Revista Mexicana de Ciencias Forestales Vol. 13 (74)

Noviembre – Diciembre (2022)

Logotipo, nombre de la empresa

Descripción generada automáticamente

DOI: https://doi.org/10.29298/rmcf.v13i74.1272

Artículo

Evaluación de sustratos y tratamientos para mitigar el estrés hídrico en una plantación de Enterolobium cyclocarpum (Jacq.) Griseb.

Evaluation of substrates and treatments for water stress mitigation in an Enterolobium cyclocarpum (Jacq.) Griseb. plantation

 

Adrián Botello Montoya1, Eduardo Alanís Rodríguez1*, José Ángel Sigala Rodríguez2, Jesús Eduardo Silva García3, Luis Daniel Ruiz Carranza1

 

Fecha de recepción/Reception date: 5 Marzo de 2022

Fecha de aceptación/Acceptance date: 29 de septiembre de 2022

_______________________________

1Facultad de Ciencias Forestales, Universidad Autónoma de Nuevo León. México.

2Campo Experimental Valle del Guadiana. INIFAP. México.

3Cobano Consultoría Integral Forestal y Medio Ambiental S. A. de C. V. México.

 

*Autor para correspondencia; correo-e: eduardoforestal@gmail.com

*Corresponding author; e-mail: eduardoforestal@gmail.com

Resumen

Enterolobium cyclocarpum es una especie arbórea multipropósito cuyo crecimiento y supervivencia en plantaciones se desconoce. El objetivo fue evaluar el efecto de tres medios de crecimiento en vivero y tratamientos auxiliares para mitigar el estrés hídrico en el desempeño de plantas de E. cyclocarpum establecidas en campo. Las semillas se sembraron en tres diferentes tipos de sustrato: 1) mezcla base (turba, vermiculita y agrolita), 2) composta aeróbica, y 3) tierra de monte. Cada grupo de plantas por tipo de sustrato se dividió en cuatro subgrupos a los que se les asignó diferente tratamiento auxiliar para mitigar el estrés hídrico: 1) riego, 2) hidrogel (2 g planta-1), 3) hidrogel (4 g planta-1), y 4) condiciones naturales (testigo). Los resultados indican que el tipo de sustrato influye en la supervivencia y crecimiento de las plantas, siendo la tierra de monte la que promueve mayores valores. La relación entre el diámetro de plantas con la probabilidad de supervivencia fue positiva; esta variable es un indicador de la supervivencia en campo durante los primeros años de la plantación. El tratamiento auxiliar para mitigar el estrés hídrico afectó significativamente el crecimiento en diámetro y altura; el riego aumentó los valores, con excepción del diámetro en mezcla base.

Palabras clave: Crecimiento, combinación, composta, hidrogel, supervivencia, sustrato.

Abstract

Enterolobium cyclocarpum is a multipurpose tree species whose growth and survival in plantations are unknown. The objective was to evaluate the effect of different nursery growing media and auxiliary treatments to mitigate water stress on the performance of E. cyclocarpum plants established in the field. The seeds were sown in three different types of substrates: 1) base mixture (peat, vermiculite and agrolite), 2) aerobic compost and 3) native soil. Each group of plants by type of substrate was divided into four subgroups that were assigned different auxiliary treatment to mitigate water stress: 1) irrigation, 2) hydrogel (2 g plant-1), 3) hydrogel (4 g plant-1) and 4) natural conditions (control). The results indicate that the type of substrate influences the survival and growth of the plants, being native soil the one that promotes higher values. It was found that there is a positive relationship between the diameter of the plants and the probability of survival, this variable being a basic quality indicator of the plants grown in the nursery. The auxiliary treatment of hydric stress significantly affected the growth in diameter and height, being irrigation the one that increased the values, with the exception of the diameter in the base mixture.

Keywords: Growth, combination, compost, hydrogel, survival, substrates. 

 

Introducción

 

 

Enterolobium cyclocarpum (Jacq.) Griseb. es un árbol multipropósito que se desarrolla en ecosistemas tropicales como selvas altas perennifolias, medianas subcaducifolias, medianas subperennifolias y bajas caducifolias (Salas-Morales et al., 2003; Pennington y Sarukhán, 2005). En México, su distribución comprende desde Sinaloa hasta Chiapas por el Pacífico y de Tamaulipas a la Península de Yucatán por el Golfo de México (Pennington y Sarukhán, 2005).

