Revista Mexicana de Ciencias Forestales Vol. 13 (74)

Noviembre – Diciembre (2022)

Logotipo, nombre de la empresa

Descripción generada automáticamente

DOI: https://doi.org/10.29298/rmcf.v13i74.1260

Artículo

A meteorological monitoring system in a temperate forest from landscape analysis

Sistema de monitoreo meteorológico en un bosque templado a partir de análisis del paisaje

 

Gabriel Humberto Virgen-Cobos1, Jesús David Gómez-Díaz2, Ma. Amparo Borja-de la Rosa1, Adán Guillermo Ramírez-García3, Alejandro Ismael Monterroso-Rivas2*

 

Fecha de recepción/Reception date: 16 marzo de 2022

Fecha de aceptación/Acceptance date: 5 de octubre de 2022

_______________________________

1División de Ciencias Forestales, Universidad Autónoma Chapingo. México.

2Departamento de Suelos, Universidad Autónoma Chapingo. México.

3Centro Regional Universitario del Noroeste, Universidad Autónoma Chapingo. México.

 

*Autor para correspondencia; correo-e: aimrivas@correo.chapingo.mx

*Corresponding author; e-mail: aimrivas@correo.chapingo.mx

 

Abstract

Monitoring meteorological variables is essential in studying plant biophysical processes such as the development and growth, capture and retention of water, increase of nutrients and use of environmental services. The objective of this work was to propose a meteorological monitoring system based on the analysis of the natural environment to provide a representative database. The proposal was developed in Zoquiapan Experimental Forest Station, central Mexico. Methods include the representativeness of the biophysical conditions in a semi-cold temperate forest in central Mexico. First, maps of geoforms, climate and vegetation were generated to delimit the homogeneous cartographic landscape units. Subsequently, utilizing location criteria, three cartographic units were selected to establish three meteorological stations. The monitoring system has two Davis Instruments automatic stations and another with an Arduino open-source microcontroller. Data is recovered monthly on a laptop with a USB cable. Before the installation of the stations, the sensors were subjected to a comparison with a reference station. It was shown that the data of the first days of operation revealed differences in the climate between the units concluding that locating the stations on an altitudinal trajectory can contribute to relating the climate with different vegetation and geoforms.

Keywords: Cartographic units, comparison, geoform, installation, meteorological stations, representativeness.

Resumen

El monitoreo de variables meteorológicas es importante para el estudio de procesos biofísicos como el desarrollo y crecimiento de plantas, captura y retención de agua, aumento de nutrientes y aprovechamiento de servicios ambientales. El objetivo del estudio fue proponer un sistema de monitoreo meteorológico a partir del análisis del medio natural que proporcione una base de datos representativa. La propuesta se desarrolló en la Estación Forestal Experimental Zoquiapan, en el centro de México. El método incluyó la representatividad de las condiciones biofísicas en un bosque con clima templado semifrío. Primero, se generaron mapas de geoformas, clima y vegetación para delimitar las unidades cartográficas homogéneas de paisaje. Posteriormente, mediante criterios de emplazamiento, se seleccionaron tres unidades cartográficas para el establecimiento de tres estaciones meteorológicas. Los resultados incluyeron la caracterización del paisaje, así como la propuesta para establecer las estaciones meteorológicas. El sistema se integró con dos estaciones automáticas Davis Instruments y otra que opera con microcontrolador de código abierto Arduino. Los datos se recuperan mensualmente en una computadora portátil con cable USB. Antes de la instalación de las estaciones, las mediciones dadas por los sensores se compararon con los valores de una estación de referencia. Los datos de los primeros días de operación revelaron diferencias en las variables de las unidades de paisaje, y se concluye que ubicar las estaciones en una trayectoria altitudinal puede contribuir a relacionar el clima con diferente vegetación y geoformas.

Palabras clave: Unidades cartográficas, comparación, geoforma, instalación, estaciones meteorológicas, representatividad.

 

 

Introducción  

 

El cambio climático es un fenómeno que implica un problema global con consecuencias regionales que afectan tanto a los sistemas naturales, como a los antrópicos. Una de las principales causas de este proceso es la concentración de gases de efecto invernadero (IPCC, 2021). Estos cambios han impactado y modificado el entorno natural generando desequilibrio en los ecosistemas y en los recursos naturales (Gómez-Mendoza y Arriaga, 2007); como consecuencia, la preocupación por los efectos actuales y futuros del cambio climático han propiciado la creación de iniciativas sociales, políticas y científicas que incidan sobre ellos (Reyes et al., 2018).

El monitoreo de variables meteorológicas es importante para el estudio de los procesos biofísicos como el desarrollo y crecimiento de plantas, captura y retención de agua, aumento de nutrientes y aprovechamiento de los servicios ambientales (Brauman, 2015). En este contexto, las variables más críticas son la temperatura y la humedad del aire, la precipitación, radiación solar, radiación fotosintéticamente activa y la evaporación (Li, 2014).

Las observaciones meteorológicas, así como las ambientales y geofísicas, se utilizan para la realización de análisis meteorológicos en tiempo real, en predicciones y alertas meteorológicas, para estudios climáticos, en diversas actividades relacionadas con aspectos meteorológicos como las operaciones de vuelo en aeródromos locales, en la construcción de instalaciones terrestres y marinas, en disciplinas como la hidrología y agricultura, y en la investigación meteorológica y climatológica (OMM, 2014).

En el estudio de los efectos del clima en el crecimiento de las coníferas, es importante la relación de la temperatura con la precipitación (Gómez-Mendoza y Arriaga, 2007). Así, se ha determinado que la evaporación anual tiene mayor incidencia en la vegetación durante las temporadas secas que en las estaciones sin limitaciones de humedad, y que la afectan la velocidad del viento, la radiación solar, el déficit de presión de vapor y la humedad relativa, además presenta variaciones en escalas temporales breves (Pompa-García et al., 2013).

Gómez-Mendoza y Arriaga (2007), en su estudio sobre la vulnerabilidad al cambio climático de 34 especies de encino y pino, confirman que la distribución de muchas especies y comunidades está determinada, en gran medida, por las variables climáticas, por lo tanto, los cambios en el clima modificarán su distribución y abundancia. Algunas de esas variables son la precipitación, temperatura y evapotranspiración, además de una mayor frecuencia de incendios y tormentas.

