Revista Mexicana de Ciencias Forestales Vol. 13 (71)
Mayo – Junio (2022)
DOI: https://doi.org/10.29298/rmcf.v13i71.1253 Research Article Análisis de la estructura y diversidad arbórea de bosques templados en la ladera oriental del volcán Iztaccíhuatl, México Analysis of the structure and tree diversity of temperate forests of the eastern side of the Iztaccihuatl volcano, Mexico
Prudencia Caballero Cruz1, Eduardo Javier Treviño Garza1*, José Manuel Mata Balderas1, Eduardo Alanís Rodríguez1, José Israel Yerena Yamallel1, Luis Gerardo Cuéllar Rodríguez1
|
Fecha de recepción/Reception date: 8 Febrero de 2022
Fecha de aceptación/Acceptance date: 25 de Abril de 2022
_______________________________
1Facultad de Ciencias Forestales. Universidad Autónoma de Nuevo León. México.
*Autor para correspondencia; correo-e: eduardo.trevinogr@uanl.edu.mx
*Corresponding author; e-mail: eduardo.trevinogr@uanl.edu.mx
Resumen
Se analizó la diversidad y la estructura arbórea de bosques templados del centro de México que han estado bajo presión antropogénica. Se realizó un inventario forestal en tres comunidades arbóreas: bosque de pino (BP), bosque de aile-pino (BHP) y bosque de pino-encino (BPQ); en cada una se establecieron, de manera aleatoria, 50 sitios de 500 m2. Las variables dasométricas obtenidas fueron altura total y diámetro normal. Los parámetros analizados fueron los siguientes: distribución diamétrica, Índice de Valor de Importancia, Índice de Pretzsch e índices de diversidad. En total se registraron 11 especies arbóreas; de ellas, Pinus hartwegii dominó en BP, Alnus jorullensis en BHP y Pinus ayacahuite en BPQ. El BPQ presentó la mayor densidad (272 N ha-1) y área basal (32.28 m2 ha-1). El Índice de Pretzsch indicó que los bosques de BHP y BPQ tienen una uniformidad media alta, y el BP una uniformidad media baja en diversidad de alturas. Las tres comunidades arbóreas mostraron una distribución diamétrica asimétrica positiva, con mayor número de árboles en las primeras clases diamétricas. Los resultados evidencian las intervenciones antrópicas en las tres comunidades arbóreas forestales; y ante esto, el área debe gestionarse de manera adecuada para conservar los atributos estructurales de esa importante reserva hidrológica y forestal. La información generada puede utilizarse de referencia para desarrollar planes de conservación o manejo de las especies.
Palabras clave: Comunidad arbórea, composición de especies, densidad, índices de diversidad, Índice de Pretzsch, IVI.
Abstract:
The diversity and tree structure of temperate forests in central Mexico that have been under anthropogenic pressures were analyzed. A forest inventory was carried out in three tree communities: pine forest (BP), alder-pine forest (BHP) and pine-oak forest (BPQ), and 50 sites of 500 m2 were randomly established in each one. The mensuration variables obtained were total height and normal diameter ≥7.5 cm. The diameter distribution was analyzed for each community, and the Importance Value Index, the Pretzsch Index, and the diversity indexes were estimated. A total of eleven tree species were recorded, with Pinus hartwegii dominating in BP, Alnus jorullensis in BHP and Pinus ayacahuite in BPQ. BPQ showed the highest density (272 N ha-1) and basal area (32.28 m2 ha-1). The Pretzsch index indicated that BHP and BPQ have a high mean uniformity, and BP has a low mean uniformity in height diversity. The three tree communities showed a positive asymmetric diameter distribution, with more trees in the first diameter classes. The results indicate that anthropogenic interventions in the three tree communities of the forest are evident, and that the area should be properly managed to conserve the structural attributes of this important hydrological and forest reserve. The information generated could serve as a reference to develop conservation or management plans for the species.
Key words: Tree communities, species composition, density, diversity indices, Pretzsch index, IVI.
Introduction
Temperate forests are important for the functions and services they provide, as well as for the role they play in mitigating climate change (Kay et al., 2021). In particular, those distributed in central Mexico are considered one of the critical points in the conservation of global biodiversity (Myers et al., 2000). However, the forest ecosystems of the Transversal Volcanic Axis region have historically been subjected to great pressure from different events (González et al., 2022).
Natural and man-made events such as forest fires, pests and diseases, logging, deforestation, among others, affect the structure, composition and diversity of forests (Mishra et al., 2004; Gao et al., 2020) by degrading them and simplify them (Caviedes and Ibarra, 2017). The destruction and degradation of forest ecosystems are the main effects of the presence of human beings in the region (Conanp, 2013), which is especially evident in the changes in the structure of the tree canopy.
Conservation efforts have led to the establishment of reserve areas such as the Izta-Popo National Park (Conanp, 2013). The conservation of this important hydrological and forest reserve must continue through the proper management of neighboring forest areas.
Forests are complex systems, made up of multiple structural attributes that interact with each other at different levels (Messier and Puettmann, 2011). Knowledge of its structure is essential for its management and conservation, especially where natural succession processes and anthropogenic effects are observed (Gadow et al., 2012). It has been documented that the structure of the forest is related to the total production of biomass, the conservation of biodiversity and the functions of the habitat (Cortés-Pérez et al., 2021; Vargas-Larreta et al., 2021), so the study of its attributes allows understanding forest dynamics; that is, the current state and its future development (Hui et al., 2019).
Among the variables that are estimated to study the structure of forests in particular, it can be mentioned: tree density, basimetric area and Indexes Importance Value (Xi et al., 2021), vertical distribution of species and those of diversity (Treviño et al., 2001; González et al., 2018), as well as the probability density functions for the analysis of the diameter distribution of the trees (Souza et al., 2021). The analysis of these variables shows the changes that have occurred in the tree structure of forest communities in response to human activities.
