Revista Mexicana de Ciencias Forestales Vol. 13 (74)

Noviembre – Diciembre (2022)

Logotipo, nombre de la empresa

Descripción generada automáticamente

DOI: https://doi.org/10.29298/rmcf.v13i74.1260

Article

A meteorological monitoring system in a temperate forest from landscape analysis

Sistema de monitoreo meteorológico en un bosque templado a partir de análisis del paisaje

 

Gabriel Humberto Virgen-Cobos1, Jesús David Gómez-Díaz2, Ma. Amparo Borja-de la Rosa1, Adán Guillermo Ramírez-García3, Alejandro Ismael Monterroso-Rivas2*

 

Fecha de recepción/Reception date: 16 marzo de 2022

Fecha de aceptación/Acceptance date: 5 de octubre de 2022

_______________________________

1División de Ciencias Forestales, Universidad Autónoma Chapingo. México.

2Departamento de Suelos, Universidad Autónoma Chapingo. México.

3Centro Regional Universitario del Noroeste, Universidad Autónoma Chapingo. México.

 

*Autor para correspondencia; correo-e: aimrivas@correo.chapingo.mx

*Corresponding author; e-mail: aimrivas@correo.chapingo.mx

 

Abstract

Monitoring meteorological variables is essential in studying plant biophysical processes such as the development and growth, capture and retention of water, increase of nutrients and use of environmental services. The objective of this work was to propose a meteorological monitoring system based on the analysis of the natural environment to provide a representative database. The proposal was developed in Zoquiapan Experimental Forest Station, central Mexico. Methods include the representativeness of the biophysical conditions in a semi-cold temperate forest in central Mexico. First, maps of geoforms, climate and vegetation were generated to delimit the homogeneous cartographic landscape units. Subsequently, utilizing location criteria, three cartographic units were selected to establish three meteorological stations. The monitoring system has two Davis Instruments automatic stations and another with an Arduino open-source microcontroller. Data is recovered monthly on a laptop with a USB cable. Before the installation of the stations, the sensors were subjected to a comparison with a reference station. It was shown that the data of the first days of operation revealed differences in the climate between the units concluding that locating the stations on an altitudinal trajectory can contribute to relating the climate with different vegetation and geoforms.

Keywords: Cartographic units, comparison, geoform, installation, meteorological stations, representativeness.

Resumen

El monitoreo de variables meteorológicas es importante para el estudio de procesos biofísicos como el desarrollo y crecimiento de plantas, captura y retención de agua, aumento de nutrientes y aprovechamiento de servicios ambientales. El objetivo del estudio fue proponer un sistema de monitoreo meteorológico a partir del análisis del medio natural que proporcione una base de datos representativa. La propuesta se desarrolló en la Estación Forestal Experimental Zoquiapan, en el centro de México. El método incluyó la representatividad de las condiciones biofísicas en un bosque con clima templado semifrío. Primero, se generaron mapas de geoformas, clima y vegetación para delimitar las unidades cartográficas homogéneas de paisaje. Posteriormente, mediante criterios de emplazamiento, se seleccionaron tres unidades cartográficas para el establecimiento de tres estaciones meteorológicas. Los resultados incluyeron la caracterización del paisaje, así como la propuesta para establecer las estaciones meteorológicas. El sistema se integró con dos estaciones automáticas Davis Instruments y otra que opera con microcontrolador de código abierto Arduino. Los datos se recuperan mensualmente en una computadora portátil con cable USB. Antes de la instalación de las estaciones, las mediciones dadas por los sensores se compararon con los valores de una estación de referencia. Los datos de los primeros días de operación revelaron diferencias en las variables de las unidades de paisaje, y se concluye que ubicar las estaciones en una trayectoria altitudinal puede contribuir a relacionar el clima con diferente vegetación y geoformas.

Palabras clave: Unidades cartográficas, comparación, geoforma, instalación, estaciones meteorológicas, representatividad.

 

 

 

Introduction

 

 

Climate change is a phenomenon that implies a global problem with regional consequences affected by natural and anthropogenic systems. The leading causes of this process are the changes in the concentration of greenhouse gases due to anthropogenic sources (IPCC, 2021). These changes have impacted and modified the natural environment generating an imbalance in ecosystems and natural resources (Gómez-Mendoza and Arriaga, 2007). As a result, concern about climate change has increased; therefore, social, political and scientific initiatives have been created to act on this matter (Reyes et al., 2018).

Monitoring meteorological variables is essential in the study and use of biophysical processes, for example, plant development and growth, water capture and retention, organism survival and development, increase in nutrients, and taking advantage of environmental services (Brauman, 2015). The most critical variables in these processes are air temperature and humidity, precipitation, solar radiation, photosynthetically active radiation and evaporation (Li, 2014).

Meteorological observations (as well as related environmental and geophysical observations) are performed for several reasons, such as real-time preparation of meteorological analyzes, predictions and weather warnings, climate studies, local weather-sensitive operations (e.g. local aerodrome flight operations or facility construction work terrestrial and marine), hydrology and agricultural meteorology, and meteorological and climatological research (OMM, 2014).

The association between temperature and precipitation is valuable in the study of the sensitivity of conifer growth to climate (Gómez-Mendoza and Arriaga, 2007). Various procedures have been developed to quantify drought; each has strengths and weaknesses. The influence of annual evaporation on vegetation during droughts can be more significant than in seasons with no moisture limitations. Yearly evaporation is affected by climatic elements, such as wind speed, solar radiation, vapour pressure deficit and relative humidity, and can vary at short temporal scales. For this reason, it has a relevant function in climate-plant relationships (Pompa-García et al., 2013).

Gómez-Mendoza and Arriaga (2007) studied the vulnerability to climate change of 34 oak and pine species in Mexico. In this study, they confirm a widely known fact: that climatic variables primarily determine the distribution of many species and communities. Thus, climate changes will modify their distribution and abundance. Some essential climatic variables highlighted in forest ecosystems are changes in precipitation, temperature, evapotranspiration and a higher frequency of fires and storms. The rate of forest disappearance can be faster than their migration or regrowth in new areas.

Zoquiapan Forestry Experimental Station (EFEZ) is a research centre of the Universidad Autónoma Chapingo. Because of the need for meteorological data at the station it was essential to establish a practical, rapid and precise meteorological monitoring system. The goal is to provide meteorological data with autonomy, for better management practices and landscape analysis, as studies associated with vegetation or other ecosystem services.

The study area was first biophysically zoned, dividing the territory to establish a location or activity following biophysical variables. This division selected three homogeneous cartographic landscape units as representatives based on site criteria to install three meteorological stations. The objective of this study was to propose a meteorological monitoring system from the analysis of the natural landscape and homogeneous units that will provide a representative database of the area. The hypothesis is that it is possible to analyze the landscape and, based on its variability, identify sites to establish climate monitoring. The meteorological system comprised two commercial automatic meteorological stations of medium-range (including climate records and research) and one low-cost station with an Arduino open code data recorder. Comparison tests were conducted of the sensors of the three automatic meteorological stations before their installation in the selected sites. 

 

 

Materials and Methods

 

 

Study site

 

 

Zoquiapan Forestry Experimental Station is located in the Northwest of the volcano Iztaccíhuatl and the Southwestern part of the Zoquiapan National Park, at the following coordinates 19°12'30" and 19°20'00" N, and 98°30'00" and 98º42'30" W. It occupies an area of 1 624.23 ha in the altitudinal range of 3 080 to 3 670 m (Blanco et al., 1981) in the municipalities of Ixtapaluca and Chalco, State of Mexico (Figure 1).

 

Figure 1. Map of the study area location.

 

 

Homogeneous cartographic landscape units

 

 

The methodology proposed by Gómez et al. (2008) was used to generate geoforms, climate, and vegetation maps with a Geographic Information System (GIS, ArcMap 10.1) to characterize the homogeneous cartographic landscape units. In this study, we define homogeneous landscape units as those areas that share the same physiographic attributes with minimal spatial variation. The three maps were merged to generate the homogeneous cartographic landscape units, which were assigned a name beginning with soil and vegetation attributes, climate and geoform. The process is described in the following paragraphs.

Geoforms map. The Digital Elevation Model (INEGI, 2016c) of Mexico, Puebla and Tlaxcala state was used to highlight altitudinal ranges, slopes and contour lines. The altitudinal ranges used were delineated every 100 m. The ranges of slope followed the criterion established by the United Nations Environment Program and other institutions in the procedure of digital databases on soils and terrain (van Engelen and Dijkshoorn, 2013) based on the evaluation of soil degradation (Global Assessment of Human-induced Soil Degradation or GLASOD), and the contour lines were every 10 m. Next, the map of geological structures (INEGI, 2016b) and the map of water bodies (INEGI, 2016a) were superimposed to characterize the geomorphological units of the study zone.

Climate map. The climate map was characterized using the methodology of Gómez et al. (2008) by determining annual and monthly temperature and precipitation data. For the first variable, simple linear interpolation methods were complemented with statistical analysis. For the second, a graphic method was used with expert criteria, making analogies with neighbouring areas for which information on this variable was available.

First, with the Extractor Rápido de Información Climática (ERIC, version 1.0) (IMTA, 2016), maximum and minimum temperatures were obtained, and mean annual precipitation from the 22 climatological stations closest to the study area with complete data of at least the last 20 years. The watershed located west (Atoyac River Basin) and within the Central Plateau was considered to determine the influence of winds and select the climatological stations of influence (Juárez et al., 2005).

Temperature map. Data on monthly maximum and minimum temperatures from the climatological stations were used to obtain each station's average annual and monthly temperatures. This aimed to generate simple linear regression equations to calculate the ranges of variation from the elevation for each month and the yearly average. The annual linear regression equation was used to construct the isothermal map at one degree Celsius. Then, the monthly increase was calculated following temperature ranges. Polygons were created by superimposing the contour line map over that of temperature and elevation and calculated with the simple linear regression model in GIS Arc Map 10.1.

Precipitation map. The annual precipitation was obtained from the 22 climatological stations to georeferenced them, according to the coordinates in GIS ArcMap 10.1. With the Digital Elevation Model and the data on annual precipitation from the meteorological stations, the amount of rainfall that could exist in the study area was estimated using analogies with the regions with climatological stations considering the natural vegetation and the influence of the orographic units in the occurrence of rainfall. The procedure is best described in Gómez et al. (2008).

Map of areas of climatic influence. The areas of climatic influence are defined as those with the same annual temperature and precipitation (Gomez et al., 2008). We intersected the maps of mean annual isotherm and mean annual isohyet in GIS ArcMap 10.1 to create the areas of climatic influence. Monthly and yearly values for temperature and precipitation were estimated for each area to determine the climate type using the Köppen climate classification system modified by García (2004).

Final climate map. Once the climate type was determined, the polygons with the same climate type were merged to obtain the climate map.

Vegetation map. A detailed delineation of land use and vegetation types was done using Series V of Land Use and Vegetation (INEGI, 2016d) scale 1:1 000 000. Also, Google Earth satellite images were used to define the vegetation stands in the study area, which was named by land use and vegetation type and verified in the field (through field trips to all areas).

The land use and vegetation types registered by the INEGI (2016d) Series V in the study area are fir forest, pine forest, pine-oak forest and induced grassland. Comparing the land use and vegetation units of Series V with Google Earth satellite images, we observed that the borders of the INEGI (2016d) polygons do not coincide with the vegetation conglomerates. Thus, we refined and elaborated the boundaries with greater detail and precision.

Map of homogeneous cartographic landscape units. Finally, the three maps previously defined in GIS ArcMap 10.1 (geoforms, climate and vegetation) were intersected. From this merging, the homogeneous landscape units were obtained.

 

 

Site criteria

 

 

Since it is not possible to establish a monitoring system in all the resulting areas, it was necessary to select just three sites. The main reason was economic limitation (Table 1). Thus, the following are the site criteria for choosing the three homogeneous cartographic landscape units where the meteorological stations were physically located.

 

Table 1. Cost of the stations and expenses.

Concept

Amount (MXN)

Amount (USD)

Station Vantage Pro2 Plus (EMZ-01)

$20 522.07

$1 246.03

Station Vantage Pro2 Plus (EMZ-02)

$29 013.14

$1 761.57

Station Arduino (EMZ-03)

$7 317.04

$444.26

Transportation

$6 347.21

$385.38

Others materials

$4 415.40

$268.09

Total

$67 614.86

$4 105.33

Exchange rate: Dollar (USA) = $16.47 Mexican pesos (November 2016).

 

Representativity. The sites have characteristics representative of the geoforms, climate and vegetation type of the study area, which should interest the research users. To this end, an elevation transect was performed to observe weather behaviour in the three sites with different altitudes, vegetation and geoforms. The region where the study area installations are located (intermountain valley) was used as the base point to give continuity to the meteorological data collected previously at this site.

Cleared site. The sites are free of natural or artificial obstacles that might obstruct the free transit of the meteorological elements; preferably a terrain cleared in a radius of 20 m.

Levelled terrain. The sites do not have depressions or slopes that could limit the stations' installation and make access for data collection difficult during the rainy season.

Distance to the observer. The stations are close to the place where the operator is located.

Easy access. The sites have an open access road to facilitate operation, maintenance, systematic data collection, and constant surveillance of the stations.

The first criterion was established to collect valuable meteorological helpful information in the research projects of the Zoquiapan Forestry Experimental Station. The other criteria for clearing, level ground, proximity to the observer and easy access were defined according to WMO (Romo and Arteaga, 1989).

 

 

Calibration testing of the meteorological stations

 

 

The monitoring system consists of three meteorological stations denominated EMZ-01, EMZ-02 and EMZ-03. Stations EMZ-01 and EMZ-02 are automatic meteorological stations of the brand Davis Instruments, model Vantage Pro2 Plus wireless (DAVIS, 2019). They have a Vantage Pro2 console and a WeatherLink datalogger for receiving, visualizing and storing data, a seven-watt solar panel and a six-volt-1.4 ampere battery to provide the console with constant energy. The console sensors are described in Table 2. EMZ-03 is an automatic meteorological station built with an Arduino microcontroller. It is attached to a 10-watt solar panel and a 12-volt, 7-ampere battery for a constant energy supply. A microSD module functions as a data logger.

 

Table 2. Sensors of the station EMZ-01, EMZ-02 and EMZ-03.

Sensor

Type

Range

Accuracy

Temperature

Silicone diode 1,2,3

-40 to 65 °C 1,2

± 0.5 °C 1,2,3

Humidity

Film capacitor 1,2,3

0 to 100 % 1,2,3

± 3 % 1,2,3

Wind direction

Potentiometer 1,2,3

0 to 365° 1,2,3

± 3° 1,2,3

Wind speed

Magnetic sensor 1,2,3

1 to 89.44 m/s 1,2

0.00055 m/s 1,2

Solar radiation

Silicone photodiode 1,2

1 to 1 800 W/m2 1,2

±5 % 1,2

UV radiation

Transducer 1,2

0 to 199 MEDs 1,2

±/-5 % 1,2

Pressure

Transducer 1,2,3

-

± 0.05 kPa 1,2,3

Pluviometer

Dump rocker 1,2,3

-

0.2 mm 1,2,3

Leaf moisture

Surface monitor 1

0 to 15 % 1

-

Soil moisture

Resistance Watermark 1

0 to 100% 1

± 0.5°C 1

Soil temperature

Steel probe 1

-50 to 60°C 1

± 3% 1

Source: Sparkfun (2013) and DAVIS (2019).

1 = EMZ-01; 2 = EMZ-02; 3 = EMZ-03.

 

The WeatherLink datalogger of the stations EMZ-01 and EMZ-02 reports inside and outside temperature and humidity, wind chill and dew point, current and trending atmospheric pressure, current precipitation and daily, monthly and annual accumulated precipitation, rain intensity, solar and UV radiation, evapotranspiration, wind direction and velocity, wind gusts, lunar phase and time of sunrise and sunset. In the Arduino microcontroller of the station EMZ-03, the sensors have been programmed with Arduino integrated development environment to obtain simple data on temperature, humidity, current and daily precipitation, atmospheric pressure, and wind direction and speed. The cost of the stations and expenses incurred are shown in Table 1.

There are two ways to verify the sensors of the meteorological stations. The first compares the sensor response with a known reference measurement when the sensor and the reference device are subjected to the same environmental conditions. The second consists of subjecting the sensor to an artificial state in which the response is theoretically predictable (INE, 2010).

We chose to use the reference equipment of the Department of Meteorology of the Universidad Autónoma Chapingo, a Davis Instruments station, Vantage Vue wireless model, with the same characteristics as stations EMZ-01 and EMZ-02. To compare the measurement of the stations, they were placed 5 m from the reference station for one week.

