Revista Mexicana de Ciencias Forestales Vol. 13 (72)

Julio – Agosto (2022)

Logotipo, nombre de la empresa

Descripción generada automáticamente

DOI: https://doi.org/10.29298/rmcf.v13i72.1250

Article

Características morfométricas, reproductivas y germinativas del germoplasma de Swietenia humilis Zucc. en Guerrero

Morphometric, reproductive and germination characteristics of Swietenia humilis Zucc. germplasm from Guerrero State

 

Celi Gloria Calixto Valencia1, Víctor Manuel Cetina Alcalá1*, Carlos Ramírez Herrera1, Miguel Ángel López López1, Gregorio Ángeles-Pérez1, Armando Equihua Martínez2, Erickson Basave Villalobos3

 

Fecha de recepción/Reception date: 21 de enero de 2022

Fecha de aceptación/Acceptance date: 25 de junio del 2022

_______________________________

1Posgrado en Ciencias Forestales. Colegio de Postgraduados. Campus Montecillo. México.

2Posgrado en Fitosanidad. Colegio de Postgraduados. Campus Montecillo. México.

3Campo Experimental Valle del Guadiana, CIRNOC. Instituto Nacional de Investigaciones Forestales, Agrícolas y Pecuarias. México.

 

*Autor de correspondencia; correo-e: vicmac@colpos.mx

*Correspoding author; e-mail: vicmac@colpos.mx

 

Abstract

Swietenia humilis is a tropical hardwood species threatened by habitat fragmentation due to deforestation and changes in land use. Therefore, it is essential to characterize the germplasm of natural populations to define conservation, propagation and reforestation strategies. The morphometric and reproductive characteristics of fruits, as well as the viability and germination capacity of seeds of S. humilis trees from natural stands from several sites in the state of Guerrero,Mexico: Zacapalco, Buenavista, Santa Fe Tepetlapa, Cieneguillas, Tuxpan and Arcelia were analyzed. At each site, fruit and seed size and weight, number and proportion of developed and undeveloped seeds, viability and germination capacity were characterized. A Kruskal-Wallis nonparametric analysis of variance and a comparison of means were performed at a significance level α=0.05. Fruit and seed characteristics varied among the sites evaluated. Cieneguillas presented fruits of smaller size, weight and number of seeds. Tuxpan had the highest number of seeds but a high proportion of undeveloped seeds. Santa Fe presented the highest number of developed seeds, although the heaviest, most viable, vigorous and with the highest germination capacity were those of Zacapalco. S. humilis trees in the natural stands analyzed in the state of Guerrero produce fruits and seeds that differ in their morphometric and reproductive characteristics, as well as in their germination capacity.

Key words: Caobilla, germination, Meliaceae, seed production, fruit size, seed viability.

Resumen

Swietenia humilis es una especie tropical de madera preciosa amenazada por la fragmentación de su hábitat debido a deforestación y cambios en el uso del suelo. Por lo tanto, es esencial caracterizar el germoplasma de las poblaciones naturales para definir estrategias de conservación, propagación y reforestación. Se analizaron características morfométricas y reproductivas de frutos, así como la viabilidad y capacidad germinativa de semillas de S. humilis de seis sitios en el estado de Guerrero, México: Zacapalco, Buenavista, Santa Fe Tepetlapa, Cieneguillas, Tuxpan y Arcelia. En cada sitio, se caracterizó el tamaño y peso de frutos y semillas, el número y proporción de semillas desarrolladas y no desarrolladas, la viabilidad y la capacidad germinativa. Para cada variable se hizo un análisis de varianza no paramétrico Kruskal-Wallis y una comparación de medias. Las características de los frutos y semillas variaron entre los sitios evaluados. Cieneguillas presentó menor tamaño de frutos, peso y número de semillas. Tuxpan registró la mayor cantidad de semillas, pero una proporción alta fueron no desarrolladas. Para Santa Fe se obtuvo la mayor cantidad de semillas desarrolladas, aunque las más pesadas, viables, vigorosas y con mayor capacidad germinativa fueron las de Zacapalco. Los árboles de S. humilis de los rodales naturales analizados en el estado de Guerrero producen frutos y semillas que difieren en sus características morfométricas y reproductivas, así como en su capacidad germinativa.

Palabras clave: Caobilla, germinación, Meliaceae, producción de semillas, tamaño de frutos, viabilidad de semillas.

 

 

Introduction

 

 

Swietenia humilis Zucc. it is a forest species of high ecological and socioeconomic importance that is distributed along the Pacific coast of Mexico and Central America (Rosas et al., 2011). Its wood is of excellent quality and medicinal properties have been attributed to it, for which it has been the subject of pharmacological studies (Flores et al., 2019). However, the distribution area and size of the natural populations of S. humilis have decreased rapidly (Rosas et al., 2011). Due to the fragmentation of its habitat, it is common to find isolated trees or small remnant stands, which has affected its natural regeneration and genetic diversity (Rosas et al., 2011). For example, in the Chamela-Cuixmala Biosphere Reserve, allelic richness in seeds from isolated populations was lower (6.1 alleles per locus) compared to that from continuous forests (8.3) (Rosas et al., 2011). Consequently, S. humilis is included in the red list of threatened species of the International Union for Conservation of Nature (Barstow, 2019).

The reduction and loss of natural populations of S. humilis justifies the need to implement actions for its conservation and sustainable use. For species under similar conditions, seed storage in germplasm banks, reforestation and restoration projects are the main ex situ and in situ conservation and preservation strategies that have contributed to the sustainability of such forest genetic resources (Ledig, 2004). However, the limited availability of good quality germplasm, mainly from the genetic and physiological components, limits the success of these conservation, preservation and management strategies (Núñez-Cruz et al., 2018).

The collection of germplasm of native species does not guarantee fruits and seeds with the sufficiency and quality required (Aitken, 2004); the latter in terms of viability, vigor and germination capacity. This is explained because, for the most part, the material comes from small and fragmented populations or from isolated individuals, in which the parental sources suffered impacts at the genetic level (Pereira et al., 2020). On the one hand, it is argued that these sources of germplasm are not the most appropriate due to the adverse effects caused by habitat fragmentation on the productivity and reproductive success of forest species (Broadhurst and Boshier, 2014; Melo et al., 2021); on the other, it is emphasized that the use of local seed sources should be prioritized to meet the immediate demands for germplasm in reforestation and restoration programs on a small and medium scale (Melo et al., 2021), since this genetic material is better adapted to the conditions of the plantation sites (Broadhurst and Boshier, 2014).

A relevant guideline is to collect germplasm in local populations, specifically when it comes to native species whose biological and forestry knowledge is limited (Luna-Nieves et al., 2019). However, it is important to know the characteristics such as the size of the fruits and the number of seeds they produce, as well as their weight and germination capacity, which is necessary information for good germplasm management and to better plan future breeding projects, conservation or propagation (Valverde-Rodríguez et al., 2019).

There are few studies aimed at describing the fruits and seeds of S. humilis. Some antecedents are the works carried out by Patiño (1996) and González-Vélez et al. (2020). It is necessary to generate information to identify local sources of good quality germplasm to meet the demands of germplasm banks and forest nurseries. The objective of this study was to analyze the morphometric and reproductive characteristics of S. humilis fruits in six sites in the state of Guerrero, as well as the viability and germination capacity of its seeds. It is hypothesized that there are differences in the morphometric and reproductive characteristics of S. humilis fruits, as well as the viability and germination capacity of its seeds among the six study sites.

 

 

Materials and Methods

 

 

The germplasm of S. humilis was collected in February 2020 in natural stands of six populations in the state of Guerrero, Mexico (Table 1).

 

Table 1. Geographical location and environmental conditions of the Swietenia humilis Zucc. germplasm collection sites in Guerrero, Mexico.

Site

Longitude

Latitude

Altitude (masl)

Average temperature (°C)

Annual mean

precipitation (mm)

Zacapalco

18°32´22˝

99°26´26˝

1 204

23.7

1 091

Buenavista

18°29´12˝

99°25´09˝

1 190

24.1

1 048

Santa Fe Tepetlapa

18°33´21˝

99°25´43˝

1 117

24.2

1 052

Cieneguillas

18°25´05˝

99° 28´24˝

1 053

24.7

988

Tuxpan

18°21´25˝

99° 30´17˝

755

25.3

1 010

Arcelia

18°19´32˝

100°16´29˝

413

27.8

1 142

 

Based upon the criteria for the identification and establishment of forest germplasm production units (Conafor, 2016), five trees with outstanding phenotypic characteristics were selected at each site: clean stem (≥3 m) with straightness, larger crown according to visual inspection, abundant presence of fruit, visible absence of pests and diseases. The normal diameter of all individuals was recorded, this ranged between 38 and 60 cm. From each tree, at least two fruits were collected from the middle part of the crown, to avoid the dehiscence of the capsules (Sol et al., 2016) and these were transported in jute sacks to later reduce their moisture content by exposing them to the sun inside paper bags for five days.

 

 

Morphometric characterization and reproductive capacity of the fruits

 

 

The following morphometric variables were measured in the fruits of each site: diameter, measured at the widest part of the capsule with a Mitutoyo® Digimatic CD-4” AX caliper; length of the capsule, measured with a vinyl tape measure from the base of the peduncle to its apex, that is, along the carpelar suture; fresh weight of the fruit, recorded with a digital scale with 0.01 g a precision (¡BalanceÒ ¡2001, MyweighÒ). Likewise, with the methodology adapted from Willan (1991), the reproductive variables were evaluated for each fruit: number of developed seeds (full seeds that present all the essential tissues for germination), number of undeveloped seeds (flat seeds lacking embryo and endosperm), and total number of seeds (developed and undeveloped seeds). Then the proportion of undeveloped and developed seeds was determined.

The developed seeds were weighed to estimate their average weight, the weight of a thousand seeds using the complete sample method (seed weight/seed number*1 000) and the number of seeds per kilogram (1 000 g/seed weight). The sample size per site was: Zacapalco n=22, Buenavista n=29, Santa Fe n=13, Cieneguillas n=44, Tuxpan n=29, Arcelia n=28. Each fruit was a replication under a completely randomized design.

 

 

Viability test

 

 

The viability of the seeds was evaluated with a 2,3,5-triphenyl tetrazolium chloride solution at 0.1 %, as described by Barone et al. (2016). For each site, four replicates of 25 seeds were analyzed. The viability percentage was determined based on the ratio of the number of viable seeds according to the staining pattern and the number of seeds sampled.

 

 

Emergence test

 

 

In April 2020, an essay was established to assess the emergence of seedlings at the nursery. This was made at a facility located in the community of La Bajada, Coyuca de Catalán, Guerrero (18°19´11.81” N, 100°40´18.10” W, 254 masl), where the temperature ranged between 20 and 40 °C. and relative humidity between 40 and 90 % (data recorded with a Hobo® MX2304 environmental thermometer). 3 000 seeds were used for this trial. A completely randomized experimental design was used, with five replications (blocks) of 100 seeds per site (treatment). The wing was removed from each seed and the seeds were held against the light to delimit the area of the embryo and avoid damaging it; subsequently, they were soaked in artesian well water for 12 h before sowing. Sowing was carried out at 2 cm deep in plastic trays with 50 cavities (180 mL volume per cavity), filled with a substrate mixture 70 % peat moss, 15 % perlite and 15 % vermiculite. Daily irrigations were applied to keep constant moisture of the substrate.

Based on the methodology of Carvalho et al. (2020), an emerged seedling was considered when the hypocotyl appeared on the surface of the substrate. Daily counts were made from the time the first seedling emerged until there was no more emergence in consecutive monitoring (stabilization stage). The maximum emergence value or peak value (VM), emergence percentage (PE), mean daily emergence (EMD) and Czabator germination value (VG) were determined based on equation (1) (Willan, 1991):

 

 

Where

VG = Germination value

EMD (final) = Average daily emergence, that is calculated as the accumulated percentage of seeds emerged at the end of the trial, divided by the number of days

VM = Maximum emergence value that is the sum of the emergence percentage divided by the number of days

 

Finally, the emergence percentage (PE) was calculated with the proportion of the number of seeds emerged in relation to the number of seeds sown.

 

 

Statístical analysis

 

 

The statistical differences between the sites for the morphometric, reproductive, viability and emergence variables, were determined with a non-parametric analysis of variance (Kruskal-Wallis test) due to non-compliance with the assumptions of either normality or homogeneity of variances (P<0.05) or both, as was the case for the count and percentage variables. Normality was validated with the Shapiro-Wilk test and homogeneity with the Levene test (Balzarini et al., 2008).

In the variables with differences, a multiple comparison of means was made from the means of the ranges (comparison of the minimum significant difference with the absolute value of the difference between both mean ranges) according to the procedure described by Balzarini et al. (2008). Statistical analyzes were performed with the InfoStat program (Balzarini et al., 2008).

