Revista Mexicana de Ciencias Forestales Vol. 13 (74)

Noviembre – Diciembre (2022)

Logotipo, nombre de la empresa

Descripción generada automáticamente

DOI: https://doi.org/10.29298/rmcf.v13i74.1273

Artículo

 

Diversidad e importancia ecológica de la vegetación arbórea en el Parque El Tecuán, Durango, México

Diversity and ecological importance of tree vegetation at El Tecuan Park in the state of Durango, Mexico

 

Pablito Marcelo López Serrano1, Daniel José Vega Nieva2, José Javier Corral Rivas2, Jaime Briseño Reyes2*, Pablo Antúnez3

 

Fecha de recepción/Reception date: 6 Mayo de 2022

Fecha de aceptación/Acceptance date: 8 de septiembre de 2022

_______________________________

1Instituto de Silvicultura e Industria de la Madera, Universidad Juárez del Estado de Durango. México.

2Facultad de Ciencias Forestales y Ambientales, Universidad Juárez del Estado de Durango. México.

3Instituto de Estudios Ambientales, Universidad de la Sierra Juárez. México.

 

*Autor para correspondencia; correo-e: jaime.briseno@gmail.com

*Corresponding author; e-mail: jaime.briseno@gmail.com

 

Resumen

El objetivo de las áreas naturales protegidas es la conservación de la biodiversidad. En el presente estudio se describe la diversidad de especies arbóreas y su importancia ecológica en el Parque Ecológico El Tecuán, Durango, México. Se realizó un muestreo sistemático estratificado con 168 sitios circulares de 1 000 m2, distribuidos en 511.16 hectáreas del Parque, con una intensidad de muestreo de 3.2 %. En cada sitio se midieron todos los individuos con diámetro normal superior o igual a 7.5 cm. La diversidad de especies arbórea se estimó con el Índice de Shannon, la importancia ecológica de las especies se describió con los parámetros abundancia relativa basada en la densidad o número de árboles por hectárea, dominancia relativa de acuerdo con el área basal, frecuencia relativa y el Valor de Importancia Ecológica (VIE). Los resultados mostraron la presencia de cuatro géneros: Arbutus (Ericaceae), Juniperus (Cupressaceae), Pinus (Pinacea)y Quercus (Fagacea). El Índice de Shannon fue de 1.89, que sugiere una diversidad arbórea de media a alta. Las existencias reales registradas fueron de 153.73 m3 ha-1 y las clases de diámetro y de altura dominantes de 10 cm y 5 m, respectivamente. El género Pinus tuvo la mayor riqueza de especies (nueve); de ellas, P. cooperi presentó los valores más altos de densidad (32.15 %), dominancia (37.77 %) y VIE (28.23 %); sin embargo, Quercus sideroxyla registró la mayor frecuencia relativa (18 %). Los resultados permitirán desarrollar acciones de sustentabilidad para la conservación de la diversidad arbórea del área de estudio.

Palabras clave: Área basal, área natural protegida, densidad, dominancia, frecuencia, valor de importancia ecológica.

Abstract

Protected natural areas seek the conservation of biodiversity. The objective of this study was to describe the tree species diversity and its ecological importance in the El Tecuan Ecological Park in Durango, Mexico. A systematic stratified sampling was carried out with 168 circular sites of 1 000 m2 each, distributed in 511.16 hectares of the Park, which means a sampling intensity of 3.2 %. At each site, all individuals with a greater or equal to 7.5 cm DBH were measured. The diversity of tree species was estimated with the Shannon index, while the ecological importance of the species was described with the parameters relative abundance based on the density or number of trees per hectare, relative dominance according to the basal area, relative frequency and the value of ecological importance (VIE). Results showed the presence of four genera: Arbutus (Ericaceae), Juniperus (Cupressaceae), Pinus (Pinacea) and Quercus (Fagacea). The Shannon index was 1.89, suggesting mid to high tree species diversity. The observed growing stock was 153.73 m3 ha-1 and the dominant diameter and height classes were 10 cm and 5 m, respectively. The Pinus genus had greater richness with nine species, of which P. cooperi recorded the highest density values (32.15 %), dominance (37.77 %) and of ecological importance (28.23 %), however, Quercus sideroxyla registered the highest relative frequency (18 %). The results here described will allow the development of sustainability actions for the conservation of tree species diversity in the study area.

Key words: Basimetric area, protected natural area, density, dominance, frequency, ecological importance value.

 

 

 

Introducción

 

 

Describir la composición, diversidad y estructura de un ecosistema forestal permite establecer estrategias para la conservación de la biodiversidad. Para ello, se requiere describir la diversidad de especies y aspectos estructurales mediante índices cuantitativos (Suárez y Vischi, 1997; Wehenkel et al., 2014; Herrera-Paniagua et al., 2018). El estudio de la riqueza y diversidad arbórea, así como de parámetros ecológicos estructurales de las especies como la densidad, dominancia, frecuencia y el valor de importancia son criterios para evaluar su comportamiento ante posibles disturbios de índole natural o antrópica (Graciano-Ávila et al., 2017; Hernández-Salas et al., 2018; Silva-García et al., 2021).

Uno de los métodos tradicionales para describir la riqueza, diversidad, estructura y el valor de importancia de las especies arbóreas es el inventario forestal. Este procedimiento implica la recolección de la información de la vegetación necesaria para lograr dicho propósito (Álvarez et al., 2004; Delgado et al., 2016).

En décadas recientes, las áreas naturales protegidas (ANP) han surgido como un instrumento de política ambiental para conservar la diversidad biológica de un área determinada (Cantú et al., 2004). Sin embargo, las estrategias de conservación requieren, en primera instancia, una descripción de la riqueza y diversidad arbórea, y de la estimación de elementos que caractericen la estructura forestal (Herrera-Salas et al., 2018). Actualmente, en México existen 185 ANP (Conanp, 2022), y se han hecho nuevas propuestas para aumentar este número, como la valoración de los servicios ecosistémicos que ofrecen para abordar el cambio climático, mitigar el deterioro forestal y propiciar la conservación de los recursos naturales (Bertzky et al., 2012; Oceguera-Salazar et al., 2016).

En el estado de Durango, oficialmente, hay seis ANP y sus superficies suman un total de 353 229 ha, equivalente a 2.9 % del territorio nacional; tres son de jurisdicción federal y tres de ámbito estatal (Rentería et al., 2011). Dentro de este último se ubica el Parque Ecológico El Tecuán, bajo la administración de la Secretaría de Recursos Naturales y Medio Ambiente del Gobierno del Estado de Durango (SRNyMA). ELParque representa un área de oportunidad para establecer acciones para la conservación de los procesos ecológicos y servicios ecosistémicos a través del fomento y análisis del conocimiento de sus recursos naturales (POGED, 2018). Así, el objetivo del presente estudio fue describir la diversidad de especies arbóreas y su importancia ecológica en el Parque Ecológico El Tecuán, localizado en el estado de Durango, México.

 

 

Materiales y Métodos

 

 

El Parque Ecológico El Tecuán se ubica en la Sierra Madre Occidental, al suroeste del estado de Durango (Figura 1), a 57 km de la ciudad del mismo nombre, sobre la carretera Federal Núm. 40 en su tramo Durango-El Salto. Tiene una superficie de 894.57 ha.

 

Figura 1. Localización del Parque Ecológico El Tecuán.

 

El tipo de clima según la clasificación de Köppen modificado por García (2001), es templado con lluvias en verano (Cw); temperatura media anual de 13.9 °C. El tipo de suelo que predomina en el área es el Cambisol (INEGI, 2016).

 

 

Muestreo de la vegetación

 

 

Se realizó un inventario con el apoyo del Sistema de Planeación Forestal para Bosque Templado (SiPlaFor; http://siplafor.cnf.gob.mx), diseñado para apoyar el proceso de toma de decisiones en la elaboración y ejecución de programas de manejo forestal sustentable en los bosques templados de México. Se generó la rodalización del Parque mediante una segmentación multirresolución con objetos homogéneos en una imagen de satélite del sensor Sentinel 2A (USGS - https://glovis.usgs.gov – ID: 13QDG) del año 2017, posteriormente se diseñó y definió el tamaño de muestra sobre los subrodales o estratos.

Se utilizó un muestreo sistemático estratificado con 168 sitios circulares de 1 000 m2, con una intensidad de muestreo de 3.28 % del área clasificada como forestal en protección y que abarca 511.16 ha. El resto de la superficie del Parque (383.41 ha) se excluyó del muestreo, porque corresponde con áreas clasificadas como pastizales, caminos, cuerpos de agua y construcciones (cabañas) (Figura 2). En cada sitio de muestreo, se registraron para todos los individuos con un diámetro a la altura del pecho (DAP, 1.30 m) mayor o igual a 7.5 cm, el nombre científico, el DAP (cm) medido con una forcípula Haglöf modelo Mantax Blue, y la altura total (m) medida con un hipsómetro Vertex modelo IV marca Haglöf.

 

Figura 2. Rodalización y sitios de muestreo en el Parque Ecológico El Tecuán.

 

 

Diversidad y valor de importancia

 

 

Para describir la diversidad de especies arbóreas y su importancia ecológica, se calcularon las siguientes variables a partir de la información dasométrica registrada en los sitios de muestreo.

La diversidad arbórea se cuantificó con el índice de Shannon (Hi), una de las medidas más empleadas que refleja la diversidad de especies y cuya expresión, según Gadow (1993), es la siguiente:

 

     (1)

 

Donde:

pi = Abundancia proporcional de la i-ésima especie

ln = Logaritmo natural de base 10

 

El índice de Shannon, comúnmente, fluctúa entre 0.5 y 5. Un valor alto expresa un mayor número de especies.

El Valor de Importancia Ecológica (VIE) de las especies arbóreas, se estimó a partir de la abundancia relativa basado en la densidad o número de árboles; la dominancia relativa de acuerdo con el valor del Área Basal (AB); y la frecuencia relativa en función de la presencia de especies en los sitios de muestreo. Estas variables se estimaron con las siguientes expresiones (Franco et al., 1989):

 

     (2)

 

     (3)

 

     (4)

 

     (5)

 

Donde:

NAi = Número de árboles de la especie i

NAT = Número de árboles de las especies presentes

ABi = Área basal de la especie i

ABT= Área basal de todas las especies

Fi = Número de sitios de muestreo en que aparece la especie i

FT = Número total de sitios de muestreo

  

 

Resultados y Discusión

 

 

En total, se registraron 354 árboles por hectárea pertenecientes a 18 especies, cuatro familias (Ericaceae, Cupressaceae, Pinaceae y Fagaceae) y cuatro géneros (Arbutus, Juniperus, Pinus y Quercus). Pinus tuvo mayor riqueza con nueve especies, y en contraste, Arbutus xalapensis Kunthfue el único taxón registrado para esegénero. En el Cuadro 1 se listan las especies registradas en los sitios de muestreo.

 

Cuadro 1. Composición de especies arbóreas presentes en el Parque Ecológico El Tecuán.

Familia

Género

Nombre científico

Nombre común

Ericaceae

Arbutus

Arbutus xalapensis Kunth

Madroño

Cupressaceae

Juniperus

Juniperus deppeana Steud.

Táscate

Pinaceae

Pinus

Pinus teocote Schltdl. & Cham.

Pino Ocote

Pinus engelmannii Carrière

Pino real

Pinus cooperi C. E. Blanco

Pino chino

Pinus durangensis Martínez

Pino alazán

Pinus leiophylla Schiede ex Schltdl. & Cham.

Pino prieto

Pinus arizonica Engelm.

Pino blanco

Pinus strobiformis Engelm.

Cahuite

Pinus maximinoi H. E. Moore

Ocote

Pinus oocarpa Schiede ex Schltdl.

Pino trompillo

Fagaceae

Quercus

Quercus sideroxyla Bonpl.

Encino chaparro

Quercus laeta Liebm.

Roble blanco

Quercus rugosa Née

Encino prieto

Quercus durifolia Seemen

Encino laurillo

Quercus crassifolia Bonpl.

Encino colorado

Quercus grisea Liebm.

Encino gris

Quercus eduardi Trel.

Encino blanco

 

La diversidad de especies estimada mediante el Índice de Shannon fue de 1.89, lo que sugiere que la diversidad en el área de estudio es de media a alta. Este índice es superior al de Méndez et al. (2018), quienes observaron una riqueza de cinco especies y un índice de 0.78 en un bosque semejante de la Sierra Madre del Sur. Asimismo, Graciano-Ávila et al. (2017) citan un índice de Shannon de 1.81 y una riqueza de 13 especies en un bosque mixto de pino-encino bajo manejo para la región de El Salto, Durango. La mayor riqueza de especies y la similitud entre el valor de diversidad de este estudio con el valor referido por Graciano-Ávila et al. (2017) podría atribuirse, entre otros factores, a que el bosque del Parque, a pesar de ubicarse en una zona con menor potencial forestal, está protegido del aprovechamiento maderable, de la ganadería extensiva y de distintas actividades antrópicas que afectan la diversidad de especies.

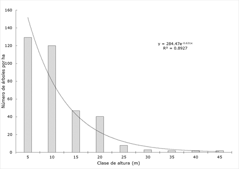
En la Figura 3 se muestra la distribución del número de árboles por hectárea y por categoría de diámetro y de altura. Se observa que en ambas variables las distribuciones se ajustan a una J-invertida o del tipo exponencial negativa; el cual es frecuente en bosques bajo un esquema de manejo irregular, como es el caso de los bosques mixtos e irregulares de la Sierra Madre Occidental (Návar-Cháidezy González-Elizondo, 2009). Asimismo, se ha descrito en muchos bosques con estatus de protección en todo el mundo. Por ello, se le considera como la estructura que representa el número de árboles ideal por clase de diámetro para un área basal determinada; por lo tanto, se utiliza como referencia al momento de desarrollar métodos de manejo forestal con cortas selectivas o de cubierta forestal continua (Buongiorno y Michie, 1980).

 

Figura 3. Distribuciones de diámetro (arriba) y altura (abajo) por hectárea del arbolado estudiado en el Parque Ecológico El Tecuán.

 

El mayor número de árboles se acumula en las clases de diámetro de 10 y 15 cm (80 y 76 árboles ha-1, respectivamente) y disminuye el número de individuos conforme aumenta el tamaño del diámetro. Lo anterior resulta, principalmente, de eventos de mortalidad natural en este tipo de individuos, ya que en el Parque no están permitidos los aprovechamientos con fines comerciales.

Dichos resultados concuerdan con los de Hernández-Salas et al. (2013), quienes evaluaron la composición y diversidad de especies en bosques templados bajo aprovechamiento en el estado de Chihuahua, y de igual manera, obtuvieron las mayores densidades para las clases de diámetro menores, hallazgo atribuible al efecto de aprovechamiento maderable de los árboles en etapas de madurez.

De acuerdo con los resultados del Cuadro 2, Pinus cooperi C. E. Blanco fue laespecie con la densidad (32.15 % y 112 árboles ha-1) y dominancia relativa (37.77 % y 6.15 m2 ha-1) más altas. Esta especie se ha consignado como la más abundante en estudios de bosques de clima templado en el estado de Durango (Návar-Cháidez y González-Elizondo, 2009; Valenzuela y Granados 2009; Graciano-Ávila et al., 2017). El género con la mayor densidad y dominancia en el Parque fue Pinus, con 204 árboles por hectárea (57.60 % de la densidad relativa) y un área basal de 11.33 m2 ha-1 (69.56 % de la dominancia relativa); resultado que coincide con investigaciones previas; en las cuales, el género Pinus se cita como el más abundante y dominante en bosques templados del país (Hernández-Salas et al., 2013; Delgado et al., 2016; Humano, 2020).

 

Cuadro 2. Variables ecológicas y estructurales calculadas para las especies presentes en el Parque Ecológico El Tecuán.

Especie

Densidad

Dominancia (AB)

Frecuencia

VIE

N ha-1

%

m2 ha-1

%

Fi

%

Pinus cooperi C. E. Blanco

112

32.15

6.15

37.77

98

14.95

28.29

Quercus sideroxyla Bonpl.

91

25.96

3.43

21.08

123

18

21.68

Pinus teocote Schltdl. & Cham.

57

16.44

2.91

17.87

106

15.53

16.61

Pinus leiophylla Schiede ex Schltdl. & Cham.

24

7

1.94

11.91

55

7.98

8.96

Arbutus xalapensis Kunth

15

4.4

0.27

1.66

77

12.63

6.23

Quercus crassifolia Bonpl.

12

3.56

0.31

1.88

53

5.08

3.76

Quercus laeta Liebm.

12

3.51

0.33

2.05

35

4.79

3.51

Juniperus depeana Steud.

8

2.25

0.22

1.33

33

7.69

3.45

Quercus durifolia Seemen

8

2.21

0.36

2.24

29

4.21

2.89

Pinus durangensis Martínez

5

1.33

0.22

1.33

26

3.77

2.14

Pinus engelmannii Carrière

2

0.51

0.09

0.53

17

2.47

1.17

Quercus rugosa Née

1

0.34

0.02

0.11

6

0.87

0.44

Quercus grisea Liebm.

1

0.15

0.01

0.07

4

0.58

0.27

Pinus strobiformis Engelm.

1

0.09

0.02

0.1

3

0.58

0.26

Pinus arizonica Engelm.

1

0.03

0.002

0.01

2

0.29

0.11

Pinus oocarpa Schiede ex Schltdl.

1

0.03

0.001

0.01

2

0.29

0.11

Pinus maximinoi H. E. Moore

1

0.02

0.005

0.03

1

0.15

0.07

Quercus eduardii Trel.

1

0.02

0.001

0.01

1

0.15

0.06

Total

354

100

16.28

100

100

100

Fi = Número de sitios donde apareció la especie i; VIE = Valor de Importancia Ecológica.

 

A pesar de la alta densidad del género Pinus, Quercus sideroxyla Bonpl. fue la especie más frecuente (18 % de la frecuencia relativa), pues se registró en 123 de las 168 unidades de muestreo; Pinus maximinoi H. E. Moore y Quercus eduardii Trel.resultaron las menos frecuentes, con valores de frecuencia relativa de 0.15 % (Cuadro 2). Lo anterior concuerda con los registros de García et al. (2019), quienes analizan la diversidad y la estructura vertical de los bosques de coníferas sin manejo en Chihuahua, México, e indican las mayores densidades y frecuencias para el género Pinus y Q. sideroxyla.

A Pinus cooperi correspondió el Valor de Importancia Ecológica más alto (28.23 %), seguido de Q. sideroxyla (21.68 %). Por el contrario, las especies con menores valores fueron P. maximinoi y Q. eduardii con 0.07 % y 0.06 %, respectivamente (Cuadro 2; Figura 4). El género Pinus destacó por el VIE de 57.73 %, seguido de Quercus con 32.29 %, Arbutus (6.22 %) y Juniperus (3.76 %); valores que coinciden con los obtenidos por Hernández-Salas et al. (2013), quienes refieren a dos taxones de Pinus con los mayores Valores de Importancia Ecológica, seguidas de especies de Quercus, en un estudio realizado en el ejido El Largo y Anexos, municipio Madera, Chihuahua, México.

 

Figura 4. Estimación de la abundancia, dominancia, frecuencia y valor de importancia ecológica para las especies arbóreas registradas en el Parque Ecológico El Tecuán.

 

 

Conclusiones

 

 

En el Parque Ecológico El Tecuán predomina el género Pinus (con nueve taxoneses), seguido de Quercus (con siete taxones). La diversidad de especies arbóreas descrita a través del índice de Shannon se considera entre media y alta. Pinus cooperi presenta los valores más altos de densidad, dominancia relativa (AB) y de importancia ecológica. Los resultados del presente estudio constituyen una línea base para evaluar posibles cambios en la diversidad y estructura arbórea del Parque a través del tiempo; y dado que su bosque tiene estatus de protección, también representan información con bases científicas para desarrollar indicadores clave de sustentabilidad para la conservación de especies maderables en otros bosques sujetos al aprovechamiento forestal.

 

Agradecimientos

 

Los autores agradecen a la Secretaría de Recursos Naturales y Medio Ambiente del Estado de Durango (SRNyMA) por el financiamiento en el marco del convenio de colaboración (SRNYMA/SMA/010/2017) para la elaboración del Plan de Manejo del Área Natural Protegida Parque Ecológico El Tecuán.

 

Conflicto de intereses

 

Los autores declaran no tener conflicto de interés.

 

Contribución por autor

 

Pablito Marcelo López Serrano: análisis de datos de campo y elaboración del manuscrito; Daniel José Vega Nieva: apoyo en el análisis de datos; José Javier Corral Rivas: revisión del manuscrito y apoyo en el análisis de datos; Jaime Briseño Reyes y Pablo Antúnez: elaboración y revisión del manuscrito.

 

 

Referencias

Álvarez, M., S. Córdoba, F. Escobar, G. Fagua, … y H. Villareal. 2004. Manual de métodos para el desarrollo de inventarios de biodiversidad. Instituto de Investigación de Recursos Biológicos Alexander von Humboldt. Bogotá, CUN, Colombia. 236 p. http://repository.humboldt.org.co/bitstream/handle/20.500.11761/31419/63.pdf (13 de abril de 2022).

Bertzky, B., C. Corrigan, J. Kemsey, S. Kenney, … and N. Burgess. 2012. Protected Planet Report 2012: Tracking progress towards global targets for protected areas. United Nations Environment Programme World Conservation Monitoring Centre (UNEP-WCMC). Cambridge, CBS, United Kingdom. 60 p.

Buongiorno, J. and B. R. Michie. 1980. A matrix model of uneven-aged forest management. Forest Science 26(4):609-625. https://academic.oup.com/forestscience/article-abstract/26/4/609/4656453. (13 de abril de 2022).

Cantú, C., R. G. Wright, J. M. Scott and E. Strand. 2004. Assessment of current and proposed nature reserves of Mexico based on their capacity to protect geophysical features and biodiversity. Biological Conservation 115(3):411-417. Doi: 10.1016/S0006-3207(03)00158-7.

Comisión Nacional de Áreas Naturales Protegidas (Conanp). 2022. Áreas naturales Protegidas. https://www.gob.mx/conanp/documentos/areas-naturales-protegidas-278226?idiom=es. (27 de julio de 2022).

Delgado Z., D. A., S. A. Heynes S., M. D. Mares Q., N. L. Piedra L., … y L. Ruacho-González. 2016. Diversidad y estructura arbórea de dos rodales en Pueblo Nuevo, Durango. Revista Mexicana de Ciencias Forestales 7(33):94-107. Doi: 10.29298/rmcf.v7i33.92.

Franco, J., A. Rocha, N. Navarrete, G. Flores, … y C. Bedla. 1989. Manual de Ecología. Trillas. México, D. F., México. 96 p.

Gadow, K. V. 1993. Zur Bestandesbeschreibung in der Forsteinrichtung. Forst und Holz 21(10):602-606. https://www.researchgate.net/profile/Klaus-Gadow/publication/284482761_Zur_Bestandesbeschreibung_in_der_Forsteinrichtung/links/565e1f6e08aeafc2aac8d6dc/Zur-Bestandesbeschreibung-in-der-Forsteinrichtung.pdf. (27 de julio de 2022).

García, E. 2001. Climas (clasificación de Köppen, modificado por García) Escala 1: 1 000 000. Comisión Nacional para el Conocimiento y Uso de la Biodiversidad (Conabio). Tlalpan, D. F., México. http://geoportal.conabio.gob.mx/metadatos/doc/html/clima1mgw.html. (14 de abril de 2022).

García G., S. A., R. Narváez F., J. M. Olivas G. y J. Hernández S. 2019. Diversidad y estructura vertical del bosque de pino–encino en Guadalupe y Calvo, Chihuahua. Revista Mexicana de Ciencias Forestales 10(53):41-63. Doi: 10.29298/rmcf.v10i53.173.

Graciano-Ávila, G., E. Alanís-Rodríguez, O. A. Aguirre-Calderón, M. A. González-Tagle, … y A. Mora-Olivo. 2017. Caracterización estructural del arbolado en un ejido forestal del noroeste de México. Madera y Bosques 23(3):137-146. Doi: 10.21829/myb.2017.2331480.

Hernández-Salas, J., O. A. Aguirre-Calderón, E. Alanís-Rodríguez, J. Jiménez-Pérez, … y L. A. Domínguez-Pereda. 2013. Efecto del manejo forestal en la diversidad y composición arbórea de un bosque templado del noroeste de México. Revista Chapingo Serie Ciencias Forestales y del Ambiente 19(2):189-199. Doi: 10.5154/r.rchscfa.2012.08.052.

Hernández-Salas, J., O. A. Aguirre-Calderón, E. Alanís-Rodríguez, J. Jiménez-Pérez, … y L. A. Domínguez-Pereda. 2018. Dinámica del crecimiento de un bosque templado bajo manejo en el noroeste de México. Madera y Bosques 24(2):e2421767. Doi: https://doi.org/10.21829/myb.2018.2421767.

Herrera-Paniagua, P., M. Martínez y C. Delgadillo-Moya. 2018. Patrones de riqueza y de asociación al hábitat y microhábitat de los musgos del Área Natural Protegida Sierra de Lobos, Guanajuato, México. Revista Mexicana de Biodiversidad 89(4):1002-1011. Doi: 10.22201/ib.20078706e.2018.4.2455.

Humano, C. A. 2020. Modelado del crecimiento de especies nativas forestales de la Selva Pedemontana de Yungas, Argentina. Revista de Ciencias Forestales 28(1):5-19. https://www.redalyc.org/journal/481/48168008010/html/ (13 de abril de 2022).

Instituto Nacional de Estadística y Geografía (INEGI). 2016. Conjunto de Datos vectoriales de uso del suelo y vegetación. Escala 1:250 000, Series VI. Capa Unión.https://www.inegi.org.mx/app/biblioteca/ficha.html?upc=889463173359#:~:text=Los%20Conjuntos%20de%20Datos%20Vectoriales,TM8%20seleccionadas%20del%20a%C3%B1o%202014. (11 de abril de 2022).

Méndez O., C., C. A. Mora D., E. Alanís R., J. Jiménez P., … y M. Á. Pequeño L. 2018. Fitodiversidad y estructura de un bosque de pino-encino en la Sierra Madre del Sur, México. Revista Mexicana de Ciencias Forestales 9(50):35-53. Doi: 10.29298/rmcf.v9i50.236.

Návar-Cháidez, J. de J. y S. González-Elizondo. 2009. Diversidad, estructura y productividad de bosques templados de Durango, México. Polibotánica (27):71-87. https://www.scielo.org.mx/scielo.php?script=sci_arttext&pid=S1405-27682009000100005. (11 de abril de 2022).

Oceguera-Salazar, K. A., L. G. Rodríguez-Sánchez, C. Lomelín-Molina, L. Ruiz-Paniagua, … y Rulfo-Méndez, A. 2016. Prontuario Estadístico y Geográfico de las Áreas Naturales Protegidas de México. Secretaría del Medio Ambiente y Recursos Naturales (Semarnat) y Comisión Nacional de Áreas Naturales Protegidas (Conanp). Miguel Hidalgo, CdMx, México. 104 p. https://agua.org.mx/wp-content/uploads/2016/03/PRONTUARIO-ANP-2015.pdf. (14 de abril de 2022).

Periódico Oficial del Gobierno del Estado de Durango (POGED). 2018. No.70. Permiso No. IM10-0008 TOMO CCXXXIII. Durango, Dgo. 2 de septiembre de 2018. http://sgdemo.durango.gob.mx/wp-content/uploads/sites/40/2019/02/70-Nor-2-de-sep-2018.pdf (12 de abril de 2022).

Rentería A., L., C. Cantú A., E. Estrada C., J. Marmolejo M. y F. González S. 2011. Representatividad de los tipos de vegetación en las áreas naturales protegidas de Durango. Revista Mexicana de Ciencias Forestales 2(3):69-82. Doi: 10.29298/rmcf.v2i3.630.

Silva-García, J. E., O. A. Aguirre-Calderón, E. Alanís-Rodríguez, E. Jurado-Ybarra, … y B. Vargas-Larreta. 2021. Estructura y diversidad de especies arbóreas en un Bosque templado del Noroeste de México. Polibotánica (52):89-102. Doi: 10.18387/polibotanica.52.7.

Suárez S. y N. Vischi. 1997. Caracterización fisonómico-estructural de vegetación serrana (Alpa Corral-Córdoba-Argentina). Multinequina 6:21-32. https://www.redalyc.org/articulo.oa?id=42800604. (15 de marzo de 2022).

Valenzuela N., L. M. y D. Granados S. 2009. Caracterización fisonómica y ordenación de la vegetación en el área de influencia de El Salto, Durango, México. Revista Chapingo Serie Ciencias Forestales y del Ambiente 15(1):29-41. https://www.scielo.org.mx/scielo.php?script=sci_arttext&pid=S2007-40182009000100004. (18 de abril de 2022).

Wehenkel, C., J. J. Corral-Rivas and K. v. Gadow. 2014. Quantifying differences between ecosystems with particular reference to selection forests in Durango/Mexico. Forest Ecology and Management 316:117-124. Doi: 10.1016/j.foreco.2013.05.056.

 

        

Todos los textos publicados por la Revista Mexicana de Ciencias Forestales sin excepción– se distribuyen amparados bajo la licencia Creative Commons 4.0 Atribución-No Comercial (CC BY-NC 4.0 Internacional), que permite a terceros utilizar lo publicado siempre que mencionen la autoría del trabajo y a la primera publicación en esta revista.