Revista Mexicana de Ciencias Forestales Vol. 13 (72)

Julio – Agosto (2022)

Logotipo, nombre de la empresa

Descripción generada automáticamente

DOI: https://doi.org/10.29298/rmcf.v13i72.1250

Artículo

Características morfométricas, reproductivas y germinativas del germoplasma de Swietenia humilis Zucc. en Guerrero

Morphometric, reproductive and germination characteristics of Swietenia humilis Zucc. germplasm from Guerrero State

 

Celi Gloria Calixto Valencia1, Víctor Manuel Cetina Alcalá1*, Carlos Ramírez Herrera1, Miguel Ángel López López1, Gregorio Ángeles-Pérez1, Armando Equihua Martínez2, Erickson Basave Villalobos3

 

Fecha de recepción/Reception date: 21 de enero de 2022

Fecha de aceptación/Acceptance date: 25 de junio del 2022

_______________________________

1Posgrado en Ciencias Forestales. Colegio de Postgraduados. Campus Montecillo. México.

2Posgrado en Fitosanidad. Colegio de Postgraduados. Campus Montecillo. México.

3Campo Experimental Valle del Guadiana, CIRNOC. Instituto Nacional de Investigaciones Forestales, Agrícolas y Pecuarias. México.

 

*Autor de correspondencia; correo-e: vicmac@colpos.mx

*Correspoding author; e-mail: vicmac@colpos.mx

 

Resumen

Swietenia humilis es una especie tropical de madera preciosa amenazada por la fragmentación de su hábitat debido a deforestación y cambios en el uso del suelo. Por lo tanto, es esencial caracterizar el germoplasma de las poblaciones naturales para definir estrategias de conservación, propagación y reforestación. Se analizaron características morfométricas y reproductivas de frutos, así como la viabilidad y capacidad germinativa de semillas de S. humilis de seis sitios en el estado de Guerrero, México: Zacapalco, Buenavista, Santa Fe Tepetlapa, Cieneguillas, Tuxpan y Arcelia. En cada sitio, se caracterizó el tamaño y peso de frutos y semillas, el número y proporción de semillas desarrolladas y no desarrolladas, la viabilidad y la capacidad germinativa. Para cada variable se hizo un análisis de varianza no paramétrico Kruskal-Wallis y una comparación de medias. Las características de los frutos y semillas variaron entre los sitios evaluados. Cieneguillas presentó menor tamaño de frutos, peso y número de semillas. Tuxpan registró la mayor cantidad de semillas, pero una proporción alta fueron no desarrolladas. Para Santa Fe se obtuvo la mayor cantidad de semillas desarrolladas, aunque las más pesadas, viables, vigorosas y con mayor capacidad germinativa fueron las de Zacapalco. Los árboles de S. humilis de los rodales naturales analizados en el estado de Guerrero producen frutos y semillas que difieren en sus características morfométricas y reproductivas, así como en su capacidad germinativa.

Palabras clave: Caobilla, germinación, Meliaceae, producción de semillas, tamaño de frutos, viabilidad de semillas.

Abstract

Swietenia humilis is a tropical hardwood species threatened by habitat fragmentation due to deforestation and changes in land use. Therefore, it is essential to characterize the germplasm of natural populations to define conservation, propagation and reforestation strategies. The morphometric and reproductive characteristics of fruits, as well as the viability and germination capacity of seeds of S. humilis trees from natural stands from several sites in the state of Guerrero,Mexico: Zacapalco, Buenavista, Santa Fe Tepetlapa, Cieneguillas, Tuxpan and Arcelia were analyzed. At each site, fruit and seed size and weight, number and proportion of developed and undeveloped seeds, viability and germination capacity were characterized. A Kruskal-Wallis nonparametric analysis of variance and a comparison of means were performed at a significance level α=0.05. Fruit and seed characteristics varied among the sites evaluated. Cieneguillas presented fruits of smaller size, weight and number of seeds. Tuxpan had the highest number of seeds but a high proportion of undeveloped seeds. Santa Fe presented the highest number of developed seeds, although the heaviest, most viable, vigorous and with the highest germination capacity were those of Zacapalco. S. humilis trees in the natural stands analyzed in the state of Guerrero produce fruits and seeds that differ in their morphