Revista Mexicana de Ciencias Forestales Vol. 13 (74)

Noviembre – Diciembre (2022)

Logotipo, nombre de la empresa

Descripción generada automáticamente

DOI: https://doi.org/10.29298/rmcf.v13i74.1272

Article

Evaluation of substrates and treatments for water stress mitigation in an Enterolobium cyclocarpum (Jacq.) Griseb. plantation Evaluación de sustratos y tratamientos para mitigar el estrés hídrico en una plantación de Enterolobium cyclocarpum (Jacq.) Griseb.

 

Adrián Botello Montoya1, Eduardo Alanís Rodríguez1*, José Ángel Sigala Rodríguez2, Jesús Eduardo Silva García3, Luis Daniel Ruiz Carranza1

 

 

Fecha de recepción/Reception date: 5 Marzo de 2022

Fecha de aceptación/Acceptance date: 29 de septiembre de 2022

_______________________________

1Facultad de Ciencias Forestales, Universidad Autónoma de Nuevo León. México.

2Campo Experimental Valle del Guadiana. INIFAP. México.

3Cobano Consultoría Integral Forestal y Medio Ambiental S. A. de C. V. México.

 

*Autor para correspondencia; correo-e: eduardoforestal@gmail.com

*Corresponding author; e-mail: eduardoforestal@gmail.com

Abstract

Enterolobium cyclocarpum is a multipurpose tree species whose growth and survival in plantations are unknown. The objective was to evaluate the effect of different nursery growing media and auxiliary treatments to mitigate water stress on the performance of E. cyclocarpum plants established in the field. The seeds were sown in three different types of substrates: 1) base mixture (peat, vermiculite and agrolite), 2) aerobic compost and 3) native soil. Each group of plants by type of substrate was divided into four subgroups that were assigned different auxiliary treatment to mitigate water stress: 1) irrigation, 2) hydrogel (2 g plant-1), 3) hydrogel (4 g plant-1) and 4) natural conditions (control). The results indicate that the type of substrate influences the survival and growth of the plants, being native soil the one that promotes higher values. It was found that there is a positive relationship between the diameter of the plants and the probability of survival, this variable being a basic quality indicator of the plants grown in the nursery. The auxiliary treatment of hydric stress significantly affected the growth in diameter and height, being irrigation the one that increased the values, with the exception of the diameter in the base mixture.

Keywords: Growth, combination, compost, hydrogel, survival, substrates.

Resumen

Enterolobium cyclocarpum es una especie arbórea multipropósito cuyo crecimiento y supervivencia en plantaciones se desconoce. El objetivo fue evaluar el efecto de tres medios de crecimiento en vivero y tratamientos auxiliares para mitigar el estrés hídrico en el desempeño de plantas de E. cyclocarpum establecidas en campo. Las semillas se sembraron en tres diferentes tipos de sustrato: 1) mezcla base (turba, vermiculita y agrolita), 2) composta aeróbica, y 3) tierra de monte. Cada grupo de plantas por tipo de sustrato se dividió en cuatro subgrupos a los que se les asignó diferente tratamiento auxiliar para mitigar el estrés hídrico: 1) riego, 2) hidrogel (2 g planta-1), 3) hidrogel (4 g planta-1), y 4) condiciones naturales (testigo). Los resultados indican que el tipo de sustrato influye en la supervivencia y crecimiento de las plantas, siendo la tierra de monte la que promueve mayores valores. La relación entre el diámetro de plantas con la probabilidad de supervivencia fue positiva; esta variable es un indicador de la supervivencia en campo durante los primeros años de la plantación. El tratamiento auxiliar para mitigar el estrés hídrico afectó significativamente el crecimiento en diámetro y altura; el riego aumentó los valores, con excepción del diámetro en mezcla base.

Palabras clave: Crecimiento, combinación, composta, hidrogel, supervivencia, sustrato.

 

Introduction

  

Enterolobium cyclocarpum (Jacq.) Griseb is a multipurpose tree that grows in tropical ecosystems such as high evergreen, medium sub-deciduous, medium sub- evergreen, and low deciduous rainforests (Salas-Morales et al., 2003; Pennington and Sarukhán, 2005). Its distribution area in Mexico extends from Sinaloa to Chiapas along the Pacific coast and from Tamaulipas to the Yucatán Peninsula along the Gulf of Mexico (Pennington and Sarukhán, 2005).

In its areas of distribution, this species is used mainly for the restoration of degraded sites, in agroforestry systems, and in commercial forest plantations (Muñoz-Flores et al., 2016; Velasco-García et al., 2019). However, survival rates are low during the first year of establishment, being associated mainly with the origin of the germplasm (Muñoz et al., 2013), poor quality of the planting site, damage due to pests, diseases, or herbivory (Cibrián, 2013; Velasco-García et al., 2019) and even droughts (Hernández-Hernández et al., 2019).

The exploitation of E. cyclocarpum for timber purposes has a negative impact on its natural regeneration and, consequently, increases the fragmentation of its populations (Olivares-Pérez et al., 2011). For this reason, it is essential to establish plantations that will allow its sustainable use. However, there are still gaps in knowledge regarding the best practices to increase plantation survival rates and productivity (Basave et al., 2014; Hernández-Hernández et al., 2019).

Nursery cultivation practices have a direct effect on plant quality and, therefore, on plantation performance (Grossnickle, 2012). Likewise, the survival and growth of plants in field depends, to a certain extent, on the methods or techniques used in the planting process (Löf et al., 2012). Within this context, the objective of the present study was to evaluate the effect of different nursery growth media and auxiliary treatments to mitigate water stress on the performance of E. cyclocarpum plants established in field. The hypothesis was that the type of substrate influences plant survival and growth, and that auxiliary treatments may promote a better performance of this species in forest plantations or reforestations.

 

 

Materials and Methods

 

 

Seed collection and plant production

 

 

The production of the plant was carried out in the nursery of the Los Tulillos ranch, in the municipality Tzitzio, Michoacán (Figure 1). The seeds were collected in the same locality between May and June 2019. Prior to sowing, the seeds were scarified with mechanical tweezers to homogenize germination, and subsequently sown in low-density, caliber 400, 13×25 cm polyethylene bags with four perforations. The bags were filled with three different types of substrate: 1) base mix peat, vermiculite and agrolite at a ratio of 2:1:1, with 4 g L-1 of controlled release fertilizer; 2) aerobic compost, consisting of cattle manure, and 3) forest land, obtained in an area of low deciduous forest. A total of 200 plants were produced per substrate type. Irrigation was applied manually with a watering can every other day. The cultivation period in the nursery was three months, before the plants were taken to the field.

 

Figure 1. Location of the planting site and location of Enterolobium cyclocarpum (Jacq.) Griseb. trees.

 

 

Plantation establishment and monitoring

 

 

The plantation was established in 2019 in the region known as Tierra Caliente, at coordinates 19°18'33.5" N and 100°52'32.3" W at 750 meters above sea level, in the municipality Tzitzio, Michoacán (Figure 1). The predominant climate, according to Köppen's classification as modified by García (2004), is warm sub-humid A(wo) with summer rains, mean annual precipitation of 994.3 mm and mean annual temperature of 23.4 °C (73.4 °F) (Inegi, 2017). The soil type according to the FAO/Unesco classification modified by Detenal (1979) is chromic vertisol, considered as a clayey soil of a brown or reddish hue.

The planting was carried out in the rainy season, between July 29 and August 3, 2019, on a degraded site with a history of agricultural use. 200 plants were planted per type of substrate, with real frame distribution and 4 m spacing between plants. Each group of plants by substrate type was divided into four subgroups, each of which was assigned a different auxiliary treatment to mitigate water stress: 1) irrigation, 2) hydrogel (2 g plant-1), 3) hydrogel (4 g plant-1), and 4) natural conditions (control). Irrigation was carried out every third day, applying 16 L per plant. The hydrogel used is a superabsorbent polymer made from potassium polyacrylate, formula —CH2CH (CO2K), with a density of 1.22 g per cm3 and an absorption capacity of 100 times its weight. This product was mixed with the substrate of the same strain and deposited at the time of planting.

The experiment was established under a split-plot design, with a 4×3 factorial arrangement of the treatments. The larger plots were assigned the treatments to mitigate water stress. The substrate type treatments (small plots) were distributed within the large plots. For each type of substrate within the large plots, there were five replicates of 10 plants, distributed completely at random. A total of 600 individuals were planted on an area of 0.96 ha. Once these were planted, the height (cm) and diameter at ground level (mm) of each plant were recorded, and a label with an identification number was placed for monitoring purposes. Ten months after establishment, plant survival was evaluated by assigning a value of 0 to dead plants and 1 to live plants. In addition, stem height (cm) was measured with a 3-meter Truper Gripper model FH-3M flexometer and diameter at ground level (mm) with a Vernier Ultratech model H-7352 were measured for each living plant.

 

 

Data analysis

 

 

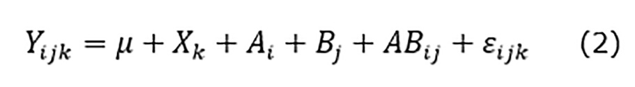
The data were analyzed with the R software (R Core Team, 2020). For survival, a generalized linear model with a binomial distribution and 'logit' link function was used, in which the effect of the substrate, the auxiliary treatment, and the interaction of the two were included as explanatory variables. Initial diameter and height were also considered as covariates (Equation 1).

 

    

Where:

 

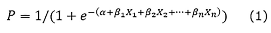
The effect of substrate, the auxiliary treatment and their interaction on diameter and height was analyzed by means of a two-way analysis of variance (ANOVA). For the height and diameter models, the initial height and diameter were included as covariates to account for possible initial differences between treatments (Equation 2).

 

    

 

Where:

 

In all cases, the assumptions of normality of model residuals and homogeneity of variances were checked using the Shapiro-Wilk and Levene’s tests, respectively. For both variables, the transformation with the natural logarithm function was necessary to meet these assumptions (p>0.05).

 

 

Results

 

 

Ten months after planting, the substrate type had a significant effect on plant survival (Chi2=10.62, p=0.005). Plants grown on native soil showed higher survival than those grown with the base mix and compost. At the end of the study, plants grown on topsoil achieved 76 % survival, while plants with base mix and compost had 62 and 65 %, respectively. Likewise, regardless of treatment, the relationship between the survival rate and the initial diameter of individuals was significant (Chi2=20.51, p<0.001) (Figure 2). The survival probability ratio as a function of diameter was 1.44, indicating that a 1 mm increase in the diameter of nursery plants increases the probability of survival in the field by 1.4 times. On the other hand, the auxiliary treatment to mitigate water stress did not significantly influence survival (Chi2=1.07, p=0.785).

 

Figure 2. Probability of survival of Enterolobium cyclocarpum (Jacq.) Griseb. plants ten months after establishment as a function of the initial diameter at planting and the nursery growing substrate.

 

In general, the auxiliary treatment for mitigating water stress affected diameter growth significantly (F=15.17, p<0.001), unlike the type of substrate (F=2.01, p=0.135). However, the interaction of the auxiliary treatment with the substrate was significant (F=4.23, p<0.001). This interaction showed that the response to the auxiliary treatment was different for each type of substrate. Although irrigation increased diameter growth with respect to the control, its effect was significant only in plants grown with compost (Figure 3). The hydrogel treatments induced greater growth in diameter, with respect to the control, but only in those cultivated on native soil. Finally, the effect of the auxiliary treatments for mitigating water stress was not significant in plants grown on the base mixture, with respect to the control.

 

Figure 3. Mean diameters±SE in Enterolobium cyclocarpum (Jacq.) Griseb. plants ten months after establishment, grown in three types of substrates and planted with different auxiliary treatments for mitigating water stress. Differences between means that do not share the same letter are significant (α=0.05).

 

Auxiliary treatments to mitigate water stress had a highly significant effect on plant height (F=28.83, p<0.001). On the other hand, the type of substrate did not affect height growth (F=0.97, p=0.378); however, the interaction of the auxiliary treatment with the substrate was significant (F=3.14, p=0.005).

For the three types of substrate, the irrigation treatment improved height growth significantly, compared to the control (Figure 4). In plants grown in compost, irrigation yielded superior results to those obtained with hydrogel application. The hydrogel treatments did not produce a significant increase in height in relation to the control, except for the treatment with four grams of hydrogel in the plants cultivated with loam (Figure 4).

 

Figure 4. Mean heights±SE in Enterolobium cyclocarpum (Jacq.) Griseb. plants ten months after establishment, grown in three types of substrates and planted with different auxiliary treatments to mitigate water stress. Differences between means that do not share the same letter are significant (α=0.05). 

 

 

Discussion

 

 

The present study demonstrated that the type of substrate with which E. cyclocarpum plants are grown in the nursery influences survival at early age of field establishment. On the other hand, the application of auxiliary treatments for water stress mainly affected growth, although their effect also depended on the type of substrate used in the nursery.

In plant production, the substrate is the element that supports the plant. The type of substrate affects growth and root architecture, and also influences the cohesion and integrity of the root ball (Landis, 1990). This latter aspect is considered an important trait for the quality of nursery-grown plants (Pemán et al., 2017), since proper root ball integrity or conformation has a positive effect on plant survival, particularly on sites with degraded soils (Grossnickle and El-Kassaby, 2016).

In the present study, the native soil proved more favorable to the survival of E. cyclocarpum than the other substrates. In a visual inspection, better root ball conformation was observed with the native soil, which possibly improved the ability of the plants to survive. Other characteristics of local substrates, such as additional nutrient content and beneficial microorganisms, can improve plant performance (Jacobs and Landis, 2014). The soil is widely used in the production of plants of other forest species, with good results in variables indicating plant quality (López et al.,2018; Reyes et al.,2018). However, the physical and chemical characteristics of these substrates vary over time and between locations, which limits the standardization and continuous improvement of cultural practices in nurseries (Bakry et al., 2012).

An important finding was the positive relationship between plant diameter and the probability of survival. This effect highlights the importance of considering diameter as a basic indicator of E. cyclocarpum survival in the first years of field planting. This result is consistent with studies showing that plants with larger diameters tend to survive better than those with smaller diameters (Orozco et al., 2010; Grossnickle, 2012). In this regard, it has been suggested that the diameter has a direct relationship with certain characteristics of the root system, such as volume or architecture (Jacobs et al., 2005). Furthermore, plants with larger diameters are likely to have more carbohydrate and nutrient reserves (Tsakaldimi et al., 2013), which, in turn, influences the probability of survival in the field. In addition, plants with larger diameters have greater resistance and resilience to physical damage caused by biotic and abiotic agents.

E. cyclocarpum inhabits the dry tropical forest and is drought tolerant (Foroughbakhch et al., 2006; Laborde and Corrales-Ferrayola, 2012). In this sense, it is likely that the application of some auxiliary treatment to mitigate water stress does not have a significant impact on survival rates, as observed in the present study. However, in the research documented here, it is possible that the plants were not exposed to water stress given the high rainfall at the planting site. On the other hand, in juvenile stages, E. cyclocarpum exhibits high growth rates (Foroughbakhch et al., 2006; Rocha et al., 2018), and its performance increases considerably under favorable humidity and fertility conditions (Craven et al., 2007; Pineda-Herrera et al., 2017). Therefore, this may explain why the positive effect of the application of the auxiliary treatment for mitigating water stress manifested in the growth rather than in the survival of the plants.

Irrigation was the auxiliary treatment that increased growth the most, compared to the control. Hydrogel application did not significantly improve plant growth. However, in plants cultivated with loam, more growth in diameter was observed with the application of hydrogel.

The main benefit of hydrogels is to increase the moisture-holding capacity of the soil or growing medium in which they are incorporated (Chen et al., 2004). However, the effectiveness of these polymers will depend on multiple factors such as the type of polymer, particle size, dosage, amount of water available, application method, among others (Crous, 2017). Also, the physical and chemical properties of the soil often affect the effectiveness of hydrogels (Agaba et al., 2010; Crous, 2017). In this sense, the variable response of the plants to the hydrogel application could be related to the differences in the physicochemical characteristics of the substrates. However, more research is needed to study these relationships in depth.

 

 

Conclusions

 

 

The authors accept the hypothesis that the type of substrate influences the survival and growth of the Enterolobium cyclocarpum plants, and that native soil promotes better performance. Diameter maybe an indicator of survival of E. cyclocarpum at early ages after planting. Auxiliary treatment to mitigate water stress impacts growth rather than survival. However, it is advisable to consider the rainfall and humidity conditions of the planting site in order to determine the need for the application of this type of treatment. The results contribute to promoting a better performance of the study species in commercial plantations or reforestations.

 

Acknowledgements

 

The National Council of Science and Technology (Conacyt) for the scholarship granted to the first author to carry out his postgraduate studies.

 

Conflict of interest

 

The authors declare that they have no conflict of interest.

 

Contribution by author

 

Adrián Botello Montoya: fieldwork, statistical analysis and drafting of the manuscript; Eduardo Alanís Rodríguez: research design, project supervision and drafting of the methodology section; José Ángel Sigala Rodríguez: statistical analysis, generation of graphs and drafting of the results section; Jesús Eduardo Silva García: fieldwork and drafting of the discussion section; Luis Daniel Ruiz Carranza: management of financial resources, fieldwork and drafting of the introduction. All authors revised and approved the final document.

 

References

 

Agaba, H., L. J. Baguma O., J. F. Osoto E., J. Obua, J. D. Kabasa and A. Hüttermann. 2010. Effects of hydrogel amendment to different soils on plant available water and survival of trees under drought conditions. CLEAN–Soil, Air, Water 38(4):328–335. Doi: 10.1002/clen.200900245.

Bakry, M., M. S. Lamhamedi, J. Caron, H. Margolis, … and D. C. Stowe. 2012. Are composts from shredded leafy branches of fast-growing forest species suitable as nursery growing media in arid regions? New Forests 43(3):267–286. Doi: 10.1007/s11056-011-9280-x.

Basave V., E., M. A. López L., V. M. Cetina A., A. Aldrete y J. J. Almaraz S. 2014. Prácticas culturales en vivero que influyen en la calidad de planta de Enterolobium cyclocarpum. Bosque 35(3):301-309. Doi: 10.4067/s0717-92002014000300005.

Chen, S., M. Zommorodi, E. Fritz, S. Wang and A. Hüttermann. 2004. Hydrogel modified uptake of salt ions and calcium in Populus euphratica under saline conditions. Trees 18(2):175-183. Doi: 10.1007/s00468-003-0267-x.

Cibrián T., D. 2013. Manual para la identificación y manejo de plagas en plantaciones forestales comerciales. Universidad Autónoma Chapingo. Texcoco, Edo. Méx., México. 229 p.

Craven, D., D. Braden, M. S. Ashton, G. P. Berlyn, M. Wishnie and D. Dent. 2007. Between and within-site comparisons of structural and physiological characteristics and foliar nutrient content of 14 tree species at a wet, fertile site and a dry, infertile site in Panama. Forest Ecology and Management 238(1-3):335-346. Doi: 10.1016/j.foreco.2006.10.030.

Crous, J. W. 2017. Use of hydrogels in the planting of industrial wood plantations. Southern Forests: a Journal of Forest Science 79(3):197-213. Doi: 10.2989/20702620.2016.1221698.

Dirección de Estadística del Territorio Nacional (Detenal). 1979. Cartas Edafológicas E 14A14 Zinapécuaro, E 14A22 Pátzcuaro y E 14A24 Tzitzio. Escala 1:50 000. México. (Material impreso) https://mapoteca.siap.gob.mx/index.php/coleccion-del-instituto-nacional-de-estadistica-geografia-e-informatica-inegi/. (4 de abril de 2022).

Foroughbakhch, R., M. A. Alvarado-Vázquez, J. L. Hernández-Piñero, A. Rocha-Estrada, M. A. Guzmán-Lucio and E. J. Treviño-Garza. 2006. Establishment, growth and biomass production of 10 tree woody species introduced for reforestation and ecological restoration in northeastern Mexico. Forest Ecology and Management 235(1-3):194-201. Doi: 10.1016/j.foreco.2006.08.012.

García, E. 2004. Modificaciones al sistema de clasificación climática Köppen. Serie Libros, Núm. 6. Instituto de Geografía, Universidad Nacional Autónoma de México. Coyoacán, D. F., México. 91 p.

Grossnickle, S. C. 2012. Why seedlings survive: influence of plant attributes. New Forests 43(5-6):711–738. Doi: 10.1007/s11056-012-9336-6.

Grossnickle, S. C. and Y. A. El-Kassaby. 2016. Bareroot versus container stocktypes: a performance comparison. New Forests 47(1):1–51. Doi: 10.1007/s11056-015-9476-6.

Hernández-Hernández, M. L., M. V. Velasco-García, J. López-Upton, R. Galán-Larrea, C. Ramírez-Herrera y H. Viveros-Viveros. 2019. Crecimiento y supervivencia de procedencias de Enterolobium cyclocarpum en la costa de Oaxaca, México. Bosque 40(2):173-183. Doi: 10.4067/s0717-92002019000200173.

Instituto Nacional de Estadística y Geografía (Inegi). 2017. Anuario estadístico y geográfico de Michoacán de Ocampo. Instituto Nacional de Estadística y Geografía. Aguascalientes, AGS, México. 723 p. https://www.inegi.org.mx/contenidos/productos/prod_serv/contenidos/espanol/bvinegi/productos/nueva_estruc/anuarios_2017/702825092092.pdf. (22 de marzo de 2022).

Jacobs, D. F. and T. D. Landis. 2014. Plant nutrition and fertilization. In: Wilkinson, K. M., T. D. Landis, D. L. Haase, B. F. Daley and R. K. Dumroese (eds.). Tropical nursery manual. A guide to starting and operating a nursery for native and traditional plants. Agriculture Handbook 732. United State Department of Agriculture, Forest Service. Washington, DC, USA. pp. 233–251.

Jacobs, D. F., K. F. Salifu and J. R. Seifert. 2005. Relative contribution of initial root and shoot morphology in predicting field performance of hardwood seedlings. New Forest 30(2):235–251. Doi: 10.1007/s11056-005-5419-y.

Laborde, J. and I. Corrales-Ferrayola. 2012. Direct seeding of Brosimum alicastrum Sw. (Moraceae) and Enterolobium cyclocarpum (Jacq.) Griseb. (Mimosaceae) in different habitats in the dry tropics of central Veracruz. Acta Botánica Mexicana (100):107-134. Doi: 10.21829/abm100.2012.33.

Landis, T. D. 1990. Groing media. In: Landis, T. D. (edit.). The container tree nursery. Manual Volume 2. Agricultural Handbook 674. United State Department of Agriculture, Forest Service. Washington, DC, USA. pp. 43-85. https://rngr.net/publications/ctnm/volume-2. (15 de octubre de 2021).

Löf, M., D. C. Dey, R. M. Navarro and D. F. Jacobs. 2012. Mechanical site preparation for forest restoration. New Forests 43(5-6):825–848. Doi: 10.1007/s11056-012-9332-x.

López L., B., P. Gálvez A., B. Calleja P., J. Méndez G. y J. M. Ríos C. 2018. Sustratos orgánicos en la germinación y crecimiento de Pinus ayacahuite var. veitchii (Roezl) Shaw en vivero. Revista Mexicana de Ciencias Forestales 9(49):110-124. Doi: 10.29298/rmcf.v9i49.156.

Muñoz F., H. J., J. J. García M., G. Orozco G., V. M. Coria Á. y M. B. Nájera-Rincón. 2013. Evaluación de una plantación con dos especies tropicales cultivadas en diferentes tipos de envases. Revista Mexicana de Ciencias Forestales 4(18):28-43. Doi: 10.29298/rmcf.v4i18.387.

Muñoz-Flores, H. J., J. T. Sáenz-Reyes, A. Rueda-Sánchez, D. Castillo-Quiroz, F. Castillo-Reyes and D. Y. Ávila-Flores. 2016. Areas with potential for commercial timber plantations of Enterolobium cyclocarpum (Jacq.) Griseb. in Michoacán, México. Open Journal of Forestry 6(5):476-485. Doi: 10.4236/ojf.2016.65036.

Olivares-Pérez, J., F. Avilés-Nova, B. Albarrán-Portillo, S. Rojas-Hernández y O. A. Castelán-Ortega. 2011. Identificación, usos y medición de leguminosas arbóreas forrajeras en ranchos ganaderos del sur del Estado de México. Tropical and Subtropical Agroecosystems 14(2):739-748. http://www.scielo.org.mx/pdf/tsa/v14n2/v14n2a32.pdf. (15 de octubre de 2021).

Orozco G., G., H. J. Muñoz F., A. Rueda S., J. Á. Sigala R., J. Á. Prieto R. y J. J. García M. 2010. Diagnóstico de la calidad de planta en los viveros forestales del estado de Colima. Revista Mexicana de Ciencias Forestales 1(2):135-146. Doi: 10.29298/rmcf.v1i2.641.

Pemán, J., E. Chirino, J. M. Espelta, D. F. Jacobs, … and E. Gil-Peregrín. 2017. Physiological keys for natural and artificial regeneration of oaks. In: Gil-Peregrín, E., J. J. Peguero-Pina and D. Sancho-Knapik (edits.). Oaks Physiological Ecology. Exploring the functional diversity of genus Quercus L. Springer Cham. Zurich, ZH, Switzerland. pp. 453–511.

Pennington, T. D. y J. Sarukhán. 2005. Árboles tropicales de México: Manual para la identificación de las principales especies. Universidad Nacional Autónoma de México y Fondo de Cultura Económica. Coyoacán, D. F., México. 523 p.

Pineda-Herrera, E., J. I. Valdez-Hernández, C. P. Pérez-Olvera y R. Dávalos-Sotelo. 2017. Fenología, incremento en diámetro y periodicidad de anillos de crecimiento de Enterolobium cyclocarpum (Jacq.) Griseb. (Leguminosae) en Costa Grande, Guerrero, México. Polibotánica 43:197-217. Doi: 10.18387/polibotanica.43.9.

R Core Team. 2020. The R Project for Statistical Computing. Vienna, Austria. R Foundation for Statistical Computing. https://www.R-project.org/. (14 de octubre de 2021).

Reyes R., J., D. J. Pimienta de la T., J. A. Rodríguez M., M. A. Fuentes P. y E. Palomeque F. 2018. Calidad de planta de Gmelina arborea Roxb. producida con diferentes mezclas de sustratos en vivero. Revista Mexicana de Ciencias Forestales 9(47):111-130. Doi: 10.29298/rmcf.v9i47.163.

Rocha, O. J., C. Gómez, J. L. Hamrick, D. W. Trapnell, P. E. Smouse and G. Macaya. 2018. Reproductive consequences of variation in flowering phenology in the dry forest tree Enterolobium cyclocarpum in Guanacaste, Costa Rica. American Journal of Botany 105(12):2037-2050. Doi: 10.1002/ajb2.1205.

Salas-Morales, S. H., A. Saynes-Vasquez y L. Schibli. 2003. Flora de la costa de Oaxaca, México: Lista florística de la región de Zimatán. Boletín de la Sociedad Botánica de México 72:21-58. Doi: 10.17129/botsci.1669.

Tsakaldimi, M., P. Ganatsas and D. F. Jacobs. 2013. Prediction of planted seedling survival of five Mediterranean species based on initial seedling morphology. New Forests 44(3):327–339. Doi: 10.1007/s11056-012-9339-3.

Velasco-García, M. V., M. L. Hernández-Hernández, C. Ramírez-Herrera, M. E. Romero-Sánchez y L. Muñoz-Gutiérrez. 2019. Mortalidad y sanidad de procedencias de Enterolobium cyclocarpum (Jacq.) Griseb. en la costa de Oaxaca. Revista Mexicana de Ciencias Forestales 10(56):196-217. Doi: 10.29298/rmcf.v10i56.462.

 

        

Todos los textos publicados por la Revista Mexicana de Ciencias Forestales sin excepción– se distribuyen amparados bajo la licencia Creative Commons 4.0 Atribución-No Comercial (CC BY-NC 4.0 Internacional), que permite a terceros utilizar lo publicado siempre que mencionen la autoría del trabajo y a la primera publicación en esta revista.