 

 

Resultados y Discusión

 

 

En el Cuadro 1 se presentan la media a posteriori, la desviación estándar a posteriori y el intervalo de credibilidad a posteriori a 95 % de cada elemento de () y para . Solo cuatro de siete variables ambientales fueron estadísticamente significativas (aquellas cuyos intervalos no contienen el cero), para explicar la tasa logarítmica de incendios forestales. Estas fueron TempCS e IVM con efecto positivo, y la velocidad del viento y el fenómeno de El Niño, con efectos negativos. Resulta fácil interpretar los parámetros en la escala original; es decir, . Por ejemplo, un aumento de una unidad estandarizada de TempCS o una unidad de IVM implica un incremento de 78.1 % ((1.781-1)100)) y de 34.9 % en el riesgo de desarrollarse incendios forestales, respectivamente. 

 

Cuadro 1. Resumen estadístico para los efectos fijos.

Variable ambiental

Parámetro

Media

Desviación estándar

Intervalo de confianza de 95 %

Exp (media)

Intercepto

0.153

0.149

[-0.192, 0.41]

1.165

TempCS*

0.577

0.122

[0.337, 0.817]

1.781

ppCS

-0.008

0.126

[-0.255, 0.238]

0.992

Pendiente

0.013

0.061

[-0.106, 0.132]

1.013

Velocidad del viento*

-0.348

0.122

[-0.588,-0.108]

0.706

IVM*

0.299

0.062

[0.178,0.419]

1.349

El Niño*

-0.523

0.186

[-0.836,-0.088]

0.593

La Niña

-0.248

0.193

[-0.591,0.184]

0.78

*Variables estadísticamente significativas.

 

En otros estudios también se documenta que la temperatura aumenta el riesgo de incendios forestales (Perez-Verdin et al.,2014; Antonio y Ellis, 2015). Por otra parte, los valores promedio del IVM proporcionan información acerca de las reservas de biomasa que potencialmente podrían estar disponibles como combustible forestal en la temporada seca del año; por lo tanto, conforme se incrementan los valores de IVM es mayor el efecto sobre el peligro de incendios forestales.

Contrariamente a lo que se esperaría, el aumento de una unidad estandarizada en la velocidad del viento disminuye el riesgo de un incendio forestal en 29.4 % ((1-0.706)100)). Una posible explicación es que el viento constituye un factor de peligro de incendio, es decir, a medida que aumenta su velocidad, también se incrementa la tasa de propagación del fuego, pero el viento solamente causa incendios directamente cuando los vientos fuertes generan incendios secundarios durante los incendios forestales. Además, la velocidad del viento puede interactuar con otras variables no consideradas en este análisis.

El efecto asociado a El Niño requiere de especial atención. Cuando se observa el fenómeno de El Niño, al año siguiente se reduce en 40.7 % el riesgo de que se presenten focos de calor. Lo anterior se debe a que El Niño ocasiona, en general, más precipitación en México durante el invierno (Bravo-Cabrera et al., 2017), y en consecuencia, hay menos combustible vegetal seco durante la temporada de secas (en la primavera del año siguiente).

En la Figura 2 se representa la moda a posteriori del efecto espacial principal . Se observan dos agrupamientos con los valores más altos de dicho efecto espacial. El agrupamiento corresponde a la banda que se extiende desde el noroeste hacía el sureste del estado de Oaxaca, que inicia en la sierra Mazateca, cruza la Sierra Juárez cerca del centro del estado, y se extiende hasta la sierra Mixe y el Istmo de Tehuantepec. Es importante señalar que esta zona es el final de la Sierra Madre Oriental que cruza todo el territorio nacional; en estas latitudes, el bosque es del tipo trópico seco y hasta 70 % de las especies vegetales que la habitan son endémicas. Es probable que los valores más altos del efecto espacial principal () respondan a los siguientes efectos antropogénicos: prácticas de roza, tumba  y quema, cría de ganado, explotación forestal ilegal, en general, a cambios de uso del suelo (Galván y Magaña, 2020), y no a variables ambientales.

 

Figura 2. Moda a posteriori del efecto espacial principal  de eventos de focos de calor en Oaxaca, México. 

 

Algunas celdas con valores altos de  cercanas al estado de Veracruz (zona inferior de la cuenca del río Papaloapan) se explican por la presencia de agricultura extensiva y cría de ganado. En el estado vecino de Chiapas, la composición arbórea alterada de muchas selvas caducifolias es el resultado de incendios forestales y de la cría de ganado bovino y caprino (Miranda, 2015).

En México, muchas selvas caducifolias originales son una mezcla de especies arbóreas adaptadas al fuego y sensibles a este, de tal manera que el fuego tiende a seleccionar a las primeras y las segundas se eliminan (Rodríguez et al., 2019). Es importante señalar que la selva de Chimalapas, región con gran biodiversidad, tiene valores del efecto espacial pequeños a pesar de que las zonas aledañas presentan valores altos. Probablemente, los esfuerzos de conservación de su población indígena nativa expliquen los valores bajos. En 1998, año de incendios extremos en México, la región estuvo severamente afectada por incendios de gran magnitud.

El segundo agrupamiento va del suroeste (limítrofe con Guerrero) al sureste del estado, una zona que comprende la Sierra Madre del Sur, la cual está constituida por bosques cálidos secos y cordilleras templadas; es probable que los valores altos del efecto espacial principal se deban también a efectos antropogénicos. Ambos agrupamientos coinciden con los identificados por Zúñiga-Vásquez et al. (2017), quienes utilizaron datos de todo el territorio mexicano.

En el Cuadro 2 se presenta un resumen de los hiperparámetros. El cálculo de  indicó que 99.98 % de la variación observada puede explicarse por el término de estructura espacial .

 

Cuadro 2. Resumen estadístico de los hiperparámetros.

Hiperparámetro

Media

Desviación estándar

intervalo de confianza de 95%

2.161

0.078

[2.039,2.339]

0.03

0.017

[0.012,0.075]

0.114

0.067

[0.025,0.277]

0.216

0.087

[0.108,0.443]

0.762

0.007

[0.748,0.776]

 

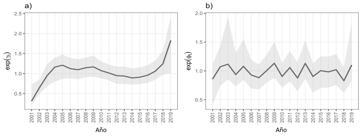
Las figuras 3a y 3b muestran la moda a posteriori de los efectos temporales estructurados  y no estructurados , respectivamente, registrados en la escala original; esto es, exponenciando. Para ambas cantidades, se presenta el intervalo de credibilidad a posteriori (ICA) de 95 %. En la Figura 3a es evidente que los efectos estructurados tuvieron una tendencia a incrementarse de 2001 a 2005. Después, durante un periodo de 10 años, esta se estabilizó, incluso disminuyó marginalmente; de 2015 a 2019 se observó una nueva tendencia ascendente. El incremento de 2001 a 2019 de los efectos estructurados fue de 42.2 %. Sería importante confirmar esta señal de alarma en el futuro, ya que el cambio climático y el calentamiento global están afectando los patrones de incendios en algunas regiones, quizás con aumentos a nivel local, tanto espacial como temporalmente.

 

a) Efecto temporal estructurado ; y b) Efecto no estructurado .

Figura 3. Moda a posteriori e intervalo de credibilidad de la tendencia temporal para los eventos de focos de calor en Oaxaca, México.

 

Las proyecciones de Senande-Rivera et al. (2022) apuntan a que el área global susceptible de experimentar incendios frecuentes podría incrementarse en 29 % (25 % en las zonas templadas) a finales del siglo XXI. Un efecto del aumento en la incidencia de incendios forestales en el futuro, sería una mayor pérdida de cobertura en zonas boscosas que alteraría los procesos hidrológicos (Ruíz-García et al., 2022), además de tener impactos sociales y ambientales. Por otra parte, el término del efecto no estructurado (Figura 3b) presentó cierta fluctuación en torno a uno como se esperaba, debido a que representa la variación temporal (residual) no explicada por el modelo.

Las probabilidades de excedencia se representan en las figuras 4a-4d. Las probabilidades de excedencia corresponden a la probabilidad de que la tasa relativa de que en cierta celda  sea más alta que el valor , matemáticamente . Se observa que casi la mitad del estado tiene una probabilidad de excedencia superior a 0.75 (75 % de probabilidades) de presentar al menos dos eventos de focos de calor en un año (Figura 4a). En los casos más extremos, pocas celdas en el Istmo de Tehuantepec registraron por lo menos una probabilidad de 0.75 de exceder 12 eventos por año (Figura 4d).

 

 

a) Para ; en b) para ; en c) para ; y en d) para .

Figura 4. Probabilidad de excedencia , para la tasa relativa de eventos de focos de calor en Oaxaca, México.

 

En la Figura 5 se representa la moda a posteriori para la interacción espacio-temporal en la escala original; es decir, . Cuando , implica que los registros de eventos de focos de calor de la celda  en el año  fueron superiores al promedio (). Por otra parte, cuando , los registros de focos de calor fueron menores que el promedio.

Figura 5. Moda a posteriori de la interacción espacio-temporal .

 

A través de los años, las celdas naranja y rojas (con valores altos de ) cubren año con año la mayoría de la superficie del estado. El incremento en el número de celdas naranja y rojas es pequeño, pero perceptible y concuerda con la tendencia temporal principal que se observa en la Figura 3a; es decir, el número de eventos está aumentando en espacio y en tiempo, lo cual es una señal de alarma que exige adoptar políticas de manejo de incendios más eficientes, tanto a los gobiernos locales como al federal; de modo que en Oaxaca, se reduzca y mitigue el impacto de los regímenes alterados de incendios.

 

 

 

Conclusión

 

 

Se realiza un análisis espacio-temporal de los eventos de focos de calor registrados en el estado de Oaxaca en los últimos 19 años mediante datos del sensor MODIS, con el propósito de investigar si los incendios forestales ocurren en forma dispersa, o si se forman agrupamientos. Los resultados evidencian que las variables ambientales como la temperatura media del cuatrimestre más seco, los valores promedio del Índice de Vegetación Mejorada, velocidad media del viento, y la incidencia de la Oscilación del Sur El Niño, explican algunas de las variaciones espaciales observadas en los eventos de focos de calor. De acuerdo al componente espacial del modelo estadístico empleado, los focos de calor forman agrupamientos, sobre todo a lo largo de la Sierra Juárez y hasta el Istmo de Tehuantepec, pero también a lo largo de toda la Sierra del Sur (hacia la costa del estado). A partir del análisis, se identifica una señal de alarma: el término temporal muestra una tendencia no lineal que se ha incrementado en 42.2 % en el periodo analizado, lo que altera aún más los regímenes de incendios. El parámetro de las interacciones espacio-temporales también confirma esa tendencia, y demuestra que el número de eventos está incrementándose en el espacio y el tiempo. De continuar el aumento, en las próximas décadas cientos de hectáreas de bosque y su biodiversidad estarán amenazadas; ello incluirá las actividades económicas y la salud de las personas que viven tanto en áreas rurales, como urbanas.

Este trabajo puede ser un punto de partida para investigaciones posteriores encaminadas a entender mejor la distribución espacial y temporal de los incendios forestales y los regímenes alterados en Oaxaca. La identificación de los principales agrupamientos permitirá a la Conafor diseñar una mejor logística para actuar de manera oportuna, y así reducir los impactos ambientales y socioeconómicos de los incendios forestales, además de optimizar los recursos económicos y técnicos que se requieren para combatir los incendios.

La probabilidad de excedencia revela algunas regiones muy locales en las que se espera un número alto de eventos por año (>4 en un año), por lo que sería interesante responder desde un punto de vista causal por qué ocurre esto, así como diseñar acciones de mitigación eficaces. La tendencia temporal creciente puede revertirse de muchas maneras, como la concientización mediante campañas completas y bien planeadas que se centren en las poblaciones rurales que más interactúan con el bosque. También se requiere proporcionar a los agricultores capacitación técnica para cambiar a prácticas agrícolas que conlleven un menor riesgo de provocar incendios forestales. La explotación ilegal de los bosques y el cambio de uso del suelo se neutralizan eficazmente a partir de la generación del desarrollo rural a través de actividades rentables como el ecoturismo, la agroforestería, la incorporación de las comunidades rurales en los programas de pago por servicios ambientales, entre otros.

