Revista Mexicana de Ciencias Forestales Vol. 13 (74)

Noviembre – Diciembre (2022)

Logotipo, nombre de la empresa

Descripción generada automáticamente

DOI: https://doi.org/10.29298/rmcf.v13i74.1273

Article

 

Diversidad e importancia ecológica de la vegetación arbórea en el Parque El Tecuán, Durango, México

Diversity and ecological importance of tree vegetation at El Tecuan Park in the state of Durango, Mexico

 

Pablito Marcelo López Serrano1, Daniel José Vega Nieva2, José Javier Corral Rivas2, Jaime Briseño Reyes2*, Pablo Antúnez3

 

Fecha de recepción/Reception date: 6 Mayo de 2022

Fecha de aceptación/Acceptance date: 8 de septiembre de 2022

_______________________________

1Instituto de Silvicultura e Industria de la Madera, Universidad Juárez del Estado de Durango. México.

2Facultad de Ciencias Forestales y Ambientales, Universidad Juárez del Estado de Durango. México.

3Instituto de Estudios Ambientales, Universidad de la Sierra Juárez. México.

 

*Autor para correspondencia; correo-e: jaime.briseno@gmail.com

*Corresponding author; e-mail: jaime.briseno@gmail.com

 

Abstract

Protected natural areas seek the conservation of biodiversity. The objective of this study was to describe the tree species diversity and its ecological importance in the El Tecuan Ecological Park in Durango, Mexico. A systematic stratified sampling was carried out with 168 circular sites of 1 000 m2 each, distributed in 511.16 hectares of the Park, which means a sampling intensity of 3.2 %. At each site, all individuals with a greater or equal to 7.5 cm DBH were measured. The diversity of tree species was estimated with the Shannon index, while the ecological importance of the species was described with the parameters relative abundance based on the density or number of trees per hectare, relative dominance according to the basal area, relative frequency and the value of ecological importance (VIE). Results showed the presence of four genera: Arbutus (Ericaceae), Juniperus (Cupressaceae), Pinus (Pinacea) and Quercus (Fagacea). The Shannon index was 1.89, suggesting mid to high tree species diversity. The observed growing stock was 153.73 m3 ha-1 and the dominant diameter and height classes were 10 cm and 5 m, respectively. The Pinus genus had greater richness with nine species, of which P. cooperi recorded the highest density values (32.15 %), dominance (37.77 %) and of ecological importance (28.23 %), however, Quercus sideroxyla registered the highest relative frequency (18 %). The results here described will allow the development of sustainability actions for the conservation of tree species diversity in the study area.

Key words: Basimetric area, protected natural area, density, dominance, frequency, ecological importance value.

Resumen

El objetivo de las áreas naturales protegidas es la conservación de la biodiversidad. En el presente estudio se describe la diversidad de especies arbóreas y su importancia ecológica en el Parque Ecológico El Tecuán, Durango, México. Se realizó un muestreo sistemático estratificado con 168 sitios circulares de 1 000 m2, distribuidos en 511.16 hectáreas del Parque, con una intensidad de muestreo de 3.2 %. En cada sitio se midieron todos los individuos con diámetro normal superior o igual a 7.5 cm. La diversidad de especies arbórea se estimó con el Índice de Shannon, la importancia ecológica de las especies se describió con los parámetros abundancia relativa basada en la densidad o número de árboles por hectárea, dominancia relativa de acuerdo con el área basal, frecuencia relativa y el Valor de Importancia Ecológica (VIE). Los resultados mostraron la presencia de cuatro géneros: Arbutus (Ericaceae), Juniperus (Cupressaceae), Pinus (Pinacea)y Quercus (Fagacea). El Índice de Shannon fue de 1.89, que sugiere una diversidad arbórea de media a alta. Las existencias reales registradas fueron de 153.73 m3 ha-1 y las clases de diámetro y de altura dominantes de 10 cm y 5 m, respectivamente. El género Pinus tuvo la mayor riqueza de especies (nueve); de ellas, P. cooperi presentó los valores más altos de densidad (32.15 %), dominancia (37.77 %) y VIE (28.23 %); sin embargo, Quercus sideroxyla registró la mayor frecuencia relativa (18 %). Los resultados permitirán desarrollar acciones de sustentabilidad para la conservación de la diversidad arbórea del área de estudio.