The comparison tests were conducted within one week with sampling every 30 minutes, resulting in a sample of 336 data recorded on an Excel 2010 spreadsheet. Data were compared using a t-test for two samples, assuming unequal variances. The tested sensors were temperature, humidity, pressure, precipitation, solar radiation, UV radiation, and wind direction and speed.

 

 

Installation of the meteorological stations

 

 

It was necessary to delineate an area of 25 m2 in each site around which a cyclone fence with a gate to install the meteorological stations. The fence is 1.5 m high from ground level and has an entrance with a lock to safeguard the stations. The stations were installed in the centre of each fenced-in area. Tripods were anchored to the ground with bases constructed for that purpose, adjusting the tripod screws so that they were firmly anchored to the ground. The weathervanes were oriented toward the north. Solar cells for the equipment were installed facing the south to guarantee efficient use of solar radiation since, most of the year, the sun is south of the latitude in which the stations are found. The rain gauges were levelled with a manual level to ensure that the stand was not inclined to the sides and that the data collection was accurate. The solar radiation and UV radiation sensors were levelled correctly according to the level bubble it is equipped with so that solar radiation reaches the sensors adequately.

Station EMZ-01 was installed on July 22, 2016, and stations EMZ-02 and EMZ-03 were established on August 16, 2016. Once the fences were installed, the stations were placed and configured to begin operation. In addition, data from the first 20 days of operation (August 20 to September 8, 2016) are presented to compare the weather in the three selected cartographic units. 

 

 

Results and Discussion

 

 

Homogeneous cartographic landscape units

 

 

An altitudinal range map shows altitudes from 3 000 m to 3 700 masl, based on the Digital Elevation Model of INEGI (2016c). From the slopes map, it can be observed that moderately steep slopes predominate in the southern part of the study area, and in the central to western parts, there are very steep slopes that diminish toward the east. Moreover, the central part is almost flat, and moderately tilted slopes predominate toward the north.

The above maps were superimposed on maps of geological structures (INEGI, 2016b) and water bodies (INEGI, 2016a) to characterize the geological units of the study zone. The geoforms defined are shown in Figure 2. Results show geoforms are as follows: 4.82 % steep volcanic apparatus (SVA), 1.41 % moderately inclined glens (MIG), 0.46 % almost flat tops of volcanic domes (AFTVD), 2.40 % inclined tops of volcanic domes (ITVD), 1.15 % moderately inclined tops of volcanic domes (MITVD), 8.11 % steep hillsides (StH), 3.87 % sloped hillsides (SlH), 13.57 % descended hillside dissected by streams (SlHDS), 14.07 % moderately steep hillsides (MStH), 10.74 % moderately sloped hillsides (MSlH), 1.73 % moderately sloped hillsides dissected by streams (MSlHDS) and 37.66 % almost flat intermountain valley dissected by streams (AFIVDS).

 

Figure 2. Geoforms map of the study area.

 

Map of areas of climatic influence. The polygons of areas of climatic influence are shown in Figure 3. The climate types according to Köppen climate classification modified by García (2004) are: Cb'(w2)(w)ig (22.37 %), Cc(w2)ig (26.38 %) and Cc(w2)(w)ig (51.26 %) (Table 3). The climate in the study area is temperate. The location and height influence the course of the temperature, while the location and orientation influence the precipitation.

 

Figure 3. Climate map of the study area.

 

Table 3. Principal climates in the study area.

Climate type

Description

Cb'(w2)(w)ig

Temperate Semi-cold with long cool summer; the wettest of the sub-humid, with summer rains and winter precipitation percentage less than 5; isothermal; with Gange's temperature gear.

Cc(w2)ig

Temperate Semi-cold with short cool summer; the wettest of the sub-humid, with summer rains and winter precipitation percentage between 5 and 10.2 per year; isothermal; with Gange's temperature gear.

Cc(w2)(w)ig

Temperate Semi-cold with short cool summer; the wettest of the sub-humid, with summer rains and winter precipitation percentage less than 5; isothermal; with Gange's temperature gear.

 

Isotherm map. The estimated annual and monthly temperature ranges from the simple linear regression models for the study area are presented in Table 4. In the areas of lower altitudes, the mean annual temperature estimated is in the range of 10-11 °C; at the highest altitude, its range is 6-7 °C.

 

Table 4. Average annual and monthly temperatures in the study area (°C).

Range

Annual

J

F

M

A

M

J

J

A

S

O

N

D

6-7

7

5.4

5.7

6.5

8.1

8.0

8.4

7.1

7.7

7.6

3.6

6.5

3.1

7-8

8

6.2

6.6

7.6

9.2

9.2

9.5

8.2

8.7

8.7

4.6

7.2

3.9

8-9

9

7.0

7.5

8.7

10.3

10.4

10.6

9.4

9.8

9.7

5.5

8.0

4.6

9-10

10

7.7

8.4

9.7

11.4

11.5

11.6

10.5

10.9

10.7

6.5

8.7

5.4

10-11

11

8.5

9.4

10.8

12.4

12.7

12.4

11.6

12.0

11.8

7.5

9.4

6.1

 

Isohyet maps. The dominant winds associated with the formation of the cloud systems that generate most of the precipitation in the EFEZ come mainly from the Gulf of Mexico with a Northeast to Southwest trajectory. Annual mean precipitation values of 1 000 to 1 100 mm were estimated at the intermontane valley. Here, the winds descend from slopes located to the North and Northeast of the area of study and then are forced to ascend following the contour of the slopes of the South-southeast where condensation of the water-air vapour increase and then the amount of precipitation with a higher range estimated of 1 300-1 400 mm.