Dado que en la Estación Experimental Forestal Zoquiapan (EFEZ), centro de investigación de la Universidad Autónoma Chapingo, se carecía de registros meteorológicos, se procedió a establecer un sistema práctico, rápido y preciso de monitoreo meteorológico que proporcionara autonomía en el manejo y análisis de datos para los estudios asociados al comportamiento, dinámica de la vegetación y a los servicios ecosistémicos del bosque templado de clima frío localizado en su zona de influencia.

En primera instancia, se zonificó biofísicamente el área, y se seleccionaron tres unidades cartográficas de paisaje homogéneas y representativas en donde se ubicaron igual número de estaciones meteorológicas.

El objetivo del presente estudio fue proponer un sistema de seguimiento meteorológico, a partir del análisis del paisaje natural y de las unidades homogéneas y que proporcione una base de datos representativa de la zona. La hipótesis hace referencia a que es posible analizar el paisaje y, con base en su variabilidad, identificar los sitios para ubicar las estaciones de monitoreo del clima. El sistema meteorológico estaba compuesto por dos estaciones meteorológicas automáticas comerciales de gama media (que incluye registros climáticos e investigación), y una estación de bajo coste que funciona con un registro Arduino de datos de código abierto. Previo a su instalación en los lugares seleccionados, se realizaron pruebas de comparación de sus sensores.

 

 

Materiales y Métodos

 

 

Área de estudio

 

 

La Estación Experimental Forestal Zoquiapan se localiza al noroeste del volcán Iztaccíhuatl y al suroeste del Parque Nacional Zoquiapan, en las siguientes coordenadas: 19°12’30” y 19°20’00” latitud N, y 98°30’00” y 98°42’30” longitud O. Ocupa una superficie de 1 624.23 ha, a una altitud de 3 080 a 3 670 m (Blanco et al., 1981), en los municipios Ixtapaluca y Chalco, Estado de México (Figura 1).

 

Diagrama  Descripción generada automáticamente

Figura 1. Localización de la zona de estudio.

 

 

Unidades cartográficas homogéneas del paisaje

 

 

Se utilizó la metodología propuesta por Gómez et al. (2008) para generar mapas de geoformas, clima y vegetación con un Sistema de Información Geográfica (GIS, ArcMap 10.1). Las unidades homogéneas de paisaje se definieron como aquellas que comparten los atributos fisiográficos con muy poca variación espacial. Los tres mapas se fusionaron para generar las unidades cartográficas homogéneas del paisaje, a las que se asignó un nombre a partir de los atributos del suelo y la vegetación, el clima y la geoforma.

Mapa de geoformas. Se usó el Modelo de Elevación Digital (INEGI, 2016c) del Estado de México, Puebla y Tlaxcala, a partir del cual se determinaron intervalos altitudinales cada 100 m; para la pendiente, se siguió el criterio del Programa de las Naciones Unidas para el Medio Ambiente y otras instituciones en el procedimiento de bases de datos digitales sobre suelos y terrenos (van Engelen y Dijkshoorn, 2013), el cual se basa en la evaluación de la degradación del suelo (Global Assessment of Human-Induced Soil Degradation o GLASOD), y las curvas de nivel se establecieron cada 10 m. Posteriormente, se superpusieron los mapas de estructuras geológicas (INEGI, 2016b) y el de cuerpos de agua (INEGI, 2016a) para caracterizar las unidades geomorfológicas de la zona de estudio.

Mapa climático. Se aplicó la metodología de Gómez et al. (2008), la cual emplea los datos anuales y mensuales de temperatura y precipitación. Para la primera variable, los métodos de interpolación lineal simple se complementaron con el análisis estadístico. Para la segunda, se utilizó un método gráfico con criterio de expertos, y se hicieron analogías con zonas vecinas de las cuales se disponía de información de la precipitación.

A partir del Extractor Rápido de Información Climática (ERIC, versión 1.0) (IMTA, 2016) se obtuvieron las temperaturas máximas y mínimas y la precipitación media anual de las 22 estaciones climatológicas más cercanas a la zona de estudio, con datos completos de al menos los últimos 20 años. Se consideró la cuenca ubicada al oeste (cuenca del río Atoyac) y dentro de la Meseta Central para determinar la influencia de los vientos, y con ello, determinar las estaciones climatológicas de influencia (Juárez et al., 2005).

Mapa de temperaturas. Los datos de las temperaturas máximas y mínimas mensuales registradas en las estaciones climatológicas se utilizaron para obtener las temperaturas medias anuales y mensuales de cada estación, las cuales se emplearon en la generación de ecuaciones simples de regresión lineal para calcular los intervalos de variación altitudinales correspondientes a las temperaturas mensuales y la media anual. A partir de la ecuación de regresión lineal anual, se construyó el mapa isotérmico a un grado Celsius; a continuación, se calculó el incremento mensual en función de los intervalos de temperatura. Los polígonos se crearon superponiendo el mapa de curvas de nivel sobre el de temperatura y altitud; las estimaciones se hicieron con el modelo de regresión lineal simple en GIS Arc Map 10.1.

Mapa de precipitaciones. La precipitación anual se obtuvo de las 22 estaciones climatológicas georreferenciadas en GIS ArcMap 10.1; la precipitación se estimó con el Modelo de Elevación Digital y los datos de precipitación anual de las estaciones meteorológicas, para ello se usaron analogías con regiones que tienen estaciones climatológicas, además se consideró la vegetación natural y la influencia de las unidades orográficas en la ocurrencia de lluvias (Gómez et al., 2008).

Mapa de las zonas de influencia climática. Las áreas de influencia climática se definen como aquellas zonas que comparten la misma temperatura y precipitación anual (Gómez et al., 2008). Se procedió a la intersección de los mapas de isoterma media anual y de isoyeta media anual en el GIS ArcMap 10.1 para crear las zonas de influencia climática; asimismo, se calcularon la temperatura y precipitación mensuales y anuales para cada área, y se determinó el tipo de clima correspondiente, de acuerdo a la clasificación de Köppen modificada por García (2004).

Mapa climático final. Una vez determinado el tipo de clima, se fusionaron los polígonos que tenían el mismo para obtener el mapa climático.

Mapa de vegetación. Se realizó una delimitación detallada de los usos del suelo y tipos de vegetación mediante la Serie V de usos del suelo y vegetación (INEGI, 2016d), a una escala de 1:1 000 000; los rodales se definieron con imágenes de satélite de Google Earth, los cuales se nombraron según su tipo de vegetación y uso del suelo, además se verificaron en campo.

Los usos del suelo y tipos de vegetación registrados por el INEGI (2016d) Serie V en la zona de estudio son los siguientes: bosque de abetos, bosque de pinos, bosque de pino-encino y pradera inducida; al comparar las unidades de uso de suelo y vegetación de la Serie V con las imágenes satelitales de Google Earth, se observó que los límites de los polígonos del Inegi no coincidían con los conglomerados de vegetación, por lo que se procedió a su redefinición y a precisar con mayor detalle sus fronteras.

Mapa de unidades cartográficas homogéneas del paisaje. Por último, se intersectaron los tres mapas previamente definidos en GIS ArcMap 10.1 (geoformas, clima y vegetación) para obtener las unidades homogéneas de paisaje.

 

 

Criterios del sitio

 

 

Dado que no es posible establecer un sistema de vigilancia en todas las zonas resultantes, se eligieron solo tres lugares; esto, principalmente, por limitaciones económicas (Cuadro 1). A continuación, se describen los criterios considerados para la selección de las tres unidades cartográficas homogéneas de paisaje, en donde se ubicaron físicamente las estaciones meteorológicas.

 

Cuadro 1. Costo de las estaciones y gastos.

Concepto

Cantidad (MXN)

Cantidad (USD)

Estación Vantage Pro2 Plus (EMZ-01)

$20 522.07

$1 246.03

Estación Vantage Pro2 Plus (EMZ-02)

$29 013.14

$1 761.57

Estación Arduino (EMZ-03)

$7 317.04

$444.26

Transporte

$6 347.21

$385.38

Otros materiales

$4 415.40

$268.09

Total

$67 614.86

$4 105.33

Tipo de cambio: Dólar (EE.UU.) = $16.47 Pesos mexicanos (noviembre de 2016).

 

Representatividad. Los lugares tienen características representativas de las geoformas, del clima y del tipo de vegetación de la zona de estudio, además, deben ser de interés para los usuarios. Para ello, se realizó un transecto altitudinal a fin de observar el comportamiento del clima en los tres sitios con diferentes altitudes, vegetación y geoformas. Se utilizó como punto base la zona las instalaciones del área de estudio (valle intermontano), con el objetivo de darle continuidad a los datos meteorológicos registrados, previamente, en ese lugar.

Sitio despejado. Los lugares están libres de obstáculos naturales o artificiales que obstruyan el libre tránsito de los elementos meteorológicos, preferiblemente, un terreno despejado en un radio de 20 m.

Terreno nivelado. Lugares sin depresiones ni pendientes que puedan limitar la instalación de las estaciones, o que dificulten el acceso para el registro de datos durante la temporada de lluvias.

Distancia respecto al observador. Las estaciones están cerca del lugar donde se encuentra el operador.

Acceso fácil. Se dispone de una vía de acceso sin obstáculos para facilitar el funcionamiento, el mantenimiento y la recolección periódica de datos, así como la vigilancia constante de las estaciones.

El primer criterio se estableció para el registro de información meteorológica valiosa y de utilidad para los proyectos de investigación que se lleven a cabo en la Estación Experimental Forestal de Zoquiapan. Los otros criterios se definieron según la Organización Meteorológica Mundial (OMM) (Romo y Arteaga, 1989).

 

 

Pruebas de calibración de las estaciones meteorológicas

 

 

El sistema de vigilancia se conformó por tres estaciones meteorológicas denominadas EMZ-01, EMZ-02 y EMZ-03. Las estaciones EMZ-01 y EMZ-02 son automáticas de la marca Davis Instruments, modelo Vantage Pro2 Plus Wireless (Davis, 2019); se integran por una consola Vantage Pro2 y un registrador de datos WeatherLink para recibir, visualizar y almacenar datos, así como un panel solar de 7 vatios y una batería de 6 voltios y 1.4 amperios que proporciona energía constante a la consola. En el Cuadro 2 se describen los sensores de las consolas. EMZ-03 es una estación meteorológica automática construida con un microcontrolador Arduino conectado a un panel solar de 10 vatios y a una batería de 12 voltios y 7 amperios para un suministro constante de energía. Un módulo microSD funciona como registrador de datos.

 

Cuadro 2. Sensores de la estación EMZ-01, EMZ-02 y EMZ-03.

Sensor

Tipo

Intervalo

Precisión

Temperatura

Diodo de silicona 1,2,3

-40 a 65 °C 1,2

± 0.5 °C 1,2,3

Humedad

Condensador de película 1,2,3

0 a 100 % 1,2,3

± 3 % 1,2,3

Dirección del viento

Potenciómetro 1,2,3

0 a 365° 1,2,3

± 3° 1,2,3

Velocidad del viento

Sensor magnético 1,2,3

1 a 89.44 m/s 1,2

0.00055 m/s 1,2

Radiación solar

Fotodiodo de silicona 1,2

1 a 1 800 W/m2 1,2

±5 % 1,2

Radiación UV

Transductor 1,2

0 a 199 MEDs 1,2

±/-5 % 1,2

Presión

Transductor 1,2,3

-

± 0.05 kPa 1,2,3

Pluviómetro

Balancín de descarga 1,2,3

-

0.2 mm 1,2,3

Humedad de la hoja

Monitor de superficie 1

0 a 15 % 1

-

Humedad del suelo

Resistencia Watermark 1

0 a 100% 1

± 0.5°C 1

Temperatura del suelo

Sonda de acero 1

-50 a 60°C 1

± 3% 1

Fuente: Sparkfun (2013) y DAVIS (2019).