Palabras clave: Área basal, área natural protegida, densidad, dominancia, frecuencia, valor de importancia ecológica.

 

  

Introduction

 

 

Describing the composition, diversity and structure of a forest ecosystem allows to establish strategies for the conservation of biodiversity. Thus, it is necessary to describe the diversity of species and structural aspects through quantitative indexes (Suárez and Vischi, 1997; Wehenkel et al., 2014; Herrera-Paniagua et al., 2018). The study of tree richness and diversity and structural ecological parameters of species such as density, dominance, frequency and importance value, are criteria to assess their behavior in the face of possible natural or anthropogenic disturbances (Graciano-Ávila et al., 2017; Hernández-Salas et al., 2018; Silva-García et al., 2021).

One of the traditional methods for describing the richness, diversity, structure and value of importance of tree species is the forest inventory. This procedure leads to the collection of vegetation information necessary to achieve this purpose (Álvarez et al., 2004; Delgado et al., 2016).

In recent decades, Protected Natural Areas PNAs (ANP, for its acronym in spanish) have emerged as an environmental policy instrument to conserve the biological diversity of a given area (Cantú et al., 2004). However, conservation strategies require, in the first instance, a description of tree richness and diversity, and the estimation of elements that characterize forest structure (Herrera-Salas et al., 2018). Mexico currently has 185 PNAs (Conanp, 2022), and new proposals have been made to increase this number, such as the assessment of the ecosystem services they offer to address climate change, mitigate forest deterioration and promote the conservation of resources natural (Bertzky et al., 2012; Oceguera-Salazar et al., 2016).

In the state of Durango, there are officially six PNAs and their area adds up to a total of 353 229 ha, equivalent to 2.9 % of the national territory; three are of federal jurisdiction and three of state scope (Rentería et al., 2011). Within the latter, the El Tecuán Ecological Park is located under the administration of the Ministry of Natural Resources and the Environment of the Government of the State of Durango (SRNyMA). This Park represents offers the possibility to carry out actions for the conservation of ecological processes and ecosystem services through the promotion and analysis of knowledge of its natural resources (POGED, 2018). Thus, the objective of this study was to describe the diversity of tree species and their ecological importance in the El Tecuán Ecological Park in the state of Durango, Mexico.

 

 

Materials and Methods

 

 

El Tecuán Ecological Park is located in the Sierra Madre Occidental, southwest of the state of Durango (Figure 1), 57 km from the city of the same name, on Federal Highway No. 40 in its Durango-El Salto section; it comprises 894.57 ha.

 

Figure 1. Locatión of El Tecuán Ecological Park.

 

The type of climate according to the Köppen classification modified by García (2001), is temperate with summer rains (Cw). The average annual temperature is 13.9 °C. Is the prevailing soil type in the area (INEGI, 2016).

  

 

Vegetation sampling

 

 

An inventory was carried out with the support of the Forest Planning System for Temperate Forests (SiPlaFor; http://siplafor.cnf.gob.mx), designed to support the decision-making process in the preparation and execution of forest management programs sustainability in the temperate forests of Mexico. The Park's road surface was generated by means of a multi-resolution segmentation with homogeneous objects in a satellite image of the Sentinel 2A sensor (USGS - https://glovis.usgs.gov – ID: 13QDG) from the year 2017, to then design and define the sample size over the sub-stands or strata.

A stratified systematic sampling was used with 168 circular sites of 1 000 m2, reaching a 3.28 % sampling intensity of the area classified as protected forest, which covers 511.16 ha. The rest of the Park area (383.41 ha) was excluded from the sampling as it is classified as grasslands, roads, bodies of water and buildings (cabins) (Figure 2). At each sampling site, for all individuals with a diameter at breast height (DBH, 1.30 m) greater than or equal to 7.5 cm, the scientific name, the diameter at breast height (cm) measured with a Mantax Haglöf Blue caliper were recorded, and the total height (m) measured with a IV Vertex Haglöf hypsometer.