Data on the annual precipitation of each polygon was generated with a table showing average monthly rainfall values, monthly precipitation intervals and estimated monthly precipitation calculated for each range. The intervals of mean monthly precipitation for each range of annual mean precipitation were assigned in accord with the trend and average precipitation values of each group of climatological stations, establishing ranges within which the averages of the different groups of stations were included. The results are shown in Table 5.

 

Table 5. Estimate ranges of annual means precipitation and monthly values in the study area (mm).

Range

Annual

J

F

M

A

M

J

J

A

S

O

N

D

1 000-1 100

1 044.8

16.0

13.3

17.9

50.0

90.0

186.7

206.7

190.0

166.7

86.7

13.3

7.5

1 100-1 200

1 122.4

17.0

17.5

19.2

55.0

106.7

193.3

213.3

200.0

173.3

93.3

17.5

16.3

1 200-1 300

1 234.7

18.0

21.7

22.5

70.0

113.3

210.0

226.7

220.0

186.7

106.7

21.7

17.5

1 300-1 400

1 331.9

19.0

23.3

27.5

90.0

130.0

230.0

233.3

230.0

193.3

113.3

23.3

18.8

 

Vegetation map. Seven categories were obtained: 0.29 % water (W), 16.60 % fir (F), 2.69 % grassland (G), 49.64 % pine (P), 14.63 % pine-alder (PA), 1.89 % pine-oak (PO) and 14.26 % pine-fir (PF); for more information see Figure 4.

 

Figure 4. Vegetation map of the study area.

 

Map of homogeneous cartographic landscape units. By merging the geoforms, climate and vegetation maps, 38 homogeneous cartographic landscape units were obtained and assigned names following vegetation attributes, climate type and geoform (Figure 5). Table 6 shows the site criteria used to select the sites where the meteorological stations were installed.

 

Figure 5. Homogeneous cartographic landscape units and meteorological stations location.

 

Table 6. Selected units for the meteorological stations.

Criteria

EMZ-01

EMZ-02

EMZ-03

Biophysical representativeness

Elevation (masl)

3 273

3 413

3 575

Slope (%)

0-2

>40

8-15

Geoforms

Almost flat intermountain valley dissected by streams [AFIVDS]

Steep hillsides

[StH]

Inclined tops of volcanic dome

[ITVD]

Climate type

Cc(w2)(w)ig

Cc(w2)(w)ig

Cc(w2)ig

Vegetation

Grassland

Fir

Pine-Alder

Clear location

Yes

Yes

Yes

Level ground

Yes

Yes

Yes

Close to operator

Yes

Yes

Yes

Easy access

Yes

Yes

Yes

 

The weather stations were installed considering the desire to give continuity to prior records of meteorological data. First, station EMZ-01 was located at an altitude of 3 273 masl in an almost flat intermountain valley intersected by streams with grassland vegetation and a temperate semi-cold climate.

The station EMZ-02 is located on a steep hillside with an altitude of 3 413 masl, 140 m higher than the EMZ-01. This is relevant for knowledge of climate behaviour in the thermal belt that can occur in this unit's altitudinal range. The vegetation is an Oyamel Fir Forest. This species is significant for the research carried out here in ecological landscape planning (Lomas-Barrié et al., 2005), forest research (Martínez-Santiago et al., 2017) or land use change (Paredes-González et al., 2018). It has the same climate type as the latter.

The station EMZ-03 is located on a steep hillside at an altitude of 3 575 masl, 162 m higher than EMZ-02 and 302 m higher than EMZ-01. The station's location is relevant for knowledge of the climate behaviour in this altitudinal range to have the meteorological information in an altitudinal transect. The natural vegetation cover is a forest with a pine-alder association, which is also essential for the research carried out in the area. Figure 1 shows the location of the three stations in the sites that satisfied the site criteria. 

 

 

Calibration tests of the meteorological stations

 

 

Calibration tests of the stations were conducted with reference equipment belonging to the Department of Meteorology of the Universidad Autónoma Chapingo. Using a t-test for two samples, assuming unequal variances for each of the sensors with 30-minute intervals between data collections for a week, we obtained 336 samples for statistical analysis. The tests comprehended the periods from July 8 to July 14, 2016, for stations EMZ-01 and EMZ-02, while for station EMZ-3, the period was June 2 to June 8, 2016.

For stations EMZ-01 and EMZ-02, calibration tests of the temperature, humidity, solar radiation, UV radiation, air pressure, wind speed and direction sensors were conducted. The data from the test station were compared with the data of the reference station. The statistical t-value for the sensors of the two stations was far below the critical t-value of the two tails (1.96). It is thus assumed that the test of means demonstrated that the data are statistically equal since there are no significant differences between samples.

Calibration tests were conducted on the sensors of each station. We found significant differences in temperature and humidity sensors and calibrated them. Calibration is a systematic process for modelling climatic variables (Torres-Quezada et al., 2021) or agronomic crop prediction (Corvino et al., 2018). The statistical analysis did not significantly differ in the air pressure, wind speed and direction sensors. The precipitation sensor data were validated with the reference station using an artificial rainfall test with rain simulator equipment because no rain was recorded during the testing period. Moreover, the artificial rainfall test offers more certainty in collecting data.

There was a significant difference between samples in the temperature sensor, so an adjustment of -0.78 ºC was made in the Arduino programming code. It was again tested for one week, and the statistical analysis was repeated. The samples showed no significant differences, and the sensor was considered calibrated (Figure 6). For the humidity sensor, a significant difference was found between samples. An adjustment of +2.34 % was made in the Arduino programming code, and the calibration tests were again run for one week. We found that the statistical t-value is lower than the two-tailed critical t-value and thus assumed no significant differences between the samples.

 

Prueba t para dos muestras suponiendo varianzas desiguales = Two-sample t-test assuming unequal variances; Referencia = Reference; Media = Mean; Varianza = Variance; Observaciones = Observations; Diferencia hipotética de las medias = Hypothetical difference of means; Grados de libertad = Degrees of freedom; Estadístico t = t statistic; P(T=˂t) una cola = One-tail P(T<=t); Valor crítico de t (una cola) = Critical t value (one tail); P(T=˂t) dos colas = Two-tailed P(T<=t); Valor crítico de t (dos colas) = Critical t value (two tails).

Figure 6. Calibration test of temperature sensors.

 

The statistical t-values for the air pressure, wind speed, and direction sensors were far below the critical t-value (two-tailed). We thus assumed that the test of means demonstrates that there are no significant differences in the samples. As for the precipitation sensor, the data were validated by comparing the readings of the artificial rainfall equipment with those recorded by station EMZ-03, resulting in similar recorded amounts of rain.

 

 

First data calibration

 

 

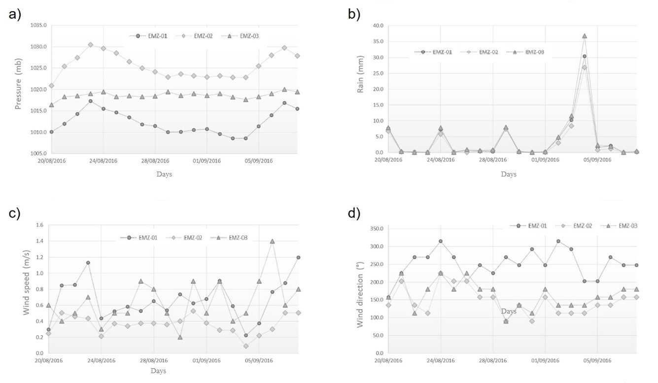
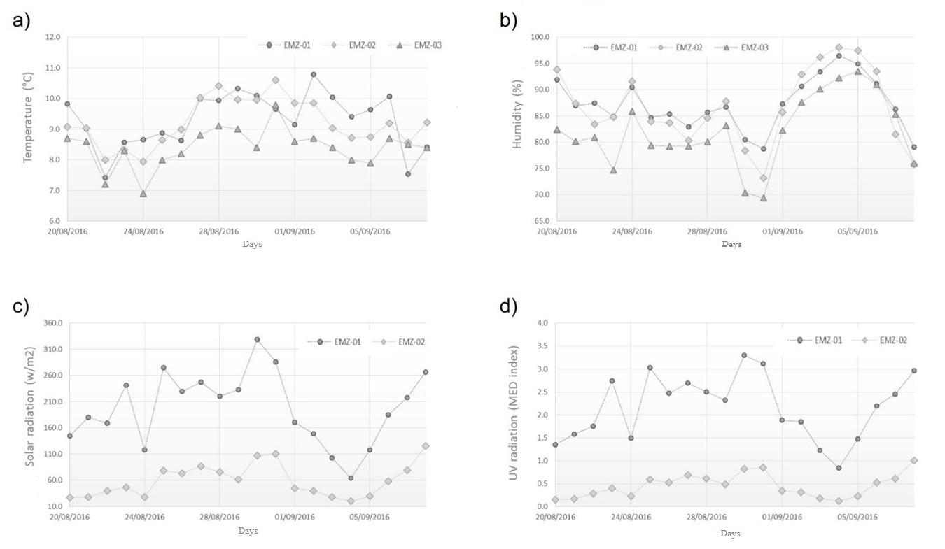
After installing the stations, we configured the WeatherLink consoles of stations EMZ-01 and EMZ-02. For station EMZ-03, the Arduino program code was downloaded. Later, we verified that the data collection was correct. Figures 7 and 8 present the data from the meteorological stations' first 20 days of operation. In the graphs, weather differences in each unit can be observed, underlining those caused by different altitudes, vegetation and geoform at which the stations were installed.

 

Figure 7. Data from the three stations of a) Temperature, b) Humidity, c) Solar radiation, and d) UV radiation.

 

Figure 8. Data from the three stations of a) Pressure, b) Precipitation, c) Wind speed, and d) Wind direction.

 

A data-collection schedule was programmed for collection during the first week of each month. Recovery of the data is manual. The operator must download the data monthly to a laptop with a USB port. Data are transferred automatically by connecting the USB cable of the datalogger to a portable computer. For station EMZ-03, the microSD memory of the station must be removed to copy the data in the computer and later return it to the station and again program it with the Arduino programming code.

The results pay off in developing open-source climate monitoring systems, fostering collaboration and improving infrastructure (Lin and Zini, 2008). The use of free software allows weather stations to be adapted by modifying and adjusting their components (Stallman, 2004). In addition, using the Arduino system allowed reaching the goal without being an expert programmer or having high financial resources, which is one of its advantages (Ferdoush and Li, 2014; Katyal et al., 2016). The results will establish bases for a climate monitoring system in the experimental area of Zoquiapan, providing detailed information and construction of better climate, forest fire and meteorological risk maps (Meulenert et al., 2005; Adepoju et al., 2020).

Installing automatic equipment has proven to be effective in obtaining climatic information. As shown, it is possible to use automatic stations programmed with Arduino. In areas of complex relief and difficult access, they are a viable option (Martínez del Castillo et al., 2012). It was noticed that the records were sufficient to show the representativeness of the complexity of the landscape and climate in the three sites studied. Representativeness is a fundamental criterion for urban and rural planning because it makes processes more efficient (Yang and Regan, 2014). In addition, installing equipment with Arduino allows for updating weather stations with many years of operation (Faugel and Bobkov, 2013).