1 = EMZ-01; 2 = EMZ-02; 3 = EMZ-03.

 

El registrador WeatherLink de las estaciones EMZ-01 y EMZ-02 proporciona los datos de temperatura, la humedad interior y exterior, la sensación térmica y el punto de rocío, la presión atmosférica actual y su tendencia, la precipitación actual y precipitación acumulada diaria, mensual y anual, la intensidad de la lluvia, radiación solar y UV, evapotranspiración, dirección y la velocidad del viento, las ráfagas de viento, la fase lunar y la hora de salida y puesta del sol. En el microcontrolador Arduino de la estación EMZ-03 se han programado los sensores con el entorno de desarrollo integrado Arduino para la obtención de datos sencillos referentes a temperatura, humedad, precipitación actual y diaria, presión atmosférica, dirección y velocidad del viento. El costo de las estaciones y los gastos incurridos se muestran en el Cuadro 1.

Hay dos formas de verificar los sensores de las estaciones meteorológicas. La primera es la comparación de la respuesta del sensor con una medición de referencia conocida, cuando el sensor y el dispositivo de referencia están sometidos a las mismas condiciones ambientales. La segunda consiste en colocar el sensor en una condición artificial en la que su respuesta es teóricamente predecible (INE, 2010).

Se optó por utilizar el equipo de referencia del Departamento de Meteorología de la Universidad Autónoma Chapingo, una estación Davis Instruments, modelo Vantage Vue Wireless, con las mismas características que las estaciones EMZ-01 y EMZ-02. Para comparar la medición de las estaciones, estas se colocaron a 5 m de la estación de referencia durante una semana. Las pruebas de comparación se realizaron con un muestreo cada 30 minutos, lo que dio lugar a una muestra de 336 datos, que se registraron en una hoja de cálculo de Excel 2010. Los datos se compararon mediante una prueba t para dos muestras, bajo el supuesto de varianzas desiguales. Los sensores probados fueron los de temperatura, humedad, presión, radiación solar, precipitación, radiación UV, dirección y velocidad del viento.

 

 

Instalación de las estaciones meteorológicas

 

 

Las estaciones meteorológicas se instalaron al centro de un área de 25 m2, alrededor de la cual se colocó una valla ciclónica con una altura de 1.5 m desde el nivel del suelo, con una puerta y cerradura. Los trípodes se anclaron con tornillos al suelo con bases construidas para tal efecto; las veletas se orientaron hacia el norte, las celdas solares al sur para garantizar un uso eficiente de la radiación solar, ya que la mayor parte del año el sol está al sur de la latitud en la que se encuentran las estaciones. Los pluviómetros se nivelaron manualmente para asegurar que el soporte no estuviera inclinado hacia los lados y garantizar un registro preciso de los datos. Los sensores de radiación solar y de radiación UV se nivelaron con su burbuja de nivel.

La estación EMZ-01 se instaló el 22 de julio de 2016, y las estaciones EMZ-02 y EMZ-03 el 16 de agosto de 2016. Una vez colocadas, se configuraron para empezar a funcionar y se recabaron los datos de los primeros 20 días de funcionamiento (del 20 de agosto al 8 de septiembre de 2016) para comparar el tipo de clima que se obtuvo en las tres unidades cartográficas seleccionadas. 

 

 

Resultados y Discusión

 

 

Unidades cartográficas homogéneas del paisaje

 

 

Un mapa de intervalo altitudinal elaborado con base en el Modelo Digital de Elevación del INEGI (2016c) varía de 3 000 m a 3 700 m. El mapa de pendientes evidenció que en la parte sur de la zona de estudio predominan las pendientes moderadas, en las partes central y occidental las hay muy pronunciadas que disminuyen hacia el este, aunque la parte central es casi plana, y hacia el norte predominan las pendientes moderadamente inclinadas.

Estos mapas anteriores se superpusieron a los de las estructuras geológicas (INEGI, 2016b) y de cuerpos de agua (INEGI, 2016a) para caracterizar las unidades geológicas de la zona de estudio. Las geoformas definidas se muestran en la Figura 2.

 

Figura 2. Mapa de geoformas del área de estudio.

 

Los resultados indicaron las siguientes geoformas: 4.82 % de aparatos volcánicos empinados (AVE), 1.41 % de cañadas con inclinación moderada (CIM), 0.46 % de cimas de domos volcánicos casi planas (CDVCP), 2.40 % de cimas de domos volcánicos inclinadas (CDVI), 1.15 % de cimas de domos volcánicos moderadamente inclinadas (CDVMI), 8.11 % de laderas empinadas (LE), 3.87 % de laderas inclinadas (LI), 13.57 % de laderas con pendiente diseccionadas por arroyos (LPDA), 14.07 % de laderas moderadamente escarpadas (LME), 10.74 % de laderas con pendiente moderada (LPM), 1.73 % de laderas con pendiente moderada disecadas por arroyos (LPMDA) y 37.66 % de valle intermontano casi plano disecado por arroyos (VICPDA).

Mapa de las zonas de influencia climática. Los polígonos de las zonas de influencia climática se presentan en la Figura 3 y el Cuadro 3. Los tipos de clima según la clasificación de Köppen modificada por García (2004) corresponden a los templados: Cb'(w2)(w)ig (22.37 %), Cc(w2)ig (26.38 %) y Cc(w2)(w)ig (51.26 %). La ubicación y la altura influyen en la temperatura, mientras que la ubicación y la orientación en la precipitación.

 

Figura 3. Mapa de climas del área de estudio.

 

Cuadro 3. Principales climas en el área de estudio.