Materials and Methods
Study area
The study was carried out in temperate forests of central Mexico, in the Chiautzingo municipality of the state of Puebla (Figure 1). Three arboreal communities corresponding to pine forest (BP), alder-pine forest (BHP) and pine-oak forest (BPQ) were delimited. The work area was located between the coordinates 98°35'42.29" W, 19°10'19.17" N and 98°32'47.21" W, 19°10'36.40" N. The climate is a subhumid semi-cold temperate [Cb'(w2)] (García, 2004); the average annual temperature is from 5 to 12 °C, that of the warmest month is 22 °C and that of the coldest month ranges between 3 and 18 °C. The precipitation of the driest month is <40 mm; with summer rains and percentage of winter rain from 5 to 10.2 % of the annual total. The altimetric elevation varied between 2 900 and 3 600 m.
Figure 1. a) Location of the state of Puebla, Mexico; b) Chiautzingo municipality; c) Tree forest communities studied: pine forest (BP), alder-pine forest (BHP) and pine-oak forest (BPQ).
Sampling design and data collection
50 circular sampling sites of 500 m2 were randomly established per tree community (Figure 1). At each site, all trees with a normal diameter ≥7.5 cm were measured. The mensuration evaluated variables were normal diameter measured with a Forestry Supliers Inc.® diametric tape (model 283d/5M) and total height with a Haglöf® model Vertex III hypsometer.
Data analysis
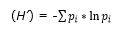
Richness of species was quantified with the Species Richness Index (S) and the diversity indexes: Margalef(Dmg), Simpson (λ), Shannon-Wiener (H’) and Pielou (J') (Table 1) (Magurran, 2004; Moreno, 2001). The calculations were done in R 4.0.3 (R Core Team, 2021) using the Biodiversity package (Kindt and Coe, 2005).
Table 1. Equations to analyze the structure and diversity of forests.
Indexes |
Description |
Diversity |
Species Richness Index:
|
Margalef Index:
Where: N = Total number of individuals
|
|
Simpson Diversity Index:
(λ) = 1- Σ pi2
|
|
Shannon–Wiener Index:
Where: pi = Relative abundance ln = Logarithm base 10
|
|
Pielou Equity Index:
|
|
|
Relative abundance:
|
Relative dominance:
|
|
Relative frecuency:
|
|
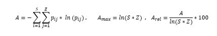
Pretzsch Index or of verticale distribution of species (A) |
Where: S = Number of present species Z = Number of height strata Pij = Percentages of species in each area, and is estimated using the following expression:
pij = ni,j /N
where ni, j = Number of individuals of the same i species in j zone N = Total number of individuals. The value of A is standardized with the equation Arel.
|
To evaluate the floristic structure, its abundance was determined for each species based on the number of trees, its frequency according to its presence in the sampling sites and its dominance based on its basimetric area. The relative results were used to obtain a weighted value at the species level called Importance Value Index (IVI), which allows hierarchically ordering the dominance of each taxon in mixed forests, and acquires values from 0 to 100 % (Table 1).
The characterization of the vertical structure was done with the PretzschIndex (A), in which A has values between zero and a maximum value (Amax); when a value A=0 it means that the forest community is constituted by a single species that occurs in a single stratum. Amax is reached when all the taxa occur in the same proportion, both in the community and in the different strata (Corral et al., 2005). For the estimation of the vertical distribution of the species, three height zones were defined: zone I (80 to 100 % of the maximum height); zone II (50 to 80 % of the maximum height) and zone III (from zero to 50 % of the maximum height).
The A index was estimated with the equation A and Amax (Table 1). The value of A was standardized with the Arel equation. When the Arel values are close to 100 %, it implies that all the species are equally distributed in the three height strata.
The diameter structure of the tree communities was analyzed from the grouping of all the individuals in diameter classes of 5 cm, and histograms of diameter classes were elaborated. The estimation of the diameter distributions was carried out through probability density functions. The most widely used in forest sciences to describe diameter distributions are the distributions Weibull (Gove et al., 2008; Souza et al., 2021), Normal, Johnson SB, Log-normal, Beta and Gamma (Ferreira de Lima et al., 2015; Hui et al., 2019). For the typification of the distribution patterns of the diameter classes, the after mentioned functions were used in this study, and the one that best fit the histograms was selected, with the use of the R 4.0.3 software (R Core Team, 2021) and the stats packages stats (R Core Team, 2021), univariateML (Moss, 2019), fitdistrplus (Delignette-Muller and Dutang, 2015), and ggplot2 (Wickham, 2016).
In order to statistically compare the richness of species and the possible differences in density and basal area between the tree forest communities, the R 4.0.3 program (R Core Team, 2021) was used to test the assumptions of normality of the variables; data were subjected to Kolmogorov-Smirnov statistical tests. The results of the test showed that the data of the variables did not meet the assumptions of normality, a condition that supported the performance of a non-parametric analysis of variance with the Kruskal-Wallis test. For both tests, a significance level of 95 % was established.
Results
Richness of species
In general, 11 tree species were recorded, distributed in eight genera and seven families, the most representative was Pinaceae with five taxa; the rest only presented one. Five species were documented in the BP tree community, 10 in BHP and nine in BPQ (Table 2).
Table 2. Tree species registered in BP, BHP and BPQ.
Scientífic name |
Family |
Common name |
Record |
Abies religiosa (Kunth) Schltdl. & Cham. |
Pinaceae |
Oyamel |
BHP, BPQ, BP |
Alnus jorullensis Kunth |
Betulaceae |
Aile |
BHP, BPQ, BP |
Arbutus xalapensis Kunth |
Ericaceae |
Madroño |
BHP, BPQ |
Buddleja cordata Kunth |
Scrophulariaceae |
Tepozán |
BHP |
Cupressus lusitanica Mill. |
Cupressaceae |
Ciprés |
BPQ |
Pinus ayacahuite Ehrenb. ex Schltdl. |
Pinaceae |
Pino crucillo |
BHP, BPQ, BP |
Pinus hartwegii Lindl. |
Pinaceae |
Pino de altura |
BHP, BP |
Pinus montezumae Lamb. |
Pinaceae |
Ocote |
BHP, BPQ |
Pinus teocote Schied. ex Schltdl. & Cham. |
Pinaceae |
Ocote |
BHP, BPQ, BP |
Quercus laurina Bonpl. |
Fagaceae |
Encino blanco |
BHP, BPQ |
Salix paradoxa Kunth |
Salicaceae |
Borreguillo |
BHP, BPQ |
The value of the Shannon-Wiener index showed that the three tree communities presented a low diversity of species (≤2). The Simpson index and the Margalef index indicated that the BQ and BHP had a low diversity, and the BPQ registered a higher diversity. The values of the Pielou index showed a low uniformity for BP, and a high mean in species for BHP and BPQ (Figure 2a).