 

 

Results

 

 

Characteristics of the fruits

 

 

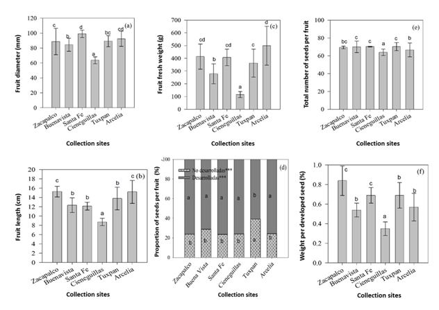
The morphometric and reproductive characteristics of the fruits of S. humilis differed between sites (P<0.0001; Figure 1). The fruits with the largest diameter were those from Santa Fe, with an average value of 99.03 mm, which was 56 % greater than the diameter of the fruits from Cieneguillas, which were the smallest (Figure 1a). For its part, Zacapalco presented the fruits with the longest length (15.27 cm), almost double the length of those from Cieneguillas (8.73 cm) (Figure 1b). The heaviest fruits were those of Arcelia with 498.96 g, whose weight was four times greater than that of the Cieneguillas fruits, which, as in the previous variables, had the lowest values (Figure 1c). Tuxpan had the fruits with the highest proportion of undeveloped seeds (39.23 %) (Figure 1d) although on average, it recorded the highest total number of seeds with around 70 per fruit (Figure 1e). In contrast, Cieneguillas presented a higher proportion of developed seeds compared to Tuxpan (Figure 1d), but presented the lowest number of seeds (64) per fruit (Figure 1e).

 

Bars represent means ± standard deviation. Means with a letter in common are not significantly different (P>0.05).

Figure 1. Morphometric and reproductive characteristics of Swietenia humilis fruits at six collection sites in Gurrero, Mexico.

 

Unlike both sites, Santa Fe recorded the highest proportion of developed seeds (76.34 % of a total of 70) followed by Zacapalco, which also registered high values (76.06 % of a total of 70) in this variable (Figure 1d). The seeds developed from Zacapalco were the heaviest with an average weight per seed of 0.84 g, which is 140 % higher than the weight of 0.35 g recorded in Cieneguillas (Figure 1f). These differences in weight are also shown by the values for the weight of a thousand seeds and the number of seeds per kilogram, so that a thousand seeds from Zacapalco weigh almost 500 g more than those from Cieneguillas and less than half is required for one kilogram (Table 2).

 

Table 2. Weight of a thousand seeds and number of seeds per kilogram of Swietenia humilis Zucc. in each of the study sites.

Collection site

Weight of 1 000 seeds (g)

Number of seeds per Kg

Zacapalco

839.7±154.9d

1 260.5±436.3a

Buenavista

537.5±67.8b

1 897.4±315.0c

Santa Fe

686.0±84.6cd

1 484.2±237.9ab

Cieneguillas

354.5±65.5a

2 926.3±606.3d

Tuxpan

688.9±130.4c

1 496.6±254.0b

Arcelia

572.3±137.1b

1 875.9±583.8c

Means ± standard deviation. Means with a letter in common are not significantly different (P>0.05).

 

 

Viability

 

 

Seed viability did not differ between sites (P=0.8020) and most exceeded 95 %. Zacapalco had 98 % viability, followed by Cieneguillas, Arcelia and Tuxpan which had 97 %, while Buenavista and Santa Fe, 96 % and 95 % viability, respectively.

 

 

Emergence

 

 

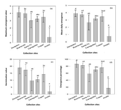
Emergence began 10 days after planting and the maximum accumulated emergence was obtained at 22 days (Figure 2). In the seeds of Zacapalco, Buenavista and Santa Fe, there was an emergency from day 10 and one day later an emergency was registered in the seeds of Cieneguillas, Arcelia and Tuxpan. Zacapalco registered the maximum accumulated emergency with 86 % and those of Arcelia the minimum, with only 17 % (Figure 2). Likewise, there were significant differences in the emergence parameters for all sites (P<0.0001; Figure 3).

 

Figure 2. Cumulative emergence curve of Swietenia humilis Zucc. seeds from six collection sites in the state of Guerrero, Mexico.

 

Bars represent means ± standard deviation. Means with a letter in common are not significantly different (P>0.05).

Figure 3. Maximum emergence value (a), average daily emergence (b), germination value (c) and emergence percentage (d) in Swietenia humilis seeds from six collection sites in Guerrero, Mexico.

 

According to the cumulative emergence trend, Zacapalco and Buenavista had the seed with the highest percentage of emergence, which was higher than 80 % (Figure 2). In turn, Zacapalco stood out with the highest observations in peak value, average daily emergence and germination value (3a, b and c). In contrast, the percentage of emergence of the seeds of the others was lower. Tuxpan, Cieneguillas and Santa Fe registered an emergence percentage that ranged between 80 % and 60 %, together with the respective reduction in the values of the germination parameters (Figure 3a, b, c and d). The Arcelia seed presented a drastic reduction in the values of all the emergency parameters (Figure 3), for example, when comparing their emergence values against those of Zacapalco, there is a difference of almost 70 % (Figure 3d).

 

 

Discussion

 

 

The variation in the size and weight of the fruit and the amount of seed produced recorded by S. humilis is a condition that has also been recorded in S. macrophylla King at the stand level (Pramono et al., 2019) and families (Niembro and Ramírez -Garcia, 2006); however, the average values in the size and weight of the fruits, as well as the amount of seeds contained in them, are similar to the values for S. humilis (Patiño, 1996).

In Zacapalco, Santa Fe and Arcelia, the largest fruits (size and weight) and the heaviest seeds were found, a response that can be explained hypothetically with the reproductive effort of the trees (Turner, 2001), which usually varies and is influenced by internal factors such as the reproductive success of each parental source as well as the availability of nutriments that affect seed development (Pramono et al., 2019).

There is a close relationship between the size or weight of the seeds and the amount of reserves they contain (Kitajima, 2007). These characteristics affect seedling growth rates and their competitive ability under natural conditions (Khurana and Singh, 2001; Kitajima, 2007). In practice, the size of the seed is an important characteristic to produce plants in the nursery, since in some species such as Enterolobium contorsiliquum (Vell.) Morong (Trindade-Lessa et al., 2015) and S. macrophylla (Pramono et al., 2019), larger or heavier seeds tend to germinate faster and in a more uniform way.

The magnitude of the variation in the weight of the seeds recorded between the studied sites, based on the difference between the seeds of Zacapalco and those of Cieneguillas, can be attributed to the fact that the amount of reserves in the seeds that each tree produces depends, in turn, the number of fruits that it is able of producing, since a plant can invest both in a reduced number of larger or heavier seeds, as well as in more but smaller seeds (Kitajima, 2007). However, to verify this assumption it is necessary that, in subsequent studies, the total production of fruits is also counted because in this study it was not planned to assess that aspect.

On the other hand, although it has been reported that in the morphology of the fruits there are traits that remain constant within the same species, such as the size of the fruit and its number of seeds (Sol et al., 2016), the actual data indicate differences in these characteristics between the evaluated sites. Additionally, this last author also mentioned that there are other traits that are not kept constant and that exhibit variations between and within the parental sources, such as germination capacity and seed vigor. This is corroborated by the results of the germinative parameters obtained in this study. This behavior is explained by the wide variation in the germination response recorded by some forest species, such as Enterolobium cyclocarpum (Jacq.) Griseb., depending on the origin of the material due to the influence of environmental conditions such as temperature, humidity, light and soil fertility (Viveros-Viveros et al., 2017).

In the germinative response, the seed from Zacapalco and Buenavista are outstanding, so that these sites may have potential as local sources of germplasm in the study region. This condition is supported by the data reported with S. humilis seeds collected in Huehuetlán el Chico municipality, Puebla State (González-Vélez et al., 2020), because the figures recorded in germination coincide with the values determined in recently collected seeds in that area. It should be noted that for the differences in emergence, the influence of the genetic quality of each parental source is not excluded, mainly because S. humilis is a threatened species by the fragmentation of its habitat, and a consequence of the fragmentation of the natural populations so documented, is precisely the affectation of the germinative capacity (Pereira et al., 2020).

In addition, the high proportion of undeveloped seeds recorded in Tuxpan or the limited germination capacity of the sites with germination percentages below 70 %, may be evidence of a decrease in the reproductive success of S. humilis due to negative impacts on the genetic diversity as argued by Broadhurst and Boshier (2014), and experimentally demonstrated by Rosas et al. (2011) with populations of S. humilis from the Pacific coast in the state of Jalisco.

However, given that the other sites, mainly Zacapalco and Santa Fe, had fruits with high production of developed seeds and high germination capacity, it is recommended that the hypothesis of the effect on reproductive capacity be verified with studies at the genetic level with an experimental approach similar to that of the studies by White et al. (2002), Moraes et al. (2018), Garcia et al. (2019) and Manoel et al. (2021) because, in addition, in several tropical species a reduction in their genetic diversity has not been observed despite suffering fragmentation in their natural populations.

This is particularly true for S. humilis. A study carried out in fragmented natural populations in regions of Central America, confirms that the remnant patches of trees and isolated individuals have an important role in maintaining genetic connectivity and improving the variability of populations because they buffer the deleterious genetic effects of habitat destruction (White et al., 2002). These implications are supported by the fact that S. humilis and its congener S. macrophylla are predominantly allogamous species that preserve high levels of diversity and genetic connectivity, thanks to their cross-mating system due to a certain degree of self-incompatibility and dichogamy, as well as their generalist pollination system and long-distance dispersal (White et al., 2002; Lemes et al., 2007).