Tipo de clima

Descripción

Cb'(w2)(w)ig

Templado Semifrío con un verano largo y fresco; el más húmedo de los climas subhúmedos, con lluvias en verano y un porcentaje de precipitaciones en invierno inferior al 5; isotérmico; con marcha de la temperatura tipo Ganges

Cc(w2)ig

Templado Semifrío con verano corto y fresco; el más húmedo de los climas subhúmedos, con lluvias en verano y porcentaje de precipitaciones en invierno entre el 5 y el 10.2 por año; isotérmico; con marcha de la temperatura tipo Ganges

Cc(w2)(w)ig

Templado semifrío con verano corto y fresco; el más húmedo de los climas subhúmedos, con lluvias en verano y porcentaje de precipitaciones en invierno inferior al 5%; isotérmico; con marcha de la temperatura tipo Ganges

 

Mapa isotérmico. En el Cuadro 4 se presentan los intervalos de temperatura anual y mensual estimados a partir de los modelos de regresión lineal simple para el área de estudio. En las zonas de menor altitud, la temperatura media anual estimada está en el intervalo de 10-11 °C, y en las de mayor altitud, en el de 6-7 °C.

Cuadro 4. Temperaturas medias anuales y mensuales en el área de estudio (°C).

 

Intervalo

Anual

E

F

M

A

M

J

J

A

S

O

N

D

6-7

7

5.4

5.7

6.5

8.1

8.0

8.4

7.1

7.7

7.6

3.6

6.5

3.1

7-8

8

6.2

6.6

7.6

9.2

9.2

9.5

8.2

8.7

8.7

4.6

7.2

3.9

8-9

9

7.0

7.5

8.7

10.3

10.4

10.6

9.4

9.8

9.7

5.5

8.0

4.6

9-10

10

7.7

8.4

9.7

11.4

11.5

11.6

10.5

10.9

10.7

6.5

8.7

5.4

10-11

11

8.5

9.4

10.8

12.4

12.7

12.4

11.6

12.0

11.8

7.5

9.4

6.1

 

Mapas de isoyetas. Los vientos dominantes asociados a la formación de los sistemas nubosos que generan la mayor parte de las precipitaciones en la EFEZ provienen principalmente del Golfo de México con una trayectoria de noreste a suroeste. Por ello, en el análisis de las analogías de las estaciones climatológicas con la información de la precipitación media anual, y de la interacción de los sistemas de viento con la orografía del terreno, se estimaron valores de precipitación media anual de entre 1 000 y 1 100 mm en la parte del valle intermontano, en el cual los vientos descienden desde las laderas situadas al norte y noreste de la zona de estudio y posteriormente ascienden siguiendo el contorno de las laderas del sur-sureste, donde aumenta la condensación del vapor de agua del aire, y en consecuencia, la precipitación se presenta en un intervalo superior de 1 300-1 400 mm.

Los datos de precipitación anual de cada polígono generaron una tabla con los valores de precipitación media mensual, los intervalos de precipitación mensual y la precipitación mensual estimada para cada uno. Los intervalos de precipitación media mensual para cada intervalo de precipitación media anual se asignaron de acuerdo con la tendencia y los valores de precipitación media por grupo de estaciones climatológicas (Cuadro 5); en cada intervalo se incluyeron los promedios de los diferentes grupos de estaciones.

 

Cuadro 5. Estimación de los rangos de las precipitaciones medias anuales y de los valores mensuales en la zona de estudio (mm).

Intervalo

Anual

E

F

M

A

M

J

J

A

S

O

N

D

1 000-1 100

1 044.8

16.0

13.3

17.9

50.0

90.0

186.7

206.7

190.0

166.7

86.7

13.3

7.5

1 100-1 200

1 122.4

17.0

17.5

19.2

55.0

106.7

193.3

213.3

200.0

173.3

93.3

17.5

16.3

1 200-1 300

1 234.7

18.0

21.7

22.5

70.0

113.3

210.0

226.7

220.0

186.7

106.7

21.7

17.5

1 300-1 400

1 331.9

19.0

23.3

27.5

90.0

130.0

230.0

233.3

230.0

193.3

113.3

23.3

18.8

 

Mapa de la vegetación. Se obtuvieron siete categorías: 0.29 % de agua (A), 16.60 % de abeto (Ab), 2.69 % de pastizal (Pz), 49.64 % de pino (P), 14.63 % de pino-aliso (PAl), 1.89 % de pino-encino (PE) y 14.26 % de pino-abeto (PAb) (Figura 4).

 

Figura 4. Mapa de vegetación del área de estudio.

 

Mapa de unidades cartográficas homogéneas del paisaje. Al fusionar los mapas de geoformas, clima y vegetación, se obtuvieron 38 unidades cartográficas homogéneas de paisaje a las que se asignaron nombres de acuerdo con los atributos de la vegetación, el tipo de clima y la geoforma (Figura 5).

 

Figura 5. Unidades cartográficas homogéneas del paisaje y localización de estaciones meteorológicas.

 

En el Cuadro 6 se presentan los criterios de selección de los emplazamientos en los que se instalaron las estaciones meteorológicas.

 

Cuadro 6. Unidades seleccionadas para las estaciones meteorológicas.

Criterios

EMZ-01

EMZ-02

EMZ-03

Representatividad biofísica

Altitud (m)

3 273

3 413

3 575

Pendiente (%)

0-2

>40

8-15

Geoformas

Valle intermontañoso casi plano disecado por arroyos [VICPDA]

Laderas escarpadas

[LE]

Cimas de domos volcánicos inclinadas [CDVI]

Tipo de clima

Cc(w2)(w)ig

Cc(w2)(w)ig

Cc(w2)ig

Vegetación

Pastizal

Abeto

Pino-aliso

Ubicación clara

Suelo plano

Cerca del operador

Acceso fácil

 

La estación EMZ-01 se situó a una altitud de 3 273 m en un valle intermontano casi plano, atravesado por arroyos con vegetación de pradera y un clima templado semifrío.

La estación EMZ-02 se ubicó en una ladera empinada, con una altitud de 3 413 m, 140 m más alta que la EMZ-01. Esto es relevante para el conocimiento del comportamiento climático en el cinturón térmico que puede presentarse en el intervalo altitudinal de esta unidad. La vegetación corresponde a un bosque de oyamel, especie muy importante para la investigación que se realiza sobre la planificación ecológica del paisaje (Lomas-Barrié et al., 2005), la investigación forestal (Martínez-Santiago et al., 2017) o el cambio de uso del suelo (Paredes-González et al., 2018). Tiene el mismo tipo de clima que la EMZ-01.

La estación EMZ-03 se encuentra en una ladera escarpada a una altitud de 3 575 m, 162 m más alta que la EMZ-02 y 302 m por arriba de la EMZ-01. La cubierta vegetal natural es un bosque con asociación de pinos y sauces, también importante para las investigaciones que se llevan a cabo en la zona. La Figura 1 muestra la ubicación de las tres estaciones en los lugares que cumplían los criterios de selección.

 

 

Pruebas de calibración de las estaciones meteorológicas

 

 

Las pruebas de calibración de las estaciones se hicieron con equipos de referencia pertenecientes al Departamento de Meteorología de la Universidad Autónoma Chapingo; se aplicó una prueba t para dos muestras, bajo el supuesto de varianzas desiguales para cada uno de los sensores, con intervalos de 30 minutos entre las tomas de datos, durante una semana. Se obtuvieron 336 muestras para el análisis estadístico. Las pruebas comprendieron los períodos del 8 al 14 de julio de 2016 para las estaciones EMZ-01 y EMZ-02, mientras que para la estación EMZ-3, fue del 2 al 8 de junio de 2016.

En las estaciones EMZ-01 y EMZ-02 se efectuaron pruebas de calibración de los sensores de temperatura, humedad, radiación solar, radiación UV, presión atmosférica y velocidad y dirección del viento. Los datos de la estación de prueba se compararon con los de la estación de referencia. El valor estadístico t de los sensores de las dos estaciones estuvo muy por debajo del valor crítico t de dos colas (1.96). Por lo tanto, la prueba de las medias demostró que los datos son estadísticamente iguales, ya que no hay diferencias significativas entre muestras.

Se realizaron pruebas de calibración en los sensores de cada estación. Se comprobó que había diferencias significativas para los sensores de temperatura y humedad, y se procedió a calibrarlos. La calibración es un proceso frecuente para la modelización de variables climáticas (Torres-Quezada et al., 2021) o la predicción agronómica de cultivos (Corvino et al., 2018). Los sensores de presión atmosférica, velocidad y dirección del viento no fueron significativamente diferentes en el análisis estadístico. Los datos del sensor de precipitación se validaron con la estación de referencia mediante una prueba de lluvia artificial con un equipo simulador de lluvia, porque durante el periodo de prueba no se registró ninguna precipitación. Además, la prueba de la lluvia artificial ofrece más seguridad para el registro de datos.

Hubo diferencia significativa entre las muestras con el sensor de temperatura, por lo que se hizo un ajuste de -0.78 °C en el código de programación Arduino. Se realizaron, nuevamente, pruebas durante una semana y se efectuó el análisis estadístico. Los resultados evidenciaron que no había diferencias significativas entre las muestras, y el sensor se consideró calibrado (Figura 6). En el caso del sensor de humedad, se determinó diferencia significativa entre las muestras; por ello, se hizo un ajuste de +2.34 % en el código de programación Arduino y se repitieron las pruebas de calibración durante una semana. El valor estadístico de t fue inferior al valor crítico de la t de dos colas; por tanto, no hubo diferencias significativas entre las muestras.

 

Figure 6. Calibration test of temperature sensors.

 

The statistical t-values for the air pressure, wind speed, and direction sensors were far below the critical t-value (two-tailed). We thus assumed that the test of means demonstrates that there are no significant differences in the samples. As for the precipitation sensor, the data were validated by comparing the readings of the artificial rainfall equipment with those recorded by station EMZ-03, resulting in similar recorded amounts of rain.

 

 

First data calibration

 

 

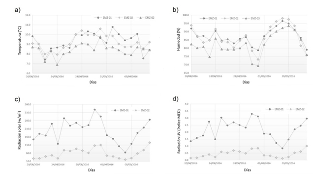
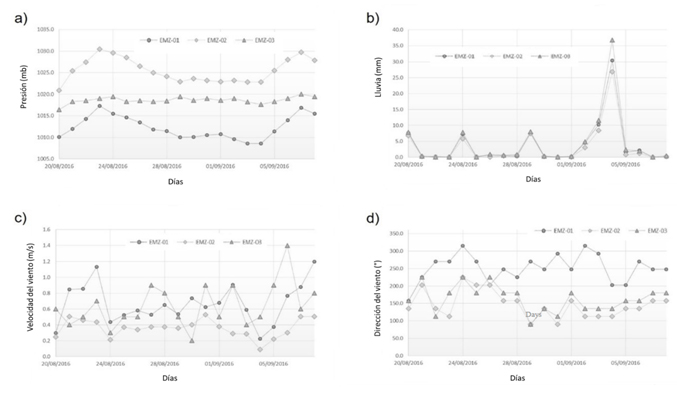
After installing the stations, we configured the WeatherLink consoles of stations EMZ-01 and EMZ-02. For station EMZ-03, the Arduino program code was downloaded. Later, we verified that the data collection was correct. Figures 7 and 8 present the data from the meteorological stations' first 20 days of operation. In the graphs, weather differences in each unit can be observed, underlining those caused by different altitudes, vegetation and geoform at which the stations were installed.

 

Figure 7. Data from the three stations of a) Temperature, b) Humidity, c) Solar radiation, and d) UV radiation.

 

Figure 8. Data from the three stations of a) Pressure, b) Precipitation, c) Wind speed, and d) Wind direction.

 

A data-collection schedule was programmed for collection during the first week of each month. Recovery of the data is manual. The operator must download the data monthly to a laptop with a USB port. Data are transferred automatically by connecting the USB cable of the datalogger to a portable computer. For station EMZ-03, the microSD memory of the station must be removed to copy the data in the computer and later return it to the station and again program it with the Arduino programming code.

The results pay off in developing open-source climate monitoring systems, fostering collaboration and improving infrastructure (Lin and Zini, 2008). The use of free software allows weather stations to be adapted by modifying and adjusting their components (Stallman, 2004). In addition, using the Arduino system allowed reaching the goal without being an expert programmer or having high financial resources, which is one of its advantages (Ferdoush and Li, 2014; Katyal et al., 2016). The results will establish bases for a climate monitoring system in the experimental area of Zoquiapan, providing detailed information and construction of better climate, forest fire and meteorological risk maps (Meulenert et al., 2005; Adepoju et al., 2020).