Figure 2. a) Diversity indexes by tree forest community: BP (pine forest), BHP (alder-pine forest) and BPQ (pine-oak forest); b) Kruskal-Wallis test for richness of species.
In BP there was dominance of one taxon, in addition to a reduced number of taxa; while BHP and BPQ recorded a greater number of taxa, with a more equitable distribution of the dominant species, mainly in the BPQ. The number of species per site in BP ranged from one to four, in BHP from one to five, and in BPQ from two to six (Figure 2b). The Kruskall-Wallis test showed statistically significant differences in species richness between BP-BPQ and BHP-BPQ (Figure 2b).
Floristic structure
The average density and basimetric area of the tree communities was 227 trees ha-1 and 24.6 m2 ha-1. Pinaceae and Betulaceae were the dominant families. The most abundant species were P. hartwegii Lindl. and Alnus jorullensis Kunth; the first dominated the BP, and the second abounded in BHP and BPQ. For BP, the Pinus genus obtained 80.82 % of the IVI, and at the taxon level P. hartwegii with 73.50 %; in BHP, Alnus represented by A. jorullensis obtained 50.86 %; and in BPQ, Pinus reached 39.43 % in IVI, with P. ayacahuite Ehrenb. ex Schltdl. as the most important species (Table 3).
Table 3. Importance Value Index (IVI) by tree community.
Community |
Specie |
ABUNDANCE |
DOMINANCE |
FREQUENCY |
IVI |
|||
Absolute |
Relative |
Absolute |
Relative |
Absolute |
Relative |
|||
N ha-1 |
% |
m2 ha-1 |
% |
Sitios |
% |
|||
BP |
Pinus hartwegii Lindl. |
242 |
90.85 |
16.80 |
75.60 |
49 |
53.85 |
73.44 |
Alnus jorullensis Kunth |
12 |
4.57 |
4.13 |
18.59 |
15 |
16.48 |
13.22 |
|
Pinus ayacahuite Ehrenb. ex Schltdl. |
6 |
2.10 |
0.45 |
2.03 |
15 |
16.48 |
6.87 |
|
Abies religiosa (Kunth) Schltdl. & Cham. |
6 |
2.10 |
0.81 |
3.66 |
11 |
12.09 |
5.95 |
|
Pinus teocote Schied. ex Schltdl. & Cham. |
1 |
0.37 |
0.02 |
0.11 |
1 |
1.10 |
0.53 |
|
Total |
267 |
100 |
22.22 |
100 |
100 |
100 |
||
BHP |
Alnus jorullensis Kunth |
74 |
51.04 |
12.47 |
64.61 |
43 |
36.44 |
50.70 |
Pinus hartwegii Lindl. |
20 |
13.83 |
1.74 |
9.03 |
7 |
5.93 |
9.60 |
|
Pinus montezumae Lamb. |
9 |
5.95 |
1.16 |
6.00 |
19 |
16.10 |
9.35 |
|
Abies religiosa (Kunth) Schltdl. & Cham. |
11 |
7.33 |
1.89 |
9.79 |
12 |
10.17 |
9.10 |
|
Buddleja cordata Kunth |
15 |
10.51 |
0.83 |
4.32 |
14 |
11.86 |
8.90 |
|
Salix paradoxa Kunth |
8 |
5.26 |
0.32 |
1.65 |
9 |
7.63 |
4.84 |
|
Pinus ayacahuite Ehrenb. ex Schltdl. |
4 |
2.49 |
0.66 |
3.44 |
10 |
8.47 |
4.80 |
|
Arbutus xalapensis Kunth |
3 |
2.21 |
0.16 |
0.81 |
2 |
1.69 |
1.57 |
|
Pinus teocote Schied. ex Schltdl. & Cham. |
1 |
0.69 |
0.07 |
0.34 |
1 |
0.85 |
0.63 |
|
Quercus laurina Bonpl. |
1 |
0.69 |
0.002 |
0.01 |
1 |
0.85 |
0.52 |
|
Total |
145 |
100 |
19.30 |
100 |
100 |
100 |
||
BPQ |
Pinus ayacahuite Ehrenb. ex Schltdl. |
40 |
14.77 |
11.95 |
37.01 |
34 |
17.62 |
23.13 |
Alnus jorullensis Kunth |
70 |
25.72 |
3.96 |
12.26 |
38 |
19.69 |
19.22 |
|
Quercus laurina Bonpl. |
51 |
18.74 |
3.56 |
11.03 |
33 |
17.10 |
15.62 |
|
Arbutus xalapensis Kunth |
39 |
14.40 |
1.35 |
4.19 |
29 |
15.03 |
11.21 |
|
Pinus teocote Schied. ex Schltdl. & Cham. |
16 |
6.02 |
3.78 |
11.72 |
14 |
7.25 |
8.33 |
|
Abies religiosa (Kunth) Schltdl. & Cham. |
19 |
6.98 |
3.15 |
9.76 |
14 |
7.25 |
8.00 |
|
Pinus montezumae Lamb. |
10 |
3.53 |
3.07 |
9.50 |
21 |
10.88 |
7.97 |
|
Cupressus lusitanica Mill. |
16 |
5.80 |
1.19 |
3.70 |
4 |
2.07 |
3.86 |
|
Salix paradoxa Kunth |
11 |
4.04 |
0.27 |
0.83 |
6 |
3.11 |
2.66 |
|
Total |
272 |
100 |
32.28 |
100 |
|
100 |
100 |
|
The Kruskall-Wallis test showed significant differences in tree density between BP-BHP (p=7.99e-08) and BHP-BPQ (p=7.73e-06) (Figure 3a). At BHP sites, 40 to 430 trees ha-1 were recorded; however, the density of most of the sites was less than 250 trees ha-1, something similar occurred with the BP sites. In BPQ, whose tree density varied from 60 to 800 trees ha-1. In basal area, BP-BPQ (p=0.007) and BHP-BPQ (p=2.64e-05) were statistically different (Figure 3b).
Figure 3. a) Kruskal-Wallis test for tree density; b) Kruskal-Wallistest for basimetric area per tree community.
Vertical structure
The maximum height for the trees in the present study was 28 m (BP), 33 m (BHP) and 36.5 m (BPQ). From these values, stratification was performed to calculate the A index, whose values were: BP (A=1.13, Amax=2.71 and Arel=41.55), BHP (A=2.26, Amax=3.40 and Arel=66.49) and BPQ (A=2.41, Amax=3.30 and Arel=73.13); the foregoing indicated that in none of the three communities were the species distributed equally in the height strata; in all cases the largest number of trees was concentrated in the lower stratum (tables 3, 4 and 5).
Table 4. Height strata for the BP tree community.
SPECIES |
ABUNDANCE |
DOMINANCE |
||||
N ha-1 |
% N ha-1 from total |
% N ha-1 from stratum |
m2 ha-1 |
% m2 ha-1 from total |
% m2 ha-1 from stratum |
|
STRATUM I (22.4–28 m) |
||||||
Abies religiosa (Kunth) Schltdl. & Cham. |
1 |
0.22 |
9.09 |
0.19 |
0.84 |
9.42 |
Alnus jorullensis Kunth |
3 |
0.97 |
39.39 |
1.28 |
5.75 |
64.55 |
Pinus hartwegii Lindl. |
3 |
1.27 |
51.52 |
0.52 |
2.32 |
26.04 |
Total |
7 |
2.47 |
100 |
1.98 |
8.91 |
100 |
STRATUM II (14-22.39 m) |
||||||
Abies religiosa (Kunth) Schltdl. & Cham. |
3 |
1.20 |
3.13 |
0.47 |
2.13 |
3.52 |
Alnus jorullensis Kunth |
8 |
3.15 |
8.22 |
2.76 |
12.41 |
20.54 |
Pinus ayacahuite Ehrenb. ex Schltdl. |
1 |
0.45 |
1.17 |
0.22 |
1.00 |
1.65 |
Pinus hartwegii Lindl. |
88 |
33.13 |
86.50 |
9.95 |
44.79 |
74.11 |
Pinus teocote Schied. ex Schltdl. & Cham. |
1 |
0.37 |
0.98 |
0.02 |
0.11 |
0.18 |
Total |
102 |
38.31 |
100 |
13.43 |
60.44 |
100 |
STRATUM III (<13.99 m) |
||||||
Abies religiosa (Kunth) Schltdl. & Cham. |
2 |
0.67 |
1.14 |
0.16 |
0.70 |
2.28 |
Alnus jorullensis Kunth |
1 |
0.45 |
0.76 |
0.10 |
0.43 |
1.39 |
Pinus ayacahuite Ehrenb. ex Schltdl. |
4 |
1.65 |
2.78 |
0.23 |
1.03 |
3.38 |
Pinus hartwegii Lindl. |
151 |
56.45 |
95.32 |
6.33 |
28.49 |
92.95 |
Total |
158 |
59.22 |
100 |
6.81 |
30.65 |
100 |
General total |
267 |
100 |
300 |
22.22 |
100 |
300 |
Table 5. Height strata for the BHP tree community.
SPECIES |
ABUNDANCE |
DOMINANCE |
||||
N ha-1 |
% N ha-1 from total |
% N ha-1 from stratum |
m2 ha-1 |
% m2 ha-1 from total |
% m2 ha-1 from stratum |
|
STRATUM I (26.40-33 m) |
||||||
Abies religiosa (Kunth) Schltdl. & Cham. |
3 |
1.92 |
34.15 |
0.95 |
4.94 |
33.99 |
Alnus jorullensis Kunth |
3 |
2.19 |
39.02 |
1.28 |
6.66 |
45.77 |
Pinus ayacahuite Ehrenb. ex Schltdl. |
1 |
0.69 |
12.20 |
0.19 |
0.98 |
6.75 |
Pinus hartwegii Lindl. |
1 |
0.41 |
7.32 |
0.19 |
0.99 |
6.83 |
Pinus montezumae Lamb. |
1 |
0.41 |
7.32 |
0.19 |
0.97 |
6.66 |
Total |
8 |
5.62 |
100 |
2.81 |
14.54 |
100 |
STRATUM II (16.50-26.39 m) |
||||||
Abies religiosa (Kunth) Schltdl. & Cham. |
5 |
3.43 |
10.29 |
0.78 |
4.02 |
7.56 |
Alnus jorullensis Kunth |
33 |
22.91 |
68.72 |
7.75 |
40.18 |
75.60 |
Buddleja cordata Kunth |
1 |
0.69 |
2.06 |
0.12 |
0.61 |
1.14 |
Pinus ayacahuite Ehrenb. ex Schltdl. |
1 |
0.96 |
2.88 |
0.26 |
1.34 |
2.51 |
Pinus hartwegii Lindl. |
4 |
2.61 |
7.82 |
0.57 |
2.94 |
5.54 |
Pinus montezumae Lamb. |
3 |
2.06 |
6.17 |
0.72 |
3.72 |
6.99 |
Pinus teocote Schied. ex Schltdl. & Cham. |
1 |
0.69 |
2.06 |
0.07 |
0.34 |
0.65 |
Total |
49 |
33.33 |
100 |
10.26 |
53.15 |
100 |
STRATUM III (<16.49 m) |
||||||
Abies religiosa (Kunth) Schltdl. & Cham. |
3 |
1.92 |
3.15 |
0.16 |
0.83 |
2.56 |
Alnus jorullensis Kunth |
37 |
25.51 |
41.80 |
3.43 |
17.77 |
55.00 |
Arbutus xalapensis Kunth |
3 |
2.19 |
3.60 |
0.16 |
0.81 |
2.51 |
Buddleja cordata Kunth |
15 |
10.15 |
16.63 |
0.72 |
3.71 |
11.48 |
Pinus ayacahuite Ehrenb. ex Schltdl. |
2 |
1.23 |
2.02 |
0.22 |
1.13 |
3.49 |
Pinus hartwegii Lindl. |
16 |
10.70 |
17.53 |
0.98 |
5.09 |
15.76 |
Pinus montezumae Lamb. |
5 |
3.43 |
5.62 |
0.25 |
1.31 |
4.05 |
Quercus laurina Bonpl. |
1 |
0.69 |
1.12 |
0.00 |
0.01 |
0.04 |
Salix paradoxa Kunth |
8 |
5.21 |
8.54 |
0.32 |
1.65 |
5.11 |
Total |
89 |
61.04 |
100 |
6.24 |
32.31 |
100 |
General total |
146 |
100 |
300 |
19.30 |
100 |
300 |
For BP, the most abundant species in the three strata was P. hartwegii. Of the five present, three were recorded in stratum I, which corresponds to 2.47 % of the trees and 8.91 % of the basal area. In stratum II, the five species were present, with 38.31 % of the individuals and a basal area of 60.44 %; in stratum III four were observed, with the largest number of individuals (59.22 %) and 30.65 % of basal area (Table 4).