En sus áreas de distribución, esta especie se usa principalmente para fines de restauración de sitios degradados, sistemas agroforestales, así como en plantaciones forestales comerciales (Muñoz-Flores et al., 2016; Velasco-García et al., 2019). Sin embargo, las tasas de supervivencia son bajas durante el primer año de establecimiento, asociadas principalmente al origen del germoplasma (Muñoz et al., 2013), la mala calidad del sitio de plantación, afectaciones por plagas, enfermedades o herbivoría (Cibrián, 2013; Velasco-García et al., 2019), e incluso por las sequías (Hernández-Hernández et al., 2019).

La explotación de E. cyclocarpum con fines maderables, repercute negativamente en su regeneración natural y, en consecuencia, aumenta la fragmentación de sus poblaciones (Olivares-Pérez et al., 2011). Debido a ello, es preponderante establecer plantaciones que permitan su aprovechamiento sustentable. No obstante, todavía existen vacíos de conocimiento entorno a las prácticas más adecuadas para incrementar las tasas de supervivencia y productividad de las plantaciones (Basave et al., 2014; Hernández-Hernández et al., 2019).

Las prácticas de cultivo en vivero tienen un efecto directo en la calidad de planta y, por lo tanto, en el desempeño de las plantaciones (Grossnickle, 2012). Asimismo, la supervivencia y crecimiento de las plantas en campo depende, en cierta medida, de los métodos o técnicas empleados en el proceso de plantado (Löf et al., 2012). En este contexto, el objetivo del presente estudio fue evaluar el efecto de diferentes medios de crecimiento en vivero y tratamientos auxiliares para mitigar el estrés hídrico en el desempeño de plantas de E. cyclocarpum establecidas en campo. La hipótesis fue que el tipo de sustrato influye en la supervivencia y crecimiento de las plantas, y los tratamientos auxiliares podrían promover un mejor desempeño de dicha especie en plantaciones forestales o en reforestaciones.

 

 

Materiales y Métodos

 

 

Recolecta de semillas y producción de la planta

 

 

La producción de la planta se llevó a cabo en el vivero del rancho Los Tulillos, en el municipio Tzitzio, Michoacán (Figura 1). Las semillas se recolectaron en la misma localidad, entre mayo y junio de 2019. Previo a la siembra, las semillas se escarificaron con pinzas mecánicas para homogeneizar la germinación. La siembra se hizo en bolsas de polietileno de baja densidad calibre 400 de 13×25 cm y con cuatro perforaciones. Las bolsas se llenaron con tres diferentes tipos de sustrato: 1) mezcla base: turba, vermiculita y agrolita, a razón de 2:1:1, con 4 g L-1 de fertilizante de liberación controlada; 2) composta aeróbica, compuesta de estiércol de ganado vacuno; y 3) tierra de monte, obtenida en un área de selva baja caducifolia. En total se produjeron 200 plantas por tipo de sustrato. Los riegos se aplicaron de forma manual con regadera cada tercer día. El periodo de cultivo en vivero fue de tres meses, previo a la salida de la planta a campo.

 

Figura 1. Localización del sitio de plantación y ubicación de árboles de Enterolobium cyclocarpum (Jacq.) Griseb.

  

 

Establecimiento y monitoreo de la plantación

 

 

La plantación se estableció en el año 2019 en la región conocida como Tierra Caliente, en las coordenadas 19°18’33.5” N y 100°52’32.3” O a 750 metros sobre el nivel del mar, en el municipio Tzitzio, Michoacán (Figura 1). El clima predominante de acuerdo con la clasificación de Köppen modificado por García (2004), es cálido subhúmedo A(wo) con lluvias en verano, precipitación media anual de 994.3 mm y temperatura media anual de 23.4 °C (Inegi, 2017). El tipo de suelo según la clasificación FAO/Unesco modificada por Detenal (1979) es vertisol crómico, considerado como suelo arcilloso, de color pardo o rojizo.

La plantación se realizó en temporada de lluvias, entre el 29 de julio y 3 de agosto del 2019, en un sitio degradado con historial de uso agrícola. Se plantaron 200 plantas por tipo de sustrato, con distribución en marco real y separación de 4 m entre plantas. Cada grupo de plantas por tipo de sustrato se dividió en cuatro subgrupos que se asignaron a diferente tratamiento auxiliar para mitigar el estrés hídrico: 1) riego, 2) hidrogel (2 g planta-1), 3) hidrogel (4 g planta-1) y 4) condiciones naturales (testigo). Los riegos se realizaron cada tercer día, aplicando 16 L por planta. El hidrogel utilizado es un polímero superabsorbente hecho de poliacrilato de potasio, fórmula —CH2CH (CO2K), densidad 1.22 g por cm3, su capacidad de absorción es 100 veces su peso. Este producto se mezcló con el sustrato de la misma cepa y se depositó al momento de la plantación.

El experimento se estableció bajo un diseño en parcelas divididas con arreglo factorial 4×3 de los tratamientos. Las parcelas grandes fueron los tratamientos para mitigar el estrés hídrico. Dentro de esas parcelas, se distribuyeron los tratamientos de tipo de sustrato (parcelas chicas). Para cada tipo de sustrato dentro de las parcelas grandes, se hicieron cinco repeticiones de 10 plantas distribuidas completamente al azar. En total, 600 individuos se plantaron en una superficie de 0.96 ha. Una vez plantado, se registraron los valores de altura (cm) y diámetro a nivel del suelo (mm) de cada planta y se colocó una etiqueta con un número de identificación para su monitoreo. A los 10 meses del establecimiento, se evaluó la supervivencia de las plantas, para ello se asignó el valor de 0 a la planta muerta y 1 a la viva. Asimismo, en cada planta viva se midió la altura del tallo (cm) con un flexómetro Truper Gripper modelo FH-3M de 3 metros y el diámetro a nivel del suelo (mm) con un Vernier Ultratech modelo H-7352.

 

 

Análisis de datos

 

 

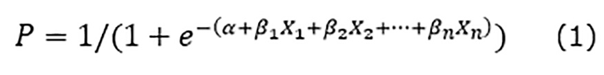
Los datos se analizaron con el programa R (R Core Team, 2020). Para la supervivencia, se utilizó el ajuste de un modelo lineal generalizado con una distribución binomial y función de vínculo ‘logit’, en el cual se incluyó el efecto del sustrato, el tratamiento auxiliar y su interacción como variables explicativas. Asimismo, se consideró el diámetro y altura iniciales como covariables (Ecuación 1).

 

    

Donde:

 

 

 

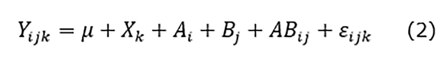
El efecto del sustrato, el tratamiento auxiliar y su interacción en el diámetro y altura, se analizó mediante un análisis de varianza (ANOVA) de dos vías. Para el modelo de altura y el de diámetro, se incluyó la altura y diámetro iniciales, respectivamente, como covariables para considerar las posibles diferencias iniciales entre tratamientos (Ecuación 2).

 

  

 

Donde:

 

En todos los casos, se revisaron los supuestos de normalidad de residuos del modelo y homogeneidad de varianzas mediante la prueba de Shapiro-Wilks y Levene, respectivamente. En ambas variables, fue necesaria la transformación con la función de logaritmo natural para cumplir dichos supuestos (p>0.05).

 

Resultados

 

 

A 10 meses de establecida la plantación, el tipo de sustrato tuvo efecto significativo sobre la supervivencia de las plantas (Chi2=10.62, p=0.005). Las plantas cultivadas en tierra de monte mostraron mayor supervivencia que las producidas con la mezcla base y composta. Al final del estudio, las plantas en tierra de monte alcanzaron 76 % de supervivencia, mientras que las plantas en mezcla base y composta tuvieron 62 y 65 %, respectivamente. Asimismo, independientemente del tratamiento, la relación de la supervivencia con el diámetro inicial de los individuos fue significativa (Chi2=20.51, p<0.001) (Figura 2). La razón de probabilidad de supervivencia en función del diámetro fue de 1.44, lo cual indica que el aumento en 1 mm de diámetro de las plantas de vivero incrementa 1.4 veces la probabilidad de supervivencia en campo. Por otra parte, el tratamiento auxiliar para mitigar el estrés hídrico no influyó significativamente sobre la supervivencia (Chi2=1.07, p=0.785).