Desde un punto de vista estadístico, en el futuro se propone ampliar el análisis mediante la incorporación de otras variables ambientales, además de las de tipo socioeconómico para cuantificar indirectamente los efectos antropogénicos de la pobreza y de la desigualdad social en el riesgo de incendios forestales y de la alteración de sus regímenes.

 

Agradecimientos

 

Agradecemos el apoyo brindado por el Colegio de Postgraduados Campus Montecillo en el financiamiento de la publicación de este artículo.

 

Conflicto de interés

 

Los autores declaran que no tienen conflicto de interés.

 

Contribución por autor

 

Bartolo de Jesús Villar-Hernández: idea original, acceso y depuración de los conjuntos de datos, codificación y ajuste del modelo y redacción del manuscrito; Sergio Pérez-Elizalde, Dante Arturo Rodríguez-Trejo, Paulino Pérez-Rodríguez: revisión y discusión del manuscrito.

 

 

Referencias

 

Antonio, X. and E. A. Ellis. 2015. Forest fires and climate correlation in Mexico State: A report based on MODIS. Advances in Remote Sensing 4(4):280-286. Doi: 10.4236/ars.2015.44023.

Avila-Flores, D., M. Pompa-Garcia, X. Antonio-Nemiga, D. A. Rodriguez-Trejo, E. Vargas-Perez and J. Santillan-Perez. 2010. Driving factors for forest fire occurrence in Durango State of Mexico: A geospatial perspective. Chinese Geographical Science 20(6):491–497. Doi: 10.1007/s11769-010-0437-x.  

Banerjee, S., B. P. Carlin and A. E. Gelfand. 2015. Hierarchical modeling and analysis for spatial data. Chapman and Hall/CRC Press. Boca Raton, FL, USA. 584 p.

Besag, J. 1974. Spatial interaction and the statistical analysis of Lattice Systems. Journal of the Royal Statistical Society, Series B (Methodological) 36(2):192–236. https://www.jstor.org/stable/2984812. (April 2, 2020).

Blangiardo, M. and M. Cameletti. 2015. Spatial and Spatio-temporal Bayesian Models with R–INLA. John Wiley & Sons. Ltd. Chichester, WS, United Kingdom. 320 p.

Boadi, C., S. K. Harvey and A. Gyeke-dako. 2015. Modelling of fire count data: fire disaster risk in Ghana. SpringerPlus 4:794. Doi: 10.1186/s40064-015-1585-3.

Bravo-Cabrera, J. L., E. Azpra-Romero, V. Zarraluqui-Such and C. Gay-García. 2017. Effects of El Niño in Mexico during rainy and dry seasons: an extended treatment. Atmósfera 30(3):221-232. Doi: 10.20937/ATM.2017.30.03.03.

Burton, C., R. A. Betts, C. D. Jones, T. R. Feldpausch, M. Cardoso and L. O. Anderson. 2020. El Niño driven changes in global fire 2015/16. Frontiers in Earth Science 8(199):1-12. Doi: 10.3389/feart.2020.00199.

Chen, L., K. Verrall and S. Tong. 2006. Air particulate pollution due to bushfires and respiratory hospital admissions in Brisbane, Australia. International Journal of Environmental Health Research 16(3):181-191. Doi: 10.1080/09603120600641334.

Chuvieco, E. 2008. Earth observation of global change: The role of satellite remote sensing in monitoring the global environment. Springer. Dordrecht, ZH, The Netherlands. 223 p.

Comisión Nacional Forestal (Conafor). 2020. Cierre 2019, Reporte de Resultados de Incendios Forestales. Comisión Nacional Forestal y Secretaria de Medio Ambiente y Recursos Naturales (Semarnat). Zapopan, Jal., México. 18 p. https://www.gob.mx/cms/uploads/attachment/file/522446/Cierre_de_la_Temporada_2019.pdf. (May 5, 2021).