Finally, the results of this study also suggest how decisive the collection date is in the quality of the germplasm, based on the notoriety of the germinative responses of the Arcelia seeds, which in this case were the worst. Although the trees at this site produced large fruits with enough seeds of an intermediate weight, it is possible that the date of collection there was not appropriate, because the seeds of some fruits did not have the characteristic brown hue with which they are grown in the fieldand that it can visually define its maturity (Salazar et al., 2000). Several studies with forest species from the tropics have emphasized the importance of defining adequate harvesting times due to the asynchrony in maturity that the species have at the tree or population level according to their distribution interval (Núñez-Cruz et al., 2018; Luna-Nieves et al., 2019). This is particularly important for native tropical species such as S. humilis, because information on reproductive phenology is lacking for several local populations, such as that already generated for other species of the dry tropics (Núñez-Cruz et al., 2018).

 

 

Conclusions

 

 

The S. humilis trees from the natural stands analyzed in the state of Guerrero, produce fruits and seeds that differ in their morphometric and reproductive characteristics, as well as in their germination capacity. This information has important implications because it serves as the basis for defining their use as local sources of germplasm to meet the demands for this small or medium-scale material for conservation, propagation and reforestation initiatives that are promoted with the species.

 

 

Acknowledgements

 

The financial support from CONACYT for the scholarship granted to the first author to carry out his doctoral studies is gratefully acknowledged.

 

Conflict of interests

 

The authors declare no conflict of interest.

 

Contribution by author

 

Celi Gloria Calixto-Valencia: conducting the study and writing the manuscript; Víctor Manuel Cetina-Alcalá: coordination and administration of the study; Carlos Ramírez-Herrera: experimental approach, estimation of variables and review of the manuscript; Miguel Ángel López-López, Gregorio Ángeles-Pérez and Armando Equihua-Martínez: experimental approach and review of the manuscript; Erickson Basave-Villalobos: obtaining and processing the experimental material and statistical analysis.

 

 

References

Aitken, S. N. 2004. Genecology and adaptation of forest trees. In: Burley, J. (ed.). Genetics and genetic resources, Encyclopedia of Forest Sciences. Elsevier. Amsterdam, NX, Netherlands. pp.197-204. https://www.sciencedirect.com/science/article/pii/B0121451607000867?via%3Dihub. (1 de julio de 2022).

Balzarini, M. G., L. Gonzalez, M. Tablada, F. Casanoves, J. A. Di Rienzo y C. W. Robledo. 2008. InfoStat Manual del Usuario Versión 2008. Editorial Brujas. Córdoba, Argentina. https://www.researchgate.net/publication/283491340_Infostat_manual_del_usuario. (1 de julio de 2022).

Barone, J., E. Duarte y C. Luna. 2016. Determinación de la eficacia de métodos de evaluación de calidad de semillas de especies forestales nativas de la Selva Atlántica. Quebracho Revista de Ciencias Forestales 24(2):70-80. https://www.redalyc.org/journal/481/48163565003/html/. (21 de septiembre de 2021).

Barstow, M. 2019. Swietenia humilis Zuccarini. The IUCN Red List of Threatened Species 2019. https://www.gbif.org/es/species/176776393. (17 de octubre de 2021).

Broadhurst, L. and D. Boshier. 2014. Seed provenance for restoration and management: conserving evolutionary potential y utility. In: Bozzano, M., R. Jalonen, E. Thomas, D. Boshier, … and J. Loo (eds.). Genetic considerations in ecosystem restoration using native tree species. State of the World’s Forest Genetic Resources–Thematic Study.Food and Agricultural Organization(FAO) and Bioversity International. Rome, RM, Italy. pp. 27-33.

Carvalho, C. A., J. B. da Silva, C. Z. Alves, C. F. Hall, M. F. Cotrim and A. V. Teixeira. 2020. Effect of temperature and light on seed germination and seedling growth of Swietenia macrophylla King. Revista Caatinga 33(3):728-734. Doi: 10.1590/1983-21252020v33n316rc.

Comisión Nacional Forestal (Conafor). 2016. Manual para la identificación y establecimiento de unidades productoras de germoplasma forestal. Comisión Nacional Forestal y Secretaría del Medio Ambiente y Recursos Naturales (Semarnat). Zapopan, Jal., México. 70 p.

Flores L., Z. Y., A. P. Campos D., E. H. Quiroga S., Y. Gutiérrez G., E. Salas O., G. García S. y A. Cuellar C. 2019. Características fitoquímicas y toxicológicas de la semilla Swietenia humilis Zuccarini y su efecto hipoglucemiante. Revista Cubana de Farmacia 52(1):e129. http://www.revfarmacia.sld.cu/index.php/far/article/view/129. (5 de julio de 2021).

Garcia, A. S., E. A. Bressan, M. V. R. Ballester, A. Figueira and A. M. Sebbenn. 2019. High rates of pollen and seed fow in Hymenaea stigonocarpa on a highly fragmented savanna landscape in Brazil. New Forests  50:991-1006. Doi: 10.1007/s11056-019-09710-3.

González-Vélez, G., A. R. Andrés-Hernández, G. Valdez-Eleuterio, N. Álvarez-Quiroz, D. Martínez-Moreno y S. P. Rivas-Arancibia. 2020. Germinación de semillas de seis especies arbóreas maderables de una selva baja caducifolia en Puebla, México. Agrociencia 54(2):227-240. https://agrociencia-colpos.mx/index.php/agrociencia/article/view/1903. (12 de noviembre de 2021).

Khurana, E. and J. S. Singh. 2001. Ecology of seed and seedling growth for conservation and restoration of tropical dry forest: a review. Environmental Conservation 28(1):39-52. Doi: 10.1017/S0376892901000042.

Kitajima, K. 2007. Seed and seedling ecology. In: Pugnaire, F. I.and F. Valladares (eds.). Functional plant ecology.CRC Press/Taylor & Francis Group. Boca Raton, FL, USA. pp. 549-580.

Ledig, F. T. 2004. Conservación y Manejo de Recursos Genéticos Forestales. In: Vargas H., J. J., B. Bermejo V. y F. T. Ledig (eds.). Manejo de Recursos Genéticos Forestales. Servicio Forestal de los Estados Unidos de América, Organización de las Naciones Unidas para la Agricultura y la Alimentación (FAO) y la Comisión Nacional Forestal (Conafor). Zapopan, Jal., México. pp. 6-20.

Lemes, M. R., D. Grattapaglia, J. Grogan, J. Proctor and R. Gribel. 2007. Flexible mating system in a logged population of Swietenia macrophylla King (Meliaceae): implications for the management of a threatened neotropical tree species. Plant Ecology 192:169-179. Doi: 10.1007/s11258-007-9322-9.

Luna-Nieves, A. L., J. A. Meave, E. J. González, J. Cortés-Flores and G. Ibarra-Manríquez. 2019. Guiding seed source selection for the production of tropical dry forest trees: Coulteria platyloba as study model. Forest Ecology and Management 446:105-114. Doi: 10.1016/j.foreco.2019.05.020.

Manoel, R. O., B. C. Rossini, M. R. Cornacini, M. L. T. Moraes, ... and C. L. Marino. 2021. Landscape barriers to pollen and seed flow in the dioecious tropical tree Astronium fraxinifolium in Brazilian savannah. PLOS ONE 16(8):e0255275. Doi: https://doi.org/10.1371/journal.pone.0255275.

Melo, M. F. de V., A. M. Sebbenn, B. C. Rossini, A. V. C. da S. Muniz, C. J. Rodrigues, C. L. Marino and M. L. T. de Moraes. 2021. Estimating genetic diversity, mating system and pollen dispersal to inform ex situ conservation of the tree Genipa americana L. Plant Genetic Resources 19(1):9–19. Doi: 10.1017/S1479262121000022.

Moraes, M. A., T. Y. K. Kubota, B. C. Rossini, C. L. Marino, ... and A. M. Sebbenn. 2018. Long-distance pollen and seed dispersal and inbreeding depression in Hymenaea stigonocarpa (Fabaceae: Caesalpinioideae) in the Brazilian Savannah. Ecology and Evolution 8(16):7800-7816. Doi: 10.1002/ece3.4253.

Niembro R., A. y E. O. Ramírez-García. 2006. Evaluación de la cantidad y calidad biológica de semillas de caoba [Swietenia macrophylla King-Meliaceae] procedentes de una plantación en el Estado de Campeche, México. Foresta Veracruzana 8(1):23-30. https://www.redalyc.org/articulo.oa?id=49780105. (19 de septiembre de 2021).

Núñez-Cruz, A., J. A. Meave and C. Bonfil. 2018. Reproductive phenology and seed germination in eight tree species from a seasonally dry tropical forest of Morelos, Mexico: Implications for community-oriented restoration and conservation. Tropical Conservation Science 11:1-14. Doi: 10.1177/1940082917749946.

Patiño V., F. 1996. Genetic resources of Swietenia and Cedrela in the neotropics: proposals for coordinated action. Food and Agriculture Organization of the United Nations (FAO). http://www.fao.org/3/AD111E/AD111E00.htm. (17 de octubre de 2021).

Pereira, L. C. S. M., E. V. Tambarussi, M. O. Biliati, K. Martins, P. Y. Kageyama and A. M. Sebbenn. 2020. Inbreeding depression from selfing and mating among relatives of Hymenaea courbaril L. Forest Ecology and Management 475:118414. Doi: 10.1016/j.foreco.2020.118414.

Pramono, A. A., D. Syamsuwida and K. P. Putri. 2019. Variation of seed sizes and its effect on germination and seedling growth of mahogany (Swietenia macrophylla). Biodiversitas 20(9):2576-2582. Doi: 10.13057/biodiv/d200920.

Rosas, F., M. Quesada, J. A. Lobo and V. L. Sork. 2011. Effects of habitat fragmentation on pollen flow and genetic diversity of the endangered tropical tree Swietenia humilis (Meliaceae). Biological Conservation 144(12):3082-3088. Doi: 10.1016/j.biocon.2011.10.003.

Salazar, R., C. Soihet y J. M. Méndez. 2000. Manejo de semillas de 100 especies forestales de América Latina (Volúmen I). Serie Técnica Manual Técnico No. 41. Centro Agronómico Tropical de Investigación y Enseñanza (CATIE) y Danida Forest Seed Centre. Turrialba, CRC, Costa Rica. 204 p.

Sol S., Á., H. J. Megía V., J. Pérez F. y J. López U. 2016. Relación dimensión-germinación de semilla de caoba (Swietenia macrophylla King) en la UMAF 2702ST Sierra de Tenosique. Revista Mexicana de Ciencias Agrícolas Publicación Especial(14):2783-2791. Doi: 10.29312/remexca.v0i14.446.

Trindade-Lessa, B. F. da, J. P. Nobre-de Almeida, C. Lobo-Pinheiro, F. Melo-Gomes and S. Madeiros-Filho. 2015. Germination and seeling growth of Enterolobium contortisiliquum as a function of seed weight and temperature and light conditions. Agrociencia 49(3):315-327. http://www.scielo.org.mx/scielo.php?script=sci_arttext&pid=S1405-31952015000300007. (23 de septiembre de 2021).

Turner, I. M. 2001. The Ecology of Trees in the Tropical Rain Forest. Cambridge University Press. Cambridge, CB, UK. 298 p.

Valverde-Rodríguez, K., C. O. Morales and E. G. García. 2019. Germinación de semillas de Crescentia alata (Bignoniaceae) en distintas condiciones de temperatura, luminosidad y almacenamiento. Revista de Biología Tropical 67(2):120-131. Doi:10.15517/rbt.v67i2supl.37211.

Viveros-Viveros, H., K. Quino-Pascual, M. V. Velasco-García, G. Sánchez-Viveros y E. Velasco B. 2017. Variación geográfica de la germinación en Enterolobium cyclocarpum en la costa de Oaxaca, México. Bosque 38(2):317-326. Doi: 10.4067/S0717-92002017000200009.

White, G. M., D. H. Boshier and W. Powell. 2002. Increased pollen flow counteracts fragmentation in tropical dry forest: an example from Swietenia humilis Zuccarini. Proceedings of the National Academy of Sciences of the United States of America 99(4):2038-2042. http://www.jstor.org/stable/3057914. (11 de abril de 2022).

Willan, R. L. 1991. Guía para la manipulación de semillas forestales. Estudio FAO Montes (20/2). Centro de Semillas Forestales de DANIDA y Organización de las Naciones Unidas para la Alimentación y la Agricultura (FAO). Roma, Italia. https://www.fao.org/3/ad232s/ad232s00.htm#TOC. (11 de julio de 2021).

 

        

Todos los textos publicados por la Revista Mexicana de Ciencias Forestales sin excepción– se distribuyen amparados bajo la licencia Creative Commons 4.0 Atribución-No Comercial (CC BY-NC 4.0 Internacional), que permite a terceros utilizar lo publicado siempre que mencionen la autoría del trabajo y a la primera publicación en esta revista.