 

Figura 2. Probabilidad de supervivencia de plantas de Enterolobium cyclocarpum (Jacq.) Griseb a 10 meses de su establecimiento en función del diámetro inicial al plantar y el sustrato de cultivo en vivero.

 

En general, el tratamiento auxiliar para mitigar el estrés hídrico afectó significativamente el crecimiento en diámetro (F=15.17, p<0.001), no así el tipo de sustrato (F=2.01, p=0.135). Sin embargo, la interacción del tratamiento auxiliar con el sustrato fue significativa (F=4.23, p<0.001). Esta interacción evidenció que la respuesta al tratamiento auxiliar fue distinta en cada tipo de sustrato. Si bien, el riego incrementó el crecimiento en diámetro con respecto al testigo, su efecto fue significativo solo en las plantas cultivadas en composta (Figura 3). Los tratamientos con hidrogel, indujeron mayor crecimiento en diámetro con respecto al testigo, pero únicamente en las cultivadas en tierra de monte. Por último, el efecto de los tratamientos auxiliares para mitigar el estrés hídrico no fue significativo en plantas cultivadas con la mezcla base, con respecto al testigo.

 

Figura 3. Medias±EE de diámetro en plantas de Enterolobium cyclocarpum (Jacq.) Griseb. a 10 meses de establecimiento, cultivadas en tres tipos de sustratos y plantadas con diferentes tratamientos auxiliares para mitigar el estrés hídrico. Las diferencias entre medias que no comparten la misma letra son significativas (α=0.05).

 

Los tratamientos auxiliares para mitigar el estrés hídrico tuvieron efecto altamente significativo en la altura de las plantas (F=28.83, p<0.001). Por el contrario, el tipo de sustrato no incidió en el crecimiento en altura (F=0.97, p=0.378); no obstante, la interacción del tratamiento auxiliar con el sustrato fue significativa (F=3.14, p=0.005).

Para los tres tipos de sustrato, el tratamiento con riego mejoró significativamente el crecimiento en altura, en comparación con el testigo (Figura 4). En plantas cultivadas en composta, el riego dio resultados superiores que la aplicación de hidrogel. Los tratamientos con hidrogel no incrementaron significativamente la altura en relación al testigo, excepto el tratamiento con cuatro gramos de hidrogel en las plantas cultivadas con tierra de monte (Figura 4).

 

Figura 4. Medias±EE de altura en plantas de Enterolobium cyclocarpum (Jacq.) Griseb. a 10 meses de establecimiento, cultivadas en tres tipos de sustratos y plantadas con diferentes tratamientos auxiliares para mitigar el estrés hídrico. Las diferencias entre medias que no comparten la misma letra son significativas (α=0.05).

 

 

 

Discusión

 

 

En el presente estudio, se demostró que el tipo de sustrato con el cual se cultivan las plantas de E. cyclocarpum en vivero influye en la supervivencia a edad temprana del establecimiento en campo. Por el contrario, la aplicación de los tratamientos auxiliares para el estrés hídrico incidió principalmente en el crecimiento, aunque su efecto dependió también del tipo de sustrato utilizado en vivero.

En la producción de planta, el sustrato es el elemento que da soporte a la planta. El tipo de sustrato afecta el crecimiento y la arquitectura radical, además influye en la cohesión e integridad del cepellón (Landis, 1990). Este último aspecto se considera un rasgo importante para la calidad de planta cultivada en vivero (Pemán et al., 2017), ya que la adecuada integridad o conformación del cepellón tiene un efecto positivo en la supervivencia de las plantas, particularmente en sitios con suelos degradados (Grossnickle y El-Kassaby, 2016).