 

Figure 2. Stand area calculation and sampling sites of El Tecuán Ecological Park.

 

  

Diversity and importance value

 

 

To describe the diversity of tree species and their ecological importance, the following variables were calculated from the mensuration information recorded at the sampling sites.

Tree diversity was quantified with the Shannon index (Hi), one of the most used measures that reflects the diversity of species, and whose expression, according to Gadow (1993), is as follows:

 

    

 

Where:

pi = Proportional abundance of the ith species

ln = Base 10 natural logarithm

 

The Shannon index commonly fluctuates between 0.5 and 5. A high value expresses a greater number of species.

The value of ecological importance (VIE) of the tree species, was estimated from the relative abundance based on the density or number of trees, the relative dominance according to the Basimetric Area (AB) value, and the relative frequency based on of the presence of species in the sampling sites. These variables were estimated with the following expressions (Franco et al., 1989):

 

    

     

 

    

Where:

NAi = Number of trees of the i species

NAT = Number of trees of the present species

ABi = Basimetric area of the i species

ABT= Basimetric area of all the species

Fi = Number of sampling sites in which the i species is present

Ft = Total number of sampling sites

 

 

Results and Discussion

 

 

In total, 354 trees per hectare belonging to 18 species, four families (Ericaceae, Cupressaceae, Pinaceae and Fagaceae) and four genera (Arbutus, Juniperus, Pinus and Quercus) were recorded. The genus Pinus had the highest richness with nine species, and in contrast, Arbutus xalapensis Kunth was the only recorded species of the genus. Table 1 lists the species recorded at the sampling sites.

 

 

Table 1. Composition of tree species present in the El Tecuán Ecological Park.

Family

Genus

Scientific name

Common name

Ericaceae

Arbutus

Arbutus xalapensis Kunth

Madroño

Cupressaceae

Juniperus

Juniperus deppeana Steud.

Táscate

Pinaceae

Pinus

Pinus teocote Schltdl. & Cham.

Ocote pine

Pinus engelmannii Carrière

Royal pine

Pinus cooperi C. E. Blanco

Chinese pine

Pinus durangensis Martínez

Scorrel pine

Pinus leiophylla Schiede ex Schltdl. & Cham.

Dark-colored pine

Pinus arizonica Engelm.

White pine

Pinus strobiformis Engelm.

Cahuite

Pinus maximinoi H. E. Moore

Ocote

Pinus oocarpa Schiede ex Schltdl.

Trompillo pine

Fagaceae

Quercus

Quercus sideroxyla Bonpl.

Short oak

Quercus laeta Liebm.

White oak

Quercus rugosa Née

Dark-colored oak

Quercus durifolia Seemen

Laurillo oak

Quercus crassifolia Bonpl.

Red oak

Quercus grisea Liebm.

Grey oak

Quercus eduardi Trel.

White oak

 

The estimated species diversity with the Shannon index was 1.89, which suggests that species diversity in the study area is medium to high. This index is higher than that of Méndez et al. (2018) who observed a richness of five species and an index of 0.78 in a similar forest in the Sierra Madre del Sur. Likewise, Graciano-Ávila et al. (2017) recorded a Shannon index of 1.81 and a richness of 13 species in a mixed pine-oak forest under management for the El Salto region in the state of Durango. The greater species richness and the similarity between the diversity value of this study and the value reported by Graciano-Ávila et al. (2017) could be attributed, among other reasons, to the fact that the park's forest, despite being located in an area with less forest potential, is protected from timber harvesting, extensive livestock farming and different anthropogenic activities that could affect the diversity of species.