Installing automatic equipment has proven to be effective in obtaining climatic information. As shown, it is possible to use automatic stations programmed with Arduino. In areas of complex relief and difficult access, they are a viable option (Martínez del Castillo et al., 2012). It was noticed that the records were sufficient to show the representativeness of the complexity of the landscape and climate in the three sites studied. Representativeness is a fundamental criterion for urban and rural planning because it makes processes more efficient (Yang and Regan, 2014). In addition, installing equipment with Arduino allows for updating weather stations with many years of operation (Faugel and Bobkov, 2013).

 

 

Conclusions

 

 

A meteorological monitoring system, following landscape and representativeness with three weather stations, was implemented with good performance. Data from the first 20 days of operation revealed differences between weather stations; therefore, the altitudinal trajectory was acceptable. The low-cost Arduino-based weather station effectively collected and stored information in digital format. Our results contribute to the discussion and establishment of low-cost weather stations for local data information. New studies should include a more significant number of sensors and wireless connections, including data transfer.

 

Acknowledgements

 

The National Council of Science and Technology (Conacyt), the Universidad Autónoma Chapingo, DGIP, Division of Forest Sciences, and the Master of Science Program in Forest Sciences. We gratefully acknowledge the comments and suggestions of the anonymous reviewers, whose comments have substantially improved the paper.

 

Conflict of interest

 

The authors declare no conflict of interest.

 

Contribution by author

 

All authors participated equally in the manuscript's design, elaboration, writing and revision. 

 

 

References

 

Adepoju, T. M., M. O. Oladele, A. A. Kasali and G. J. Fabiyi. 2020. Development of a Low-Cost Arduino-Based weather station. FUOYE Journal of Engineering and Technology 5(2):69-73. Doi: 10.46792/fuoyejet.v5i2.508.

Blanco Z., S., G. Ceballos G., C. Galindo L., J. M. Maass M., R. Patrón S., A. Pescador y A. I. Suárez G. 1981. Ecología de la estación experimental Zoquiapan (descripción general, vegetación y fauna). Universidad Autónoma Chapingo. Texcoco, Edo. Méx., México. 114 p.

Brauman, K. A. 2015. Hydrologic ecosystem services: linking ecohydrologic processes to human well-being in water research and watershed management. Wiley Interdisciplinary Reviews: Water 2(4):345–358. Doi: 10.1002/wat2.1081.

Corvino, G., A. Lessio and E. Borgogno M. 2018. FRPI-PF.5: Monitoring rice crops in Piemonte (Italy): Towards an operational service based on free satellite data. In: Institute of Electrical and Electronics Engineers. IGARSS 2018-2018 IEEE International Geoscience and Remote Sensing Symposium: Observing, understanding and forecasting the dynamics of our planet. Institute of Electrical and Electronics Engineers, Inc. Valencia, V, Spain. pp. 9070-9073.

DAVIS. 2019. Weather Instruments. http://www.davisnet.com/weather-monitoring/. (October 20, 2019).

Faugel, H. and V. Bobkov. 2013. Open source hard-and software: Using Arduino boards to keep old hardware running. Fusion Engineering and Design 88(6-8):1276–1279. Doi: 10.1016/j.fusengdes.2012.12.005.

Ferdoush, S. and X. Li. 2014. Wireless sensor network system design using raspberry Pi and Arduino for environmental monitoring applications. Procedia Computer Science 34:103-110. Doi: 10.1016/j.procs.2014.07.059.

García, E. 2004. Modificaciones al Sistema de clasificación climática de Köppen. Instituto de Geografía y Universidad Nacional Autónoma de México. Coyoacán, D. F., México. 90 p.

Gómez, J. D., J. D. Etchevers, A. I. Monterroso, C. Gay, J. Campo and M. Martínez. 2008. Spatial estimation of mean temperature and precipitation in areas of scarce meteorological information. Atmósfera 21(1):35-56. https://www.revistascca.unam.mx/atm/index.php/atm/article/view/8596. (October 20, 2019).

Gómez-Mendoza, L. and L. Arriaga. 2007. Modelling the effect of Climate Change on the distribution of oak and pine species of Mexico. Conservation Biology 21(6):1545-1555. Doi: 10.1111/j.1523-1739.2007.00814.x.

Instituto Mexicano de Tecnología del Agua (IMTA). 2016. SIG ERIC v 1.0. Jiutepec, Mor., México. Servicio Meteorológico Nacional (SMN) e Instituto Mexicano de Tecnología del Agua (IMTA). http://hidrosuperf.imta.mx/sig_eric/. (July 18, 2019).

Instituto Nacional de Ecología (INE). 2010. Manual 4. Operación de estaciones de medición de la calidad del aire, mantenimiento y calibración de sus componentes. Instituto Nacional de Ecología. Coyoacán, D. F., México. 75 p.

Instituto Nacional de Estadística, Geografía e Informática (INEGI). 2016a. Hidrografía. https://www.inegi.org.mx/temas/hidrografia/. (July 18, 2016)

Instituto Nacional de Estadística, Geografía e Informática (INEGI). 2016b. Geología. https://www.inegi.org.mx/temas/geologia/. (July 18, 2016).

Instituto Nacional de Estadística, Geografía e Informática (INEGI). 2016c. Relieve continental. https://www.inegi.org.mx/temas/relieve/continental/. (July 18, 2016).

Instituto Nacional de Estadística, Geografía e Informática (INEGI). 2016d. Uso de suelo y vegetación. https://www.inegi.org.mx/temas/usosuelo/. (August 22, 2016).

Intergovernmental Panel on Climate Change (IPCC). 2021. Summary for policymakers. In: Masson-Delmotte, V., P. Zhai, A. Pirani, S. L. Connors, … and B. Zhou (eds.). Climate Change 2021: The Physical Science Basis. Contribution of Working Group I to the Sixth Assessment Report of the Intergovernmental Panel on Climate Change. Cambridge University Press. Cambridge, CB, United Kingdom. pp. 3–32.

Juárez, A., C. Gay and Y. Flores. 2005. Impact of the Popocatepetl's volcanic activity on the air quality of Puebla City, México. Atmósfera 18(1):57-69. https://www.revistascca.unam.mx/atm/index.php/atm/article/view/8537. (July 18, 2019).

Katyal, A., R. Yadav and M. Pandey. 2016. Wireless Arduino based weather station. International Journal of Advanced Research in Computer and Communication Engineering 5(4):274-276. Doi: 10.17148/IJARCCE.2016.5470.

Li, D. 2014. Assessing the impact of interannual variability of precipitation and potential evaporation on evapotranspiration. Advances in Water Resources 70:1-11. Doi: 10.1016/j.advwatres.2014.04.012.

Lin, Y. W. and E. Zini. 2008. Free/libre open source software implementation in schools: Evidence from the field and implications for the future. Computer & Education 50(3):1092-1102. Doi: 10.1016/j.compedu.2006.11.001.

Lomas-Barrié, C. T., S. Terrazas-Domínguez y H. Tchikoué M. 2005. Propuesta de ordenamiento ecológico territorial para el Parque Nacional Zoquiapan y Anexas. Revista Chapingo Serie Ciencias Forestales y del Ambiente 11(1):57–71. https://revistas.chapingo.mx/forestales/?section=articles&subsec=issues&numero=31&articulo=431. (October 20, 2019).

Martínez del Castillo, E., R. Serrano-Notivoli, K. Novak, L. A. Longares A., … y M. A. Saz S. 2012. Cuantificación de los gradientes climáticos altitudinales en la vertiente norte del Macizo del Moncayo a partir de una nueva red de estaciones automáticas en altura. In: Rodríguez P., C., A. Ceballos B., N. González R., E. Morán T. y A. Hernández E. (eds.). Cambio Climático, extremos e impactos. Publicaciones de la Asociación Española de Climatología (AEC), Serie A. Salamanca, SA, España. pp. 519-528.

Martínez-Santiago, S. Y., A. A. Alvarado-Segura, F. J. Zamudio-Sánchez and D. Cristóbal-Acevedo. 2017. Spatio-temporal analysis of forest modeling in Mexico. Revista Chapingo Serie Ciencias Forestales y del Ambiente 23(1):5–22. Doi: 10.5154/r.rchscfa.2016.01.003.

Meulenert P., Á. R., H. U. Ramírez S., F. O. García C., M. E. García G. y J. Alcalá G. 2005. Implementación de un sistema de alerta temprana contra fenómenos meteorológicos extremos e incendios forestales del Área Natural Protegida «Bosque de la Primavera» Jalisco, México, como parte de un proyecto de desarrollo y monitoreo sistemático e integral. In: Universidad de Guadalajara. Memoria del I Foro de Investigación y Conservación del Bosque La Primavera. Centro Universitario de Ciencias Biológicas y Agropecuarias, Universidad de Guadalajara. Zapopan, Jal., México. pp. 163-168. https://www.organicaeditores.mx/biblioteca/i_foro_blp/pdf/extensos/163_168_ext_Meulenert_Pe%C3%B1a_Angel.pdf. (July 18, 2019).

Organización Meteorológica Mundial (OMM). 2014. Guía de instrumentos y métodos de observación meteorológicos (OMM Núm. 8). Organización Meteorológica Mundial. Ginebra, GE, Suiza. 1291 p.

Paredes-González, A., A. I. Monterroso-Rivas, L. J. Rodríguez-Esparza and F. J. Zamudio-Sánchez. 2018. Projection and probability of land use change in Zoquiapan, Mexico: considerations for forest management. Revista Chapingo Serie Ciencias Forestales y del Ambiente 24(1):59-71. Doi: 10.5154/r.rchscfa.2017.07.041.

Pompa-García, M., F. J. Rodríguez-Flores, C. A. Aguirre-Salado y L. Miranda-Aragón. 2013. Influencia de la evaporación en el crecimiento forestal. Agrociencia 47(8):829-836. https://agrociencia-colpos.org/index.php/agrociencia/article/view/1059. (October 20, 2019).

Reyes A., G. I., S. Adame M. y E. Cadena V. 2018. Vulnerabilidad ante la variabilidad climática en los cultivos de maíz Zea mays. Sociedad y Ambiente (17):93-113. Doi: 10.31840/sya.v0i17.1842.

Romo G., J. R. y R. Arteaga R. 1989. Meteorología Agrícola. Universidad Autónoma Chapingo. Texcoco, Edo. Méx., México. 442 p.

Sparkfun. 2013. Sparkfun Weather Shield Hookup Guide. Niwot, CO, EE.UU. Sparkfun Start Something. https://learn.sparkfun.com/tutorials/weather-shield-hookup-guide. (October 17, 2016).

Stallman, R. M. 2004. Software libre para una sociedad libre. Traficantes de sueños. Madrid, MA, España. 317 p.

Torres-Quezada, J., H. Coch and A. Isalgué. 2021. Data set of climatic factors measured in a low latitude region with warm and humid climate: Solar radiation, cloud cover and sky temperature. Data in Brief 38:107404. Doi: 10.1016/J.DIB.2021.107404.

van Engelen, V. W. P. and J. A. Dijkshoorn. 2013. Global and National Soils and Terrain Databases (SOTER). Procedures Manual, Version 2.0. International Soil Reference and Information Centre World Soil Information. Wageningen, GE, The Netherlands. 198 p. https://www.isric.org/sites/default/files/isric_report_2013_04.pdf. (August 22, 2016).

Yang, C. H. and A. C. Regan. 2014. Methodology for the prioritization of environmental sensor station installation (case study of South Korea). Transport Policy 32:53–59. Doi: 10.1016/j.tranpol.2013.12.012.

 

        

Todos los textos publicados por la Revista Mexicana de Ciencias Forestales sin excepción– se distribuyen amparados bajo la licencia Creative Commons 4.0 Atribución-No Comercial (CC BY-NC 4.0 Internacional), que permite a terceros utilizar lo publicado siempre que mencionen la autoría del trabajo y a la primera publicación en esta revista.