At BHP, the most abundant species in all three strata was A. jorullensis. Of the nine taxa identified in the tree community, five were in stratum I, which corresponded to 5.62 % of the trees, and 14.54 % of the basal area. In stratum II, seven species were recorded, with 33.33 % of the individuals and a basal area of 53.15 %. In stratum III nine species were observed, with the highest number of individuals (61.04 %) and 32.31 % of basal area (Table 5).
In BPQ, the species with the highest abundance in the upper stratum was P. ayacahuite, and A. jorullensis in the lower stratum. Of the nine taxa present in the tree community, five corresponded to stratum I, which represented 5.64 % of the trees and 21.74 % of the basal area. In stratum II, seven species were recorded, with 16.63 % of the individuals and 42.32 % of the basal area. In stratum III, nine taxa were recorded, with 77.73 % of the individuals and 35.94 % of the basal area (Table 6). It should be noted that the tallest individuals in the three tree communities were specimens of Abies religiosa (Kunth) Schltdl. & Cham.
Table 6. Height strata for the BPQ tree community.
SPECIES |
ABUNDANCE |
DOMINANCE |
||||
N ha-1 |
% N ha-1 from total |
% N ha-1 from stratum |
m2 ha-1 |
% m2 ha-1 from total |
% m2 ha-1 from stratum |
|
STRATUM I (29.20-36.50 m) |
||||||
Abies religiosa (Kunth) Schltdl. & Cham. |
3 |
1.03 |
18.18 |
1.33 |
4.13 |
19.00 |
Pinus ayacahuite Ehrenb. ex Schltdl. |
7 |
2.71 |
48.05 |
4.13 |
12.78 |
58.80 |
Pinus montezumae Lamb. |
1 |
0.51 |
9.09 |
0.48 |
1.50 |
6.90 |
Pinus teocote Schied. ex Schltdl. & Cham. |
4 |
1.39 |
24.68 |
1.07 |
3.33 |
15.30 |
Total |
15 |
5.64 |
100 |
7.02 |
21.74 |
100 |
STRATUM II (18.25-29.19 m) |
||||||
Abies religiosa (Kunth) Schltdl. & Cham. |
6 |
2.27 |
13.66 |
1.53 |
4.75 |
11.22 |
Alnus jorullensis Kunth |
2 |
0.73 |
4.41 |
0.41 |
1.26 |
2.98 |
Arbutus xalapensis Kunth |
1 |
0.37 |
2.20 |
0.08 |
0.25 |
0.60 |
Pinus ayacahuite Ehrenb. ex Schltdl. |
15 |
5.35 |
32.16 |
5.70 |
17.66 |
41.73 |
Pinus montezumae Lamb. |
7 |
2.42 |
14.54 |
2.52 |
7.80 |
18.42 |
Pinus teocote Schied. ex Schltdl. & Cham. |
9 |
3.30 |
19.82 |
2.48 |
7.68 |
18.14 |
Quercus laurina Bonpl. |
6 |
2.20 |
13.22 |
0.94 |
2.92 |
6.91 |
Total |
45 |
16.63 |
100 |
13.66 |
42.32 |
100 |
STRATUM III (<18.24 m) |
||||||
Abies religiosa (Kunth) Schltdl. & Cham. |
10 |
3.66 |
4.71 |
0.28 |
0.88 |
2.45 |
Alnus jorullensis Kunth |
68 |
24.91 |
32.05 |
3.55 |
11.00 |
30.62 |
Arbutus xalapensis Kunth |
39 |
14.29 |
18.38 |
1.27 |
3.94 |
10.96 |
Cupressus lusitánica Mill. |
16 |
5.79 |
7.45 |
1.19 |
3.70 |
10.28 |
Pinus ayacahuite Ehrenb. ex Schltdl. |
18 |
6.67 |
8.58 |
2.12 |
6.57 |
18.27 |
Pinus montezumae Lamb. |
2 |
0.59 |
0.75 |
0.07 |
0.21 |
0.58 |
Pinus teocote Schied. ex Schltdl. & Cham. |
4 |
1.32 |
1.70 |
0.23 |
0.71 |
1.99 |
Quercus laurina Bonpl. |
45 |
16.48 |
21.21 |
2.62 |
8.10 |
22.54 |
Salix paradoxa Kunth |
11 |
4.03 |
5.18 |
0.27 |
0.83 |
2.31 |
Total |
212 |
77.73 |
100 |
11.60 |
35.94 |
100 |
General total |
273 |
100 |
300 |
32.28 |
100 |
300 |
Diametric characterization
In the three tree communities, the distributions of the diameter classes were positively skewed; that is, they are biased towards the first classes, which were the most represented in the area; while large diameter individuals (DBH>80cm) were scarce, characteristic of a mature irregular forest. The inequality in diameter sizes is an effect associated with competitive processes carried out by the species during the different stages of forest development, but it is also associated with interventions carried out by humans.
The BP community was fitted to the Gammafunction (p<0.005), BHP to three-parameter Weibull (p<0.022), and BPQ to Log-normal (p<0.005) (Figure 4).
Figure 4. Tree density per diametric class.
Discussion
The composition, diversity and structure of natural forests must be considered in the management and conservation of forest ecosystems (Ćosović et al., 2020). The arboreal communities of temperate forests studied are dominated in the tree layer, generally, by the Pinaceae family, and in the lower parts the Pinus forests are mixed with Quercus and Alnus, among other genera. Likewise, in some places the Alnus forests form successional communities, arising as a consequence of the destruction of other types of forests (Rzedowski, 2006).
In the study area, 11 species were recorded, this is similar to that cited by some authors for temperate forests of Durango State (Solís et al., 2006; Návar-Cháidez and González-Elizondo, 2009); Chihuahua State(Hernández-Salas et al., 2013) and Puebla State (López-Hernández et al., 2017). Among the 11 taxa identified, the presence of Pinus ayacahuite was observed, which has been used for reforestation in the area.
Tree density values (266, 145 and 272 individuals ha-1) estimated for the region are similar to those reported by Ramos et al. (2017) for a temperate forest in the Sierra Madre Oriental; however, they are lower than the figures documented for temperate forests by other authors for specimens with a diameter ≥7.5 cm (575, 389 or 576 individuals ha-1) (Graciano-Ávila et al., 2017; López-Hernández et al., 2017; Gonzalez et al., 2018).
The estimated basimetric area (22.21, 19.30 and 32.28 m2 ha-1) is higher than that reported by Dávila-Lara et al. (2019) for a temperate forest in San Luis Potosí State and similar to what was recorded for temperate forests in Nuevo León State (Ramos et al., 2017) and Chihuahua State(Hernández et al., 2018).
The IVI obtained for the Pinaceae family in the BPQ community (47.43 %) is close to that documented (40.20 %) by Dávila-Lara et al. (2019) in a pine-oak forest in San Luis Potosí. Also in BP Pinaceae it is of greater importance (86.78 %), similar to that cited by Hernández-Salas et al. (2013) and López-Hernández et al. (2017).
In the height characterization of the tree communities through the Pretzsch index, it became evident that the three types of forest have strata of similar heights, and that the highest percentage of trees is concentrated in stratum III; trees with a height ≤18 m are grouped in it. The A (1.13, 2.26, 2.41), Amax (2.71, 3.40, 3.30) and Arel (41.55, 66.49, 73.13) values for BP, BHP and BPQ, respectively. Of them, the BPQ and BHP are very similar to what they indicate (A=2.19, 2.22; Amax=3.4, 3.2; Arel=64.3, 69.8 %) Dávila-Lara et al. (2019) and Rubio et al. (2014), both for BPQ.
The diameter distributions of patchy forests have been studied using mathematical models or histograms with fitted curves through probability density functions (Pond and Froese, 2015). The diameter distributions of the three tree communities were similar, with a greater number of trees in the first classes, which is characteristic of forests with human intervention, mainly due to the removal of large trees for commercial purposes.
Probability density functions fitted to tree community data have been used in the study of other patchy forests. These were Weibull (Souza et al., 2021), Gamma (Gorgoso-Varela et al., 2020) and Log-normal (Ferreira de Lima et al., 2015).
Conclusions
The tree communities of temperate forests studied differ in diversity and structure, are heterogeneous and include communities made up, mainly, by species of the Pinus, Abies, Alnus and Quercus genera, among others, that stand out for their dominance or abundance. In addition, the communities have a medium high uniformity (BHP, BPQ) and a medium low uniformity (BP) in height diversity. Diversity values are low for BP, so it shows dominance of one species. Likewise, the distribution of the trees by diameter classes confirms that most individuals are gathered in the first diameter classes, which indicates a population in a recovery phase, after being subjected to pressure factors such as logging.
When applying statistical analysis to determine differences between temperate forest tree communities, there are significant differences in density (BP-BHP, BHP-BPQ), basimetric area (BP-BPQ, BHP-BPQ) and species richness (BP-BPQ, BHP-BPQ). Based on the analysis carried out, the differentiated response of the communities to the effect of the activities carried out in them, particularly in the BPQ communities, is evident.
Acknowledgements
This study is part of the first author's doctoral research and is a requirement for obtaining a Doctor of Science degree with a focus on Natural Resource Management from the Universidad Autónoma de Nuevo León. The first author thanks the National Council of Science and Technology (Conacyt) for the scholarship granted (766482) for carrying out his studies at the Graduate School of Forest Sciences.
Conflict of interest
The authors declare not conflict of interest.
Contribution by author
Prudencia Caballero Cruz: data collection and analysis, witing of the manuscript; Eduardo Javier Treviño Garza, José Manuel Mata Balderas, Eduardo Alanís Rodríguez, Israel Yerena Yamallel y Luis Gerardo Cuéllar Rodríguez: coordination of data analysis, writing and review of the manuscript.
References
Caviedes, J. and J. T. Ibarra. 2017. Influence of Anthropogenic Disturbances on Stand Structural Complexity in Andean Temperate Forests: Implications for Managing Key Habitat for Biodiversity. PLOS ONE 12(3):e0174147. Doi: 10.1371/journal.pone.0174147.
Comisión Nacional de Áreas Naturales Protegidas (Conanp). 2013. Programa de Manejo Parque Nacional Iztaccíhuatl-Popocatépetl. Secretaría de Medio Ambiente y Recursos Naturales (Semarnat). México, D. F., México. 190 p. https://simec.conanp.gob.mx/pdf_libro_pm/87_libro_pm.pdf (03 de enero del 2022).