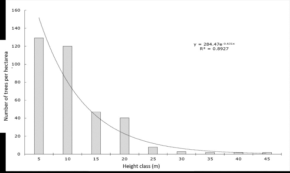
Figure 3 shows the distribution of the number of trees per hectare and by category of diameter and height. It is observed that in both variables the distributions fit an inverted-J or negative exponential type. This type is frequently observed in forests under an irregular management scheme, as is the case of the mixed and irregular forests of the Sierra Madre Occidental (Návar-Cháidez y González-Elizondo et al., 2009). Likewise, they have been described in many forests in protected status throughout the world. For this reason, it is considered as the structure that represents the ideal number of trees per diameter class for a given basal area, and, therefore, it is used as a reference when developing forest management methods with selective felling or continuous cutting cover (Buongiorno and Michie, 1980).

 

 

Figure 3. Distributions of diameter (top) and height (bottom) per hectare of trees studied in El Tecuán Ecological Park.

 

The greatest number of trees accumulates in the diameter classes of 10 and 15 cm (80 and 76 trees ha-1, respectively) and the number of individuals decreases as the diameter size increases. The foregoing results mainly from natural mortality events in this type of individuals, since commercial exploitation is not allowed in the Park.

These results agree with those of Hernández-Salas et al. (2013), who evaluated the composition and diversity of species in temperate forests under exploitation in the state of Chihuahua, in a similar way, they recorded the highest densities for the smaller diameter classes, a finding attributable to the effect of timber use of trees in stages of maturity.

According to the results in Table 2, Pinus cooperi C. E. Blanco was the species with the highest density (32.15 % and 112 trees ha-1) and relative dominance (37.77 % and 6.15 m2 ha-1). This species has been recorded as the most abundant in studies of temperate climate forests in the state of Durango (Návar-Cháidez and González-Elizondo, 2009; Valenzuela and Granados, 2009; Graciano-Ávila et al., 2017). The genus with the highest density and dominance in the Park was Pinus with a density of 204 trees per hectare (57.60 % relative density) and a basal area of 11.33 m2 ha-1 (69.56 % relative dominance). This result coincides with previous studies in which the Pinus genus has been recorded as the most abundant and dominant in temperate forests of the country (Hernández-Salas et al., 2013; Delgado et al., 2016; Humano, 2020). 

 

Table 2. Ecological and structural variables calculated for the species present in El Tecuán Ecological Park.

Species

Density

Dominance (AB)

Frecuency

VIE

N ha-1

%

m2 ha-1

%

Fi

%

Pinus cooperi C. E. Blanco

112

32.15

6.15

37.77

98

14.95

28.29

Quercus sideroxyla Bonpl.

91

25.96

3.43

21.08

123

18

21.68

Pinus teocote Schltdl. & Cham.

57

16.44

2.91

17.87

106

15.53

16.61

Pinus leiophylla Schiede ex Schltdl. & Cham.

24

7

1.94

11.91

55

7.98

8.96

Arbutus xalapensis Kunth

15

4.4

0.27

1.66

77

12.63

6.23

Quercus crassifolia Bonpl.

12

3.56

0.31

1.88

53

5.08

3.76

Quercus laeta Liebm.

12

3.51

0.33

2.05

35

4.79

3.51

Juniperus depeana Steud.

8

2.25

0.22

1.33

33

7.69

3.45

Quercus durifolia Seemen

8

2.21

0.36

2.24

29

4.21

2.89

Pinus durangensis Martínez

5

1.33

0.22

1.33

26

3.77

2.14

Pinus engelmannii Carrière

2

0.51

0.09

0.53

17

2.47

1.17

Quercus rugosa Née

1

0.34

0.02

0.11

6

0.87

0.44

Quercus grisea Liebm.

1

0.15

0.01

0.07

4

0.58

0.27

Pinus strobiformis Engelm.

1

0.09

0.02

0.1

3

0.58

0.26

Pinus arizonica Engelm.

1

0.03

0.002

0.01

2

0.29

0.11

Pinus oocarpa Schiede ex Schltdl.

1

0.03

0.001

0.01

2

0.29

0.11

Pinus maximinoi H. E. Moore

1

0.02

0.005

0.03

1

0.15

0.07

Quercus eduardii Trel.