Comisión Nacional para el Conocimiento y Uso de la Biodiversidad (Conabio). 2020. Geoportal de Conabio: Sistema Nacional de Información Sobre Biodiversidad. http://geoportal.conabio.gob.mx/. (February 17, 2021).

Costafreda A., S. 2017. Spatio-temporal analysis of human-caused fire occurrence patterns in Spain. Ph. D. Thesis. Departament d'Enginyeria Agroforestal, Universitat de Lleida. Lleida, CT, Spain. 150 p. http://www.tdx.cat/handle/10803/400822. (March 31, 2020).

Cruz N., X., L. Villers R. and C. Gay G. 2014. Black carbon and organic carbon emissions from wildfires in Mexico. Atmósfera 27(2):165-172. Doi: 10.1016/S0187-6236(14)71107-5.

Dennekamp, M. and M. J. Abramson. 2011. The effects of bushfire smoke on respiratory health. Respirology 16(2):198-209. Doi: 10.1111/j.1440-1843.2010.01868.x.

Doerr, S. H. and C. Santín. 2016. Global trends in wildfire and its impacts: perceptions versus realities in a changing world. Philosophical Transactions of the Royal Society B Biological Sciences 371(1696):20150345. Doi: 10.1098/rstb.2015.0345.

Fick, S. E. and R. J. Hijmans. 2017. Worldclim 2: New 1-km spatial resolution climate surfaces for global land areas. International Journal of Climatology. http://www.worldclim.com/version2. (January 1, 2021).

Galván, L. and V. Magaña. 2020. Forest fires in Mexico: an approach to estimate fire probabilities. International Journal of Wildland Fire 29(9):753-763. Doi: 10.1071/WF19057.

Hirschberger, P. 2016. Forests ablaze: Causes and effects of global forest fires. WWF Deutschland. Berlin, DM, Germany. 107 p. https://www.wwf.de/fileadmin/fm-wwf/Publikationen-PDF/WWF-Study-Forests-Ablaze.pdf. (May 24, 2022).

Ibarra-Montoya, J. L. y F. M. Huerta-Martínez. 2016. Modelado espacial de incendios: una herramienta predictiva para el Bosque La Primavera, Jalisco México. Revista Ambiente & Água An Interdisciplinary Journal of Applied Science 11(1):35-49. Doi: 10.4136/ambi-agua.1536.

Miranda, F. 2015. La Vegetación de Chiapas. Tomo 1. Universidad de Ciencias y Artes de Chiapas. Tuxtla Gutiérrez, Chis., México. 156 p.

Monjarás-Vega, N. A., C. I. Briones-Herrera, D. J. Vega-Nieva, E. Calleros-Flores, … and W. M. Jolly. 2020. Predicting forest fire kernel density at multiple scales with geographically weighted regression in Mexico. Science of the Total Environment 718(4):137313. Doi: 10.1016/j.scitotenv.2020.137313.

Müller, D., S. Suess, A. A. Hoffmann and G. Buchholz. 2013. The value of satellite-based active fire data for monitoring, reporting and verification of REDD+ in the Lao PDR. Human Ecology 41(1):7–20. Doi: 10.1007/s10745-013-9565-0.

Nasi, R., R. Dennis, E. Meijaard, G. Applegate and P. Moore. 2002. Forest fire and biological diversity. Unasylva: An International Journal of Forestry and Forest Industries 53(209):36-40. https://www.researchgate.net/publication/232660153_Forest_fire_and_biological_diversity. (May 24, 2022).

National Aeronautics and Space Administration (NASA). 2020a. Application for Extracting and Exploring Analysis Ready Samples (AppEEARS). https://appeears.earthdatacloud.nasa.gov/. (May 24, 2020).

National Aeronautics and Space Administration (NASA). 2020b. EarthData. https://urs.earthdata.nasa.gov. (November 20, 2020).

National Aeronautics and Space Administration (NASA). 2020c. FIRMS Fire Information for Resource Management System. https://firms.modaps.eosdis.nasa.gov. (December 12, 2020).

Oviedo, G. 2002. The Community Protected Natural Areas in the State of Oaxaca, Mexico. WWF-Gland. Zuerich, ZH, Switzerland. 36 p. http://awsassets.panda.org/downloads/02_community_protected_areas_oaxaca.pdf. (June 12, 2021).

Perez-Verdin, G., M. A. Marquez-Linares and M. Salmeron-Macias. 2014. Spatial heterogeneity of factors influencing forest fires size in northern Mexico. Journal of Forestry Research 25(2):291-300. Doi: 10.1007/s11676-014-0460-3.

Pompa-García, M., J. J. Camarero, D. A. Rodríguez-Trejo and D. J. Vega-Nieva. 2018. Drought and spatiotemporal variability of forest fires across Mexico. Chinese Geographical Science 28(1):25–37. Doi: 10.1007/s11769-017-0928-0.

R Core Team. 2019. R: A Language and Environment for Statistical Computing (v. 3.6.1). The R Foundation for Statistical Computing. Vienna, Austria. https://www.R-project.org/. (June, 2020).

Rodríguez T., D. A. 2014. Incendios de Vegetación. Su ecología, manejo e historia. Vol. 1. Colegio de Postgraduados. Guadalajara, Jal., México. 891 p.

Rodríguez T., D. A., P. Martínez M. y P. J. Martínez L. 2019. Efectos del fuego en el arbolado de un bosque tropical de pino y en el de una selva baja caducifolia en Villaflores, Chiapas. Ciencia Florestal 29(3):1033–1047. Doi: 10.5902/1980509833952.

Rue, H., S. Martino and N. Chopin. 2009. Approximate Bayesian inference for latent Gaussian models by using integrated nested Laplace approximations. Journal of the Royal Statistical Society. Series B Statistical Methodology 71(2):319-392. Doi: 10.1111/j.1467-9868.2008.00700.x.

Ruíz-García, V. H., M. A. Borja-de la Rosa, J. D. Gómez-Díaz, C. Asensio-Grima, M. Matías-Ramos and A. I. Monterroso-Rivas. 2022. Forest fires, land use changes and their impact on hydrological balance in temperate forest of Central Mexico. Water 14(3):383-402. Doi: 10.3390/w14030383.

Scott, A. C., D. M. J. S. Bowman, W. J. Bond, S. J. Pyne and M. E. Alexander. 2014. Fire on Earth: An Introduction. Wiley Blackwell. Chichester, WS, United Kingdom. 434 p.

Senande-Rivera, M., D. Insua-Costa and G. Miguez-Macho. 2022. Spatial and temporal expansion of global wildland fire activity in response to climate change. Nature Communications 13:1208-1216. Doi: 10.1038/s41467-022-28835-2.

Shlisky, A., J. Waugh, P. Gonzales, M. Gonzalez, … and W. Fulks. 2007. Fire, Ecosystems and People: Threats and strategies for global biodiversity conservation. GFI Technical Report 2007-2. The Nature Conservancy. Arlington, VA, USA. 26 p. https://www.conservationgateway.org/Files/Documents/fire_ecosystems_and_people.pdf. (January 17, 2020).

Zúñiga-Vásquez, J. M. and M. Pompa-García. 2019. The occurrence of forest fires in Mexico presents an altitudinal tendency: a geospatial analysis. 10.1007/s11069-018-3537-z.

Zúñiga-Vásquez, J. M., D. Cisneros-González, M. Pompa-García, D. A. Rodríguez-Trejo and G. Pérez-Verdín. 2017. Spatial modeling of forest fires in Mexico: an integration of two data sources. Bosques 38(3):563-574. Doi: 10.4067/S0717-92002017000300014.

 

 

 

        

Todos los textos publicados por la Revista Mexicana de Ciencias Forestales sin excepción– se distribuyen amparados bajo la licencia Creative Commons 4.0 Atribución-No Comercial (CC BY-NC 4.0 Internacional), que permite a terceros utilizar lo publicado siempre que mencionen la autoría del trabajo y a la primera publicación en esta revista.