En el presente estudio, la tierra de monte propició mayor supervivencia de E. cyclocarpum en comparación con los otros sustratos. En una inspección visual, se observó mejor conformación del cepellón con la tierra de monte, lo que posiblemente mejoró la capacidad de supervivencia de las plantas. Otras características de los sustratos locales, como el contenido de nutrientes adicionales y microorganismos benéficos, pueden mejorar el desempeño de las plantas (Jacobs y Landis, 2014). La tierra de monte se emplea ampliamente en la producción de planta de otras especies forestales con buenos resultados en variables indicadoras de la calidad de planta (López et al.,2018; Reyes et al.,2018). Sin embargo, las características físicas y químicas de estos sustratos varían con el tiempo y entre localidades, lo cual limita la estandarización y el mejoramiento continuo de las prácticas culturales en los viveros (Bakry et al., 2012).

Un hallazgo importante fue la relación positiva del diámetro de las plantas con la probabilidad de supervivencia. Dicho efecto resalta la importancia de considerar el diámetro como un indicador básico de la supervivencia de E. cyclocarpum en los primeros años de la plantación en campo. Este resultado concuerda con estudios que muestran que las plantas con mayor diámetro tienden a sobrevivir mejor que aquellas de menor diámetro (Orozco et al., 2010; Grossnickle, 2012). Al respecto, se ha sugerido que el diámetro tiene una relación directa con ciertas características del sistema radical como el volumen o la arquitectura (Jacobs et al., 2005). Asimismo, es probable que las plantas con mayor diámetro tengan más reservas de carbohidratos y nutrientes (Tsakaldimi et al., 2013), lo que a su vez influye en la probabilidad de supervivencia en campo. Además, plantas con mayor diámetro tienen más resistencia y resiliencia a daños físicos causados por agentes bióticos y abióticos.

E. cyclocarpum habita en el bosque tropical seco y con tolerancia a la sequía (Foroughbakhch et al., 2006; Laborde y Corrales-Ferrayola, 2012). En este sentido, es probable que la aplicación de algún tratamiento auxiliar para mitigar el estrés hídrico no tenga un impacto significativo en las tasas de supervivencia, tal como se observó en el presente estudio. Aunque en la investigación que aquí se documenta, es posible que las plantas no hayan estado expuestas al estrés hídrico debido a la elevada precipitación en el sitio de plantación. Por otra parte, en etapas juveniles, E. cyclocarpum presenta tasas altas de crecimiento (Foroughbakhch et al., 2006; Rocha et al., 2018), y su desempeño aumenta considerablemente bajo condiciones favorables de humedad y fertilidad (Craven et al., 2007; Pineda-Herrera et al., 2017). Por lo tanto, ello puede explicar que el efecto positivo de la aplicación del tratamiento auxiliar para mitigar el estrés hídrico, se haya manifestado en el crecimiento, más que en la supervivencia de las plantas.

El riego fue el tratamiento auxiliar que incrementó en mayor medida el crecimiento en comparación con el testigo. La aplicación de hidrogel no mejoró significativamente el crecimiento de las plantas. Sin embargo, en plantas cultivadas con tierra de monte, se observó más crecimiento en diámetro con la aplicación de hidrogel.

El principal beneficio de los hidrogeles, es el aumento de la capacidad de retención de humedad del suelo o medio de crecimiento donde se incorpore (Chen et al., 2004). Sin embargo, la efectividad de estos polímeros dependerá de múltiples factores como el tipo de polímero, tamaño de sus partículas, la dosis, la cantidad de agua disponible, el método de aplicación, entre otros (Crous, 2017). También, las propiedades físicas y químicas del suelo suelen afectar la eficacia de los hidrogeles (Agaba et al., 2010; Crous, 2017). En este sentido, la respuesta variable de las plantas a la aplicación del hidrogel pudo relacionarse con las diferencias en las características fisicoquímicas de los sustratos. No obstante, se requieren más investigaciones para estudiar a profundidad dichas relaciones.

 

 

Conclusiones

 

 

Se acepta la hipótesis planteada que el tipo de sustrato influye en la supervivencia y crecimiento de las plantas de Enterolobium cyclocarpum, y la tierra de monte promueve un mejor desempeño. El diámetro puede ser un indicador de la supervivencia de E. cyclocarpumen edades tempranas después de plantar. El tratamiento auxiliar para mitigar el estrés hídrico, incide más en el crecimiento que en la supervivencia. Es recomendable considerar las condiciones de precipitación y humedad del sitio de plantación para precisar la necesidad de aplicación de este tipo de tratamientos. Los resultados contribuyen a promover un mejor desempeño de la especie de estudio en plantaciones comerciales o en reforestaciones.

 

Agradecimientos

 

Agradecemos al Consejo Nacional de Ciencia y Tecnología (Conacyt) por la beca otorgada al primer autor para realizar sus estudios de posgrado.

 

Conflicto de intereses

 

Los autores declaran no tener algún conflicto de intereses.

 

Contribución por autor

 

Adrián Botello Montoya: trabajo de campo, análisis estadístico y preparación del manuscrito; Eduardo Alanís Rodríguez: concepción de la investigación, supervisión del proyecto y redacción de la metodología; José Ángel Sigala Rodríguez: análisis estadístico, generación de gráficos y redacción de resultados; Jesús Eduardo Silva García: trabajo de campo y redacción de discusión; Luis Daniel Ruiz Carranza: gestión de los recursos económicos, trabajo de campo y redacción de la introducción. Todos los autores revisaron y aprobaron el documento final.

 

 

Referencias

 

Agaba, H., L. J. Baguma O., J. F. Osoto E., J. Obua, J. D. Kabasa and A. Hüttermann. 2010. Effects of hydrogel amendment to different soils on plant available water and survival of trees under drought conditions. CLEAN–Soil, Air, Water 38(4):328–335. Doi: 10.1002/clen.200900245.

Bakry, M., M. S. Lamhamedi, J. Caron, H. Margolis, … and D. C. Stowe. 2012. Are composts from shredded leafy branches of fast-growing forest species suitable as nursery growing media in arid regions? New Forests 43(3):267–286. Doi: 10.1007/s11056-011-9280-x.

Basave V., E., M. A. López L., V. M. Cetina A., A. Aldrete y J. J. Almaraz S. 2014. Prácticas culturales en vivero que influyen en la calidad de planta de Enterolobium cyclocarpum. Bosque 35(3):301-309. Doi: 10.4067/s0717-92002014000300005.

Chen, S., M. Zommorodi, E. Fritz, S. Wang and A. Hüttermann. 2004. Hydrogel modified uptake of salt ions and calcium in Populus euphratica under saline conditions. Trees 18(2):175-183. Doi: 10.1007/s00468-003-0267-x.

Cibrián T., D. 2013. Manual para la identificación y manejo de plagas en plantaciones forestales comerciales. Universidad Autónoma Chapingo. Texcoco, Edo. Méx., México. 229 p.

Craven, D., D. Braden, M. S. Ashton, G. P. Berlyn, M. Wishnie and D. Dent. 2007. Between and within-site comparisons of structural and physiological characteristics and foliar nutrient content of 14 tree species at a wet, fertile site and a dry, infertile site in Panama. Forest Ecology and Management 238(1-3):335-346. Doi: 10.1016/j.foreco.2006.10.030.

Crous, J. W. 2017. Use of hydrogels in the planting of industrial wood plantations. Southern Forests: a Journal of Forest Science 79(3):197-213. Doi: 10.2989/20702620.2016.1221698.

Dirección de Estadística del Territorio Nacional (Detenal). 1979. Cartas Edafológicas E 14A14 Zinapécuaro, E 14A22 Pátzcuaro y E 14A24 Tzitzio. Escala 1:50 000. México. (Material impreso) https://mapoteca.siap.gob.mx/index.php/coleccion-del-instituto-nacional-de-estadistica-geografia-e-informatica-inegi/. (4 de abril de 2022).

Foroughbakhch, R., M. A. Alvarado-Vázquez, J. L. Hernández-Piñero, A. Rocha-Estrada, M. A. Guzmán-Lucio and E. J. Treviño-Garza. 2006. Establishment, growth and biomass production of 10 tree woody species introduced for reforestation and ecological restoration in northeastern Mexico. Forest Ecology and Management 235(1-3):194-201. Doi: 10.1016/j.foreco.2006.08.012.

García, E. 2004. Modificaciones al sistema de clasificación climática Köppen. Serie Libros, Núm. 6. Instituto de Geografía, Universidad Nacional Autónoma de México. Coyoacán, D. F., México. 91 p.

Grossnickle, S. C. 2012. Why seedlings survive: influence of plant attributes. New Forests 43(5-6):711–738. Doi: 10.1007/s11056-012-9336-6.

Grossnickle, S. C. and Y. A. El-Kassaby. 2016. Bareroot versus container stocktypes: a performance comparison. New Forests 47(1):1–51. Doi: 10.1007/s11056-015-9476-6.

Hernández-Hernández, M. L., M. V. Velasco-García, J. López-Upton, R. Galán-Larrea, C. Ramírez-Herrera y H. Viveros-Viveros. 2019. Crecimiento y supervivencia de procedencias de Enterolobium cyclocarpum en la costa de Oaxaca, México. Bosque 40(2):173-183. Doi: 10.4067/s0717-92002019000200173.

Instituto Nacional de Estadística y Geografía (Inegi). 2017. Anuario estadístico y geográfico de Michoacán de Ocampo. Instituto Nacional de Estadística y Geografía. Aguascalientes, AGS, México. 723 p. https://www.inegi.org.mx/contenidos/productos/prod_serv/contenidos/espanol/bvinegi/productos/nueva_estruc/anuarios_2017/702825092092.pdf. (22 de marzo de 2022).

Jacobs, D. F. and T. D. Landis. 2014. Plant nutrition and fertilization. In: Wilkinson, K. M., T. D. Landis, D. L. Haase, B. F. Daley and R. K. Dumroese (eds.). Tropical nursery manual. A guide to starting and operating a nursery for native and traditional plants. Agriculture Handbook 732. United State Department of Agriculture, Forest Service. Washington, DC, USA. pp. 233–251.

Jacobs, D. F., K. F. Salifu and J. R. Seifert. 2005. Relative contribution of initial root and shoot morphology in predicting field performance of hardwood seedlings. New Forest 30(2):235–251. Doi: 10.1007/s11056-005-5419-y.

Laborde, J. and I. Corrales-Ferrayola. 2012. Direct seeding of Brosimum alicastrum Sw. (Moraceae) and Enterolobium cyclocarpum (Jacq.) Griseb. (Mimosaceae) in different habitats in the dry tropics of central Veracruz. Acta Botánica Mexicana (100):107-134. Doi: 10.21829/abm100.2012.33.

Landis, T. D. 1990. Groing media. In: Landis, T. D. (edit.). The container tree nursery. Manual Volume 2. Agricultural Handbook 674. United State Department of Agriculture, Forest Service. Washington, DC, USA. pp. 43-85. https://rngr.net/publications/ctnm/volume-2. (15 de octubre de 2021).

Löf, M., D. C. Dey, R. M. Navarro and D. F. Jacobs. 2012. Mechanical site preparation for forest restoration. New Forests 43(5-6):825–848. Doi: 10.1007/s11056-012-9332-x.

López L., B., P. Gálvez A., B. Calleja P., J. Méndez G. y J. M. Ríos C. 2018. Sustratos orgánicos en la germinación y crecimiento de Pinus ayacahuite var. veitchii (Roezl) Shaw en vivero. Revista Mexicana de Ciencias Forestales 9(49):110-124. Doi: 10.29298/rmcf.v9i49.156.

Muñoz F., H. J., J. J. García M., G. Orozco G., V. M. Coria Á. y M. B. Nájera-Rincón. 2013. Evaluación de una plantación con dos especies tropicales cultivadas en diferentes tipos de envases. Revista Mexicana de Ciencias Forestales 4(18):28-43. Doi: 10.29298/rmcf.v4i18.387.

Muñoz-Flores, H. J., J. T. Sáenz-Reyes, A. Rueda-Sánchez, D. Castillo-Quiroz, F. Castillo-Reyes and D. Y. Ávila-Flores. 2016. Areas with potential for commercial timber plantations of Enterolobium cyclocarpum (Jacq.) Griseb. in Michoacán, México. Open Journal of Forestry 6(5):476-485. Doi: 10.4236/ojf.2016.65036.

Olivares-Pérez, J., F. Avilés-Nova, B. Albarrán-Portillo, S. Rojas-Hernández y O. A. Castelán-Ortega. 2011. Identificación, usos y medición de leguminosas arbóreas forrajeras en ranchos ganaderos del sur del Estado de México. Tropical and Subtropical Agroecosystems 14(2):739-748. http://www.scielo.org.mx/pdf/tsa/v14n2/v14n2a32.pdf. (15 de octubre de 2021).

Orozco G., G., H. J. Muñoz F., A. Rueda S., J. Á. Sigala R., J. Á. Prieto R. y J. J. García M. 2010. Diagnóstico de la calidad de planta en los viveros forestales del estado de Colima. Revista Mexicana de Ciencias Forestales 1(2):135-146. Doi: 10.29298/rmcf.v1i2.641.

Pemán, J., E. Chirino, J. M. Espelta, D. F. Jacobs, … and E. Gil-Peregrín. 2017. Physiological keys for natural and artificial regeneration of oaks. In: Gil-Peregrín, E., J. J. Peguero-Pina and D. Sancho-Knapik (edits.). Oaks Physiological Ecology. Exploring the functional diversity of genus Quercus L. Springer Cham. Zurich, ZH, Switzerland. pp. 453–511.

Pennington, T. D. y J. Sarukhán. 2005. Árboles tropicales de México: Manual para la identificación de las principales especies. Universidad Nacional Autónoma de México y Fondo de Cultura Económica. Coyoacán, D. F., México. 523 p.

Pineda-Herrera, E., J. I. Valdez-Hernández, C. P. Pérez-Olvera y R. Dávalos-Sotelo. 2017. Fenología, incremento en diámetro y periodicidad de anillos de crecimiento de Enterolobium cyclocarpum (Jacq.) Griseb. (Leguminosae) en Costa Grande, Guerrero, México. Polibotánica 43:197-217. Doi: 10.18387/polibotanica.43.9.

R Core Team. 2020. The R Project for Statistical Computing. Vienna, Austria. R Foundation for Statistical Computing. https://www.R-project.org/. (14 de octubre de 2021).

Reyes R., J., D. J. Pimienta de la T., J. A. Rodríguez M., M. A. Fuentes P. y E. Palomeque F. 2018. Calidad de planta de Gmelina arborea Roxb. producida con diferentes mezclas de sustratos en vivero. Revista Mexicana de Ciencias Forestales 9(47):111-130. Doi: 10.29298/rmcf.v9i47.163.

Rocha, O. J., C. Gómez, J. L. Hamrick, D. W. Trapnell, P. E. Smouse and G. Macaya. 2018. Reproductive consequences of variation in flowering phenology in the dry forest tree Enterolobium cyclocarpum in Guanacaste, Costa Rica. American Journal of Botany 105(12):2037-2050. Doi: 10.1002/ajb2.1205.

Salas-Morales, S. H., A. Saynes-Vasquez y L. Schibli. 2003. Flora de la costa de Oaxaca, México: Lista florística de la región de Zimatán. Boletín de la Sociedad Botánica de México 72:21-58. Doi: 10.17129/botsci.1669.

Tsakaldimi, M., P. Ganatsas and D. F. Jacobs. 2013. Prediction of planted seedling survival of five Mediterranean species based on initial seedling morphology. New Forests 44(3):327–339. Doi: 10.1007/s11056-012-9339-3.

Velasco-García, M. V., M. L. Hernández-Hernández, C. Ramírez-Herrera, M. E. Romero-Sánchez y L. Muñoz-Gutiérrez. 2019. Mortalidad y sanidad de procedencias de Enterolobium cyclocarpum (Jacq.) Griseb. en la costa de Oaxaca. Revista Mexicana de Ciencias Forestales 10(56):196-217. Doi: 10.29298/rmcf.v10i56.462.

 

        

Todos los textos publicados por la Revista Mexicana de Ciencias Forestales sin excepción– se distribuyen amparados bajo la licencia Creative Commons 4.0 Atribución-No Comercial (CC BY-NC 4.0 Internacional), que permite a terceros utilizar lo publicado siempre que mencionen la autoría del trabajo y a la primera publicación en esta revista.