1

0.02

0.001

0.01

1

0.15

0.06

Total

354

100

16.28

100

100

100

Fi = Number of sites where the i species appeared; VIE = Ecological importance value.

 

In spite of the high density of the Pinus genus, Quercus sideroxyla Bonpl. was the most frequent species (18 % of the relative frequency), since it was recorded in 123 of the 168 sampling units, while Pinus maximinoi H. E. Moore and Quercus eduardii Trel. were the least frequent with relative frequency values of 0.15 % (Table 2). This result agrees with that obtained by García et al. (2019) who analyzed the diversity and vertical structure of unmanaged coniferous forests in Chihuahua, Mexico, also reporting the highest densities and frequencies for Pinus and Q. sideroxyla.

Pinus cooperi recorded the highest ecological importance value (28.23 %), followed by Q. sideroxyla (21.68 %). On the contrary, the species with the lowest importance values were P. maximinoi and Q. eduardii with 0.07 % and 0.06 %, respectively (Table 2 and Figure 4). The Pinus genus stood out for the highest VIE with 57.73 %, followed by the Quercus genus with 32.29 %, Arbutus (6.22 %) and Juniperus (3.76 %). These results coincide with those obtained by Hernández-Salas et al. (2013), who referred to two Pinus species with the highest values of ecological importance, followed by Quercus species, in a study carried out in the El Largo y Anexos ejido, Madera municipality, in Chihuahua State, Mexico.

 

Figure 4. Estimation of the abundance, dominance, frequency and value of ecological importance for the tree species recorded in El Tecuán Ecological Park.

 

 

Conclusions

 

 

In El Tecuán Ecological Park, the Pinus genus predominates (with nine species), followed by Quercus (with seven species). The diversity of tree species described through the Shannon index is considered to be between medium and high. Pinus cooperi is the species with the highest density, relative dominance (AB) and ecological importance values. The results obtained from this study can be useful as a baseline to assess possible changes in the diversity and tree structure of the Park over time, and by having its forest in protected status, they also represent scientifically based information to develop key indicators of sustainability for the conservation of timber species in other forests subject to logging.

 

Acknowledgements

 

The authors thank the Secretaría de Recursos Naturales y Medio Ambiente del Estado de Durango (SRNyMA) (Ministry of Natural Resources and Environment (SRNyMA) of the State of Durango) for the financing within the framework of the collaboration agreement (SRNYMA/SMA/010/2017) for the elaboration of the Management Plan of the Ecological Park El Tecuan Protected Natural Area.

 

Conflict of interests

 

The authors declare no conflict of interest.

 

Contribution by author

 

Pablito Marcelo López Serrano: field data analysis and writing of the manuscript; Daniel José Vega Nieva: support in data analysis; José Javier Corral Rivas: review of the manuscript and support in data analysis; Jaime Briseño Reyes and Pablo Antúnez: writing and reviewing of the manuscript.

 

References

Álvarez, M., S. Córdoba, F. Escobar, G. Fagua, … y H. Villareal. 2004. Manual de métodos para el desarrollo de inventarios de biodiversidad. Instituto de Investigación de Recursos Biológicos Alexander von Humboldt. Bogotá, CUN, Colombia. 236 p. http://repository.humboldt.org.co/bitstream/handle/20.500.11761/31419/63.pdf (13 de abril de 2022).

Bertzky, B., C. Corrigan, J. Kemsey, S. Kenney, … and N. Burgess. 2012. Protected Planet Report 2012: Tracking progress towards global targets for protected areas. United Nations Environment Programme World Conservation Monitoring Centre (UNEP-WCMC). Cambridge, CBS, United Kingdom. 60 p.

Buongiorno, J. and B. R. Michie. 1980. A matrix model of uneven-aged forest management. Forest Science 26(4):609-625. https://academic.oup.com/forestscience/article-abstract/26/4/609/4656453. (13 de abril de 2022).