 

 

Conclusions

 

 

A meteorological monitoring system, following landscape and representativeness with three weather stations, was implemented with good performance. Data from the first 20 days of operation revealed differences between weather stations; therefore, the altitudinal trajectory was acceptable. The low-cost Arduino-based weather station effectively collected and stored information in digital format. Our results contribute to the discussion and establishment of low-cost weather stations for local data information. New studies should include a more significant number of sensors and wireless connections, including data transfer.

 

Acknowledgements

 

The National Council of Science and Technology (Conacyt), the Universidad Autónoma Chapingo, DGIP, Division of Forest Sciences, and the Master of Science Program in Forest Sciences. We gratefully acknowledge the comments and suggestions of the anonymous reviewers, whose comments have substantially improved the paper.

 

Conflict of interest

 

The authors declare no conflict of interest.

 

Contribution by author

 

All authors participated equally in the manuscript's design, elaboration, writing and revision. 

 

 

References

 

Adepoju, T. M., M. O. Oladele, A. A. Kasali and G. J. Fabiyi. 2020. Development of a Low-Cost Arduino-Based weather station. FUOYE Journal of Engineering and Technology 5(2):69-73. Doi: 10.46792/fuoyejet.v5i2.508.

Blanco Z., S., G. Ceballos G., C. Galindo L., J. M. Maass M., R. Patrón S., A. Pescador y A. I. Suárez G. 1981. Ecología de la estación experimental Zoquiapan (descripción general, vegetación y fauna). Universidad Autónoma Chapingo. Texcoco, Edo. Méx., México. 114 p.

Brauman, K. A. 2015. Hydrologic ecosystem services: linking ecohydrologic processes to human well-being in water research and watershed management. Wiley Interdisciplinary Reviews: Water 2(4):345–358. Doi: 10.1002/wat2.1081.

Corvino, G., A. Lessio and E. Borgogno M. 2018. FRPI-PF.5: Monitoring rice crops in Piemonte (Italy): Towards an operational service based on free satellite data. In: Institute of Electrical and Electronics Engineers. IGARSS 2018-2018 IEEE International Geoscience and Remote Sensing Symposium: Observing, understanding and forecasting the dynamics of our planet. Institute of Electrical and Electronics Engineers, Inc. Valencia, V, Spain. pp. 9070-9073.

DAVIS. 2019. Weather Instruments. http://www.davisnet.com/weather-monitoring/. (October 20, 2019).

Faugel, H. and V. Bobkov. 2013. Open source hard-and software: Using Arduino boards to keep old hardware running. Fusion Engineering and Design 88(6-8):1276–1279. Doi: 10.1016/j.fusengdes.2012.12.005.

Ferdoush, S. and X. Li. 2014. Wireless sensor network system design using raspberry Pi and Arduino for environmental monitoring applications. Procedia Computer Science 34:103-110. Doi: 10.1016/j.procs.2014.07.059.

García, E. 2004. Modificaciones al Sistema de clasificación climática de Köppen. Instituto de Geografía y Universidad Nacional Autónoma de México. Coyoacán, D. F., México. 90 p.

Gómez, J. D., J. D. Etchevers, A. I. Monterroso, C. Gay, J. Campo and M. Martínez. 2008. Spatial estimation of mean temperature and precipitation in areas of scarce meteorological information. Atmósfera 21(1):35-56. https://www.revistascca.unam.mx/atm/index.php/atm/article/view/8596. (October 20, 2019).

Gómez-Mendoza, L. and L. Arriaga. 2007. Modelling the effect of Climate Change on the distribution of oak and pine species of Mexico. Conservation Biology 21(6):1545-1555. Doi: 10.1111/j.1523-1739.2007.00814.x.

Instituto Mexicano de Tecnología del Agua (IMTA). 2016. SIG ERIC v 1.0. Jiutepec, Mor., México. Servicio Meteorológico Nacional (SMN) e Instituto Mexicano de Tecnología del Agua (IMTA). http://hidrosuperf.imta.mx/sig_eric/. (July 18, 2019).

Instituto Nacional de Ecología (INE). 2010. Manual 4. Operación de estaciones de medición de la calidad del aire, mantenimiento y calibración de sus componentes. Instituto Nacional de Ecología. Coyoacán, D. F., México. 75 p.

Instituto Nacional de Estadística, Geografía e Informática (INEGI). 2016a. Hidrografía. https://www.inegi.org.mx/temas/hidrografia/. (July 18, 2016)

Instituto Nacional de Estadística, Geografía e Informática (INEGI). 2016b. Geología. https://www.inegi.org.mx/temas/geologia/. (July 18, 2016).

Instituto Nacional de Estadística, Geografía e Informática (INEGI). 2016c. Relieve continental. https://www.inegi.org.mx/temas/relieve/continental/. (July 18, 2016).

Instituto Nacional de Estadística, Geografía e Informática (INEGI). 2016d. Uso de suelo y vegetación. https://www.inegi.org.mx/temas/usosuelo/. (August 22, 2016).

Intergovernmental Panel on Climate Change (IPCC). 2021. Summary for policymakers. In: Masson-Delmotte, V., P. Zhai, A. Pirani, S. L. Connors, … and B. Zhou (eds.). Climate Change 2021: The Physical Science Basis. Contribution of Working Group I to the Sixth Assessment Report of the Intergovernmental Panel on Climate Change. Cambridge University Press. Cambridge, CB, United Kingdom. pp. 3–32.

Juárez, A., C. Gay and Y. Flores. 2005. Impact of the Popocatepetl's volcanic activity on the air quality of Puebla City, México. Atmósfera 18(1):57-69. https://www.revistascca.unam.mx/atm/index.php/atm/article/view/8537. (July 18, 2019).

Katyal, A., R. Yadav and M. Pandey. 2016. Wireless Arduino based weather station. International Journal of Advanced Research in Computer and Communication Engineering 5(4):274-276. Doi: 10.17148/IJARCCE.2016.5470.