Corral R., J., J. Jiménez P., Ó. A. Aguirre C. y S. Corral R. 2005. Un análisis del efecto del aprovechamiento forestal sobre la diversidad estructural en el bosque mesófilo de montaña “El Cielo”, Tamaulipas, México. Investigación Agraria Sistemas y Recursos Forestales 14(2):217-228. Doi: 10.5424/srf/2005142-00885.
Cortés-Pérez, M., F. De León-González, F. Paz-Pellat, T. Leyva-Pablo, W. Santiago-García, A. Ponce-Mendoza y M. Fuentes-Ponce. 2021. Almacenamiento de carbono aéreo en un bosque templado de Oaxaca: manejo de alta y baja intensidad. Madera y Bosques 27(4):e2742440. Doi: 10.21829/myb.2021.2742440.
Ćosović, M., M. N. Bugalho, D. Thom and J. G. Borges. 2020. Stand structural characteristics are the most practical Biodiversity Indicators for forest management planning in Europe. Forests 11(3):343. Doi: 10.3390/f11030343.
Dávila-Lara, M. A., Ó. A. Aguirre-Calderón, E. Jurado-Ybarra, E. Treviño-Garza, M. A. González-Tagle y G. Trincado. 2019. Estructura y diversidad de especies arbóreas en bosques templados de San Luis Potosí, México. Ecosistemas y recursos agropecuarios 6(18):399-409. Doi: 10.19136/era.a6n18.2112.
Delignette-Muller, M. L. and C. Dutang. 2015. fitdistrplus: An R package for fitting distributions. Journal of Statistical Software 64(4). Doi: 10.18637/jss.v064.i04.
Ferreira de Lima, R. A., J. L. Ferreira B. and P. I. Prado. 2015. Modeling tree diameter distributions in natural forests: An evaluation of 10 statistical models. Forest Science 61(2):320-327. Doi: 10.5849/forsci.14-070.
Gadow, K. V., C. Y. Zhang, C. Wehenkel, A. Pommerening, J. Corral-Rivas, M. Korol, S. Myklush, G. Y. Hui, A. Kiviste and X. H. Zhao. 2012. Forest structure and diversity. In: T. Pukkala and Gadow K. v. (eds.) Continuous Cover Forestry. Managing Forest Ecosystems 23. Springer. Dordrecht, Netherlands. Doi: 10.1007/978-94-007-2202-6_2.
Gao, Y., M. Skutsch, J. Paneque-Gálvez and A. Ghilardi. 2020. Remote sensing of forest degradation: a review. Environmental Research Letters15(10):103001. Doi: 10.1088/1748-9326/abaad7.
García, E. 2004. Modificaciones al sistema de clasificación climática de Köppen. Serie Libros, Núm. 6. Instituto de Geografía - Universidad Nacional Autónoma de México. México D. F. México. 97 p. http://www.publicaciones.igg.unam.mx/index.php/ig/catalog/view/83/82/251-1. (03 de febrero de 2022).
González C., R., E. J. Treviño G., M. A. González T., Á. Duque M. y M. Gómez C. 2018. Diversidad y estructura arbórea en un bosque de Abies vejarii Martínez en el sur del estado de Nuevo León. Revista mexicana de ciencias forestales 9(45):36-65. Doi: 10.29298/rmcf.v9i45.142.
González-Fernández, A., J. Segarra, A. Sunny and S. Couturier. 2022. Forest cover loss in the Nevado de Toluca volcano protected area (Mexico) after the change to a less restrictive category in 2013. Biodiversity and Conservation. Doi: 10.1007/s10531-022-02368-y.
Gorgoso-Varela, J. J., F. N. Ogana and P. O. Ige. 2020. A comparison between derivative and numerical optimization methods used for diameter distribution estimation. Scandinavian Journal of Forest Research 35(3-4):156-164. Doi: 10.1080/02827581.2020.1760343.
Gove, J. H., M. J. Ducey, W. B. Leak and L. Zhang. 2008. Rotated sigmoid structures in managed uneven-aged northern hardwood stands: a look at the Burr Type III distribution. Forestry: An International Journal of Forest Research 81(2):161-176. Doi: 10.1093/forestry/cpm025.
Graciano-Ávila, G., Ó. A. Aguirre-Calderón, E. Alanís-Rodríguez y J. E. Lujan-Soto. 2017. Composición, estructura y diversidad de especies arbóreas en un bosque templado del Noroeste de México. Ecosistemas y recursos agropecuarios 4(12):535-542. Doi: 10.19136/era.a4n12.1114.
Hernández-Salas, J., Ó. A. Aguirre-Calderón, E. Alanís-Rodríguez, J. Jiménez-Pérez, E. J. Treviño-Garza, M. A. González-Tagle, C. Luján-Álvarez, J. M. Olivas-García y L. A. Domínguez-Pereda. 2013. Efecto del manejo forestal en la diversidad y composición arbórea de un bosque templado del noroeste de México. Revista Chapingo Serie Ciencias Forestales y del Ambiente 19(3):189-199. Doi: 10.5154/r.rchscfa.2012.08.052.
Hernández-Salas, J., Ó. A. Aguirre-Calderón, E. Alanís-Rodríguez, J. Jiménez-Pérez, E. J. Treviño-Garza, M. A. González-Tagle, C. Luján-Álvarez, J. M. Olivas-García y L. A. Domínguez-Pereda. 2018. Dinámica del crecimiento de un bosque templado bajo manejo en el noroeste de México. Madera y Bosques 24(2):e2421767. Doi: 10.21829/myb.2018.2421767.
Hui, G., G. Zhang, Z. Zhao and A. Yang. 2019. Methods of forest structure research: A review. Current Forestry Reports 5(3):142-154. Doi: 10.1007/s40725-019-00090-7.
Kay, H., M. Santoro, O. Cartus, P. Bunting and R. Lucas. 2021. Exploring the relationship between forest canopy height and canopy density from Spaceborne LiDAR observations. Remote Sensing 13(24), 4961. Doi: 10.3390/rs13244961.
Kindt, R. and R. Coe. 2005. Tree diversity analysis A manual and software for common statistical methods for ecological and biodiversity studies. Ed. World Agroforestry Centre (ICRAF). Nairobi, Kenia. 160 p.
López-Hernández, J. A., Ó. A. Aguirre-Calderón, E. Alanís-Rodríguez, J. C. Monarrez-González, M. A. González-Tagle y J. Jiménez-Pérez. 2017. Composición y diversidad de especies forestales en bosques templados de Puebla, México. Madera y Bosques 23(1):39-51. Doi: https://doi.org/10.21829/myb.2017.2311518.
Magurran, A. E. 2004. Measuring biological diversity. Ed. Blackwell Publishing Co. Malden, MA, U. S. A. 261 p.
Messier, C. and K. J. Puettmann. 2011. Forests as complex adaptive systems: implications for forest management and modelling. L’Italia Forestale e Montana 66(3):249–258. Doi: 10.4129/ifm.2011.3.11.
Mishra, B. P., O. P. Tripathi, R. S. Tripathi and H. N. Pandey. 2004. Effects of anthropogenic disturbance on plant diversity and community structure of a sacred grove in Meghalaya, northeast India. Biodiversity and Conservation 13(2):421–436. Doi: 10.1023/B:BIOC.0000006509.31571.a0.
Moreno, C. E. 2001. Métodos para medir la biodiversidad. Manuales y Tesis SEA, vol. 1. Ed. Programa Iberoamericano de Ciencia y Tecnología para el Desarrollo (CYTED), Oficina Regional de Ciencia y Tecnología para América Latina y el Caribe (ORCYT-UNESCO) y Sociedad Entomológica Aragonesa (SEA). Zaragoza, España. 86 p. http://entomologia.rediris.es/sea/manytes/metodos.pdf (23 de diciembre del 2021).
Moss, J. 2019. univariateML: An R package for maximum likelihood estimation of univariate densities. Journal of Open Source Software 4(44):1863. https://doi.org/10.21105/joss.01863.
Myers, N., R. A. Mittermeier, C. G. Mittermeier, G. A. B. da Fonseca and J. Kent. 2000. Biodiversity hotspots for conservation priorities. Nature 403(6772):853–858. Doi: https10.1038/35002501.
Návar-Cháidez, J. de J. y S. González-Elizondo. 2009. Diversidad, estructura y productividad de bosques templados de Durango, México. Polibotánica (27):71-87. http://www.scielo.org.mx/pdf/polib/n27/n27a5.pdf (03 de febrero del 2022).
Pond, N. C. and R. E. Froese. 2015. Interpreting stand structure through diameter distributions. Forest Science 61(3):429-437. Doi: 10.5849/forsci.14-056.
R Core Team. 2021. The R Project for Statistical Computing. https://www.R-project.org/. (03 de febrero del 2022).
Ramos R., J. C., E. J. Treviño G., E. Buendía R., O. A. Aguirre C. y J. I. López M. 2017. Productividad y estructura vertical de un bosque templado con incidencia de incendios forestales. Revista Mexicana de Ciencias Forestales 8(43):64-88. Doi: 10.29298/rmcf.v8i43.66.
Rzedowski, J. 2006. Vegetación de México. Ed. Comisión Nacional para el Conocimiento y Uso de la Biodiversidad. México D. F., México. 504 p.
Rubio C., E. A., M. A. González T., J. Jiménez P., E. Alanís R. y D. Y. Ávila F. 2014. Diversidad y distribución vertical de especies vegetales mediante el índice de Pretzsch. Ciencia UANL 17(65):34-41. http://cienciauanl.uanl.mx/?p=799. (20 de enero del 2022).
Solís M., R., Ó. A. Aguirre C., E. J. Treviño G., J. Jiménez P., E. Jurado Y. y J. Corral R. 2006. Efecto de dos tratamientos silvícolas en la estructura de ecosistemas forestales en Durango, México. Madera y Bosques 12(2):49–64. Doi: 10.21829/myb.2006.1221242.
Souza, D. V., L. S. Ferrari, V. M. Coutinho, J. X. Santos, S. Péllico N., C. R. Sanquetta and A. P. Dalla C. 2021. Diameter Structure, spatial pattern, and management scenarios of Acapu Trees: A Case Study. Floresta e Ambiente 28(1):e20190023. Doi: 10.1590/2179-8087-FLORAM-2019-0023.
Treviño G., E. J., C. Cavazos C. y O. A. Aguirre C. 2001. Distribución y estructura de los bosques de galería en dos ríos del centro sur de Nuevo León. Madera y Bosques 7(1):13-25. Doi: 10.21829/myb.2001.711315.
Vargas-Larreta, B., J. O. López-Martínez, E. J. González, J. J. Corral-Rivas and F. J. Hernández. 2021. Assessing above-ground biomass-functional diversity relationships in temperate forests in northern Mexico. Forest Ecosystems 8(1):8. Doi: 10.1186/s40663-021-00282-3.
Wickham, H., W. Chang, L. Henry, T. Lin P., K. Takahashi, C. Wilke, K. Woo, H. Yutani and D. Dunnington. 2016. ggplot2 3.3.5.https://ggplot2.tidyverse.org. (05 de febrero del 2022).
Xi, J., Y. Shao, Z. Li, P. Zhao, Y. Ye, W. Li, Y. Chen and Z. Yuan. 2021. Distribution of woody plant species among different disturbance regimes of forests in a temperate deciduous broad-leaved forest. Frontiers in Plant Science 12. Doi: 10.3389/fpls.2021.618524.
Todos los textos publicados por la Revista Mexicana de Ciencias Forestales –sin excepción– se distribuyen amparados bajo la licencia Creative Commons 4.0 Atribución-No Comercial (CC BY-NC 4.0 Internacional), que permite a terceros utilizar lo publicado siempre que mencionen la autoría del trabajo y a la primera publicación en esta revista.