Cantú, C., R. G. Wright, J. M. Scott and E. Strand. 2004. Assessment of current and proposed nature reserves of Mexico based on their capacity to protect geophysical features and biodiversity. Biological Conservation 115(3):411-417. Doi: 10.1016/S0006-3207(03)00158-7.

Comisión Nacional de Áreas Naturales Protegidas (Conanp). 2022. Áreas naturales Protegidas. https://www.gob.mx/conanp/documentos/areas-naturales-protegidas-278226?idiom=es. (27 de julio de 2022).

Delgado Z., D. A., S. A. Heynes S., M. D. Mares Q., N. L. Piedra L., … y L. Ruacho-González. 2016. Diversidad y estructura arbórea de dos rodales en Pueblo Nuevo, Durango. Revista Mexicana de Ciencias Forestales 7(33):94-107. Doi: 10.29298/rmcf.v7i33.92.

Franco, J., A. Rocha, N. Navarrete, G. Flores, … y C. Bedla. 1989. Manual de Ecología. Trillas. México, D. F., México. 96 p.

Gadow, K. V. 1993. Zur Bestandesbeschreibung in der Forsteinrichtung. Forst und Holz 21(10):602-606. https://www.researchgate.net/profile/Klaus-Gadow/publication/284482761_Zur_Bestandesbeschreibung_in_der_Forsteinrichtung/links/565e1f6e08aeafc2aac8d6dc/Zur-Bestandesbeschreibung-in-der-Forsteinrichtung.pdf. (27 de julio de 2022).

García, E. 2001. Climas (clasificación de Köppen, modificado por García) Escala 1: 1 000 000. Comisión Nacional para el Conocimiento y Uso de la Biodiversidad (Conabio). Tlalpan, D. F., México. http://geoportal.conabio.gob.mx/metadatos/doc/html/clima1mgw.html. (14 de abril de 2022).

García G., S. A., R. Narváez F., J. M. Olivas G. y J. Hernández S. 2019. Diversidad y estructura vertical del bosque de pino–encino en Guadalupe y Calvo, Chihuahua. Revista Mexicana de Ciencias Forestales 10(53):41-63. Doi: 10.29298/rmcf.v10i53.173.

Graciano-Ávila, G., E. Alanís-Rodríguez, O. A. Aguirre-Calderón, M. A. González-Tagle, … y A. Mora-Olivo. 2017. Caracterización estructural del arbolado en un ejido forestal del noroeste de México. Madera y Bosques 23(3):137-146. Doi: 10.21829/myb.2017.2331480.

Hernández-Salas, J., O. A. Aguirre-Calderón, E. Alanís-Rodríguez, J. Jiménez-Pérez, … y L. A. Domínguez-Pereda. 2013. Efecto del manejo forestal en la diversidad y composición arbórea de un bosque templado del noroeste de México. Revista Chapingo Serie Ciencias Forestales y del Ambiente 19(2):189-199. Doi: 10.5154/r.rchscfa.2012.08.052.

Hernández-Salas, J., O. A. Aguirre-Calderón, E. Alanís-Rodríguez, J. Jiménez-Pérez, … y L. A. Domínguez-Pereda. 2018. Dinámica del crecimiento de un bosque templado bajo manejo en el noroeste de México. Madera y Bosques 24(2):e2421767. Doi: https://doi.org/10.21829/myb.2018.2421767.

Herrera-Paniagua, P., M. Martínez y C. Delgadillo-Moya. 2018. Patrones de riqueza y de asociación al hábitat y microhábitat de los musgos del Área Natural Protegida Sierra de Lobos, Guanajuato, México. Revista Mexicana de Biodiversidad 89(4):1002-1011. Doi: 10.22201/ib.20078706e.2018.4.2455.

Humano, C. A. 2020. Modelado del crecimiento de especies nativas forestales de la Selva Pedemontana de Yungas, Argentina. Revista de Ciencias Forestales 28(1):5-19. https://www.redalyc.org/journal/481/48168008010/html/ (13 de abril de 2022).

Instituto Nacional de Estadística y Geografía (INEGI). 2016. Conjunto de Datos vectoriales de uso del suelo y vegetación. Escala 1:250 000, Series VI. Capa Unión.https://www.inegi.org.mx/app/biblioteca/ficha.html?upc=889463173359#:~:text=Los%20Conjuntos%20de%20Datos%20Vectoriales,TM8%20seleccionadas%20del%20a%C3%B1o%202014. (11 de abril de 2022).

Méndez O., C., C. A. Mora D., E. Alanís R., J. Jiménez P., … y M. Á. Pequeño L. 2018. Fitodiversidad y estructura de un bosque de pino-encino en la Sierra Madre del Sur, México. Revista Mexicana de Ciencias Forestales 9(50):35-53. Doi: 10.29298/rmcf.v9i50.236.

Návar-Cháidez, J. de J. y S. González-Elizondo. 2009. Diversidad, estructura y productividad de bosques templados de Durango, México. Polibotánica (27):71-87. https://www.scielo.org.mx/scielo.php?script=sci_arttext&pid=S1405-27682009000100005. (11 de abril de 2022).

Oceguera-Salazar, K. A., L. G. Rodríguez-Sánchez, C. Lomelín-Molina, L. Ruiz-Paniagua, … y Rulfo-Méndez, A. 2016. Prontuario Estadístico y Geográfico de las Áreas Naturales Protegidas de México. Secretaría del Medio Ambiente y Recursos Naturales (Semarnat) y Comisión Nacional de Áreas Naturales Protegidas (Conanp). Miguel Hidalgo, CdMx, México. 104 p. https://agua.org.mx/wp-content/uploads/2016/03/PRONTUARIO-ANP-2015.pdf. (14 de abril de 2022).

Periódico Oficial del Gobierno del Estado de Durango (POGED). 2018. No.70. Permiso No. IM10-0008 TOMO CCXXXIII. Durango, Dgo. 2 de septiembre de 2018. http://sgdemo.durango.gob.mx/wp-content/uploads/sites/40/2019/02/70-Nor-2-de-sep-2018.pdf (12 de abril de 2022).

Rentería A., L., C. Cantú A., E. Estrada C., J. Marmolejo M. y F. González S. 2011. Representatividad de los tipos de vegetación en las áreas naturales protegidas de Durango. Revista Mexicana de Ciencias Forestales 2(3):69-82. Doi: 10.29298/rmcf.v2i3.630.

Silva-García, J. E., O. A. Aguirre-Calderón, E. Alanís-Rodríguez, E. Jurado-Ybarra, … y B. Vargas-Larreta. 2021. Estructura y diversidad de especies arbóreas en un Bosque templado del Noroeste de México. Polibotánica (52):89-102. Doi: 10.18387/polibotanica.52.7.

Suárez S. y N. Vischi. 1997. Caracterización fisonómico-estructural de vegetación serrana (Alpa Corral-Córdoba-Argentina). Multinequina 6:21-32. https://www.redalyc.org/articulo.oa?id=42800604. (15 de marzo de 2022).

Valenzuela N., L. M. y D. Granados S. 2009. Caracterización fisonómica y ordenación de la vegetación en el área de influencia de El Salto, Durango, México. Revista Chapingo Serie Ciencias Forestales y del Ambiente 15(1):29-41. https://www.scielo.org.mx/scielo.php?script=sci_arttext&pid=S2007-40182009000100004. (18 de abril de 2022).

Wehenkel, C., J. J. Corral-Rivas and K. v. Gadow. 2014. Quantifying differences between ecosystems with particular reference to selection forests in Durango/Mexico. Forest Ecology and Management 316:117-124. Doi: 10.1016/j.foreco.2013.05.056.

 

 

 

        

Todos los textos publicados por la Revista Mexicana de Ciencias Forestales sin excepción– se distribuyen amparados bajo la licencia Creative Commons 4.0 Atribución-No Comercial (CC BY-NC 4.0 Internacional), que permite a terceros utilizar lo publicado siempre que mencionen la autoría del trabajo y a la primera publicación en esta revista.