Li, D. 2014. Assessing the impact of interannual variability of precipitation and potential evaporation on evapotranspiration. Advances in Water Resources 70:1-11. Doi: 10.1016/j.advwatres.2014.04.012.

Lin, Y. W. and E. Zini. 2008. Free/libre open source software implementation in schools: Evidence from the field and implications for the future. Computer & Education 50(3):1092-1102. Doi: 10.1016/j.compedu.2006.11.001.

Lomas-Barrié, C. T., S. Terrazas-Domínguez y H. Tchikoué M. 2005. Propuesta de ordenamiento ecológico territorial para el Parque Nacional Zoquiapan y Anexas. Revista Chapingo Serie Ciencias Forestales y del Ambiente 11(1):57–71. https://revistas.chapingo.mx/forestales/?section=articles&subsec=issues&numero=31&articulo=431. (October 20, 2019).

Martínez del Castillo, E., R. Serrano-Notivoli, K. Novak, L. A. Longares A., … y M. A. Saz S. 2012. Cuantificación de los gradientes climáticos altitudinales en la vertiente norte del Macizo del Moncayo a partir de una nueva red de estaciones automáticas en altura. In: Rodríguez P., C., A. Ceballos B., N. González R., E. Morán T. y A. Hernández E. (eds.). Cambio Climático, extremos e impactos. Publicaciones de la Asociación Española de Climatología (AEC), Serie A. Salamanca, SA, España. pp. 519-528.

Martínez-Santiago, S. Y., A. A. Alvarado-Segura, F. J. Zamudio-Sánchez and D. Cristóbal-Acevedo. 2017. Spatio-temporal analysis of forest modeling in Mexico. Revista Chapingo Serie Ciencias Forestales y del Ambiente 23(1):5–22. Doi: 10.5154/r.rchscfa.2016.01.003.

Meulenert P., Á. R., H. U. Ramírez S., F. O. García C., M. E. García G. y J. Alcalá G. 2005. Implementación de un sistema de alerta temprana contra fenómenos meteorológicos extremos e incendios forestales del Área Natural Protegida «Bosque de la Primavera» Jalisco, México, como parte de un proyecto de desarrollo y monitoreo sistemático e integral. In: Universidad de Guadalajara. Memoria del I Foro de Investigación y Conservación del Bosque La Primavera. Centro Universitario de Ciencias Biológicas y Agropecuarias, Universidad de Guadalajara. Zapopan, Jal., México. pp. 163-168. https://www.organicaeditores.mx/biblioteca/i_foro_blp/pdf/extensos/163_168_ext_Meulenert_Pe%C3%B1a_Angel.pdf. (July 18, 2019).

Organización Meteorológica Mundial (OMM). 2014. Guía de instrumentos y métodos de observación meteorológicos (OMM Núm. 8). Organización Meteorológica Mundial. Ginebra, GE, Suiza. 1291 p.

Paredes-González, A., A. I. Monterroso-Rivas, L. J. Rodríguez-Esparza and F. J. Zamudio-Sánchez. 2018. Projection and probability of land use change in Zoquiapan, Mexico: considerations for forest management. Revista Chapingo Serie Ciencias Forestales y del Ambiente 24(1):59-71. Doi: 10.5154/r.rchscfa.2017.07.041.

Pompa-García, M., F. J. Rodríguez-Flores, C. A. Aguirre-Salado y L. Miranda-Aragón. 2013. Influencia de la evaporación en el crecimiento forestal. Agrociencia 47(8):829-836. https://agrociencia-colpos.org/index.php/agrociencia/article/view/1059. (October 20, 2019).

Reyes A., G. I., S. Adame M. y E. Cadena V. 2018. Vulnerabilidad ante la variabilidad climática en los cultivos de maíz Zea mays. Sociedad y Ambiente (17):93-113. Doi: 10.31840/sya.v0i17.1842.

Romo G., J. R. y R. Arteaga R. 1989. Meteorología Agrícola. Universidad Autónoma Chapingo. Texcoco, Edo. Méx., México. 442 p.

Sparkfun. 2013. Sparkfun Weather Shield Hookup Guide. Niwot, CO, EE.UU. Sparkfun Start Something. https://learn.sparkfun.com/tutorials/weather-shield-hookup-guide. (October 17, 2016).

Stallman, R. M. 2004. Software libre para una sociedad libre. Traficantes de sueños. Madrid, MA, España. 317 p.

Torres-Quezada, J., H. Coch and A. Isalgué. 2021. Data set of climatic factors measured in a low latitude region with warm and humid climate: Solar radiation, cloud cover and sky temperature. Data in Brief 38:107404. Doi: 10.1016/J.DIB.2021.107404.

van Engelen, V. W. P. and J. A. Dijkshoorn. 2013. Global and National Soils and Terrain Databases (SOTER). Procedures Manual, Version 2.0. International Soil Reference and Information Centre World Soil Information. Wageningen, GE, The Netherlands. 198 p. https://www.isric.org/sites/default/files/isric_report_2013_04.pdf. (August 22, 2016).

Yang, C. H. and A. C. Regan. 2014. Methodology for the prioritization of environmental sensor station installation (case study of South Korea). Transport Policy 32:53–59. Doi: 10.1016/j.tranpol.2013.12.012.

 

        

Todos los textos publicados por la Revista Mexicana de Ciencias Forestales sin excepción– se distribuyen amparados bajo la licencia Creative Commons 4.0 Atribución-No Comercial (CC BY-NC 4.0 Internacional), que permite a terceros utilizar lo publicado siempre que mencionen la autoría del trabajo y a la primera publicación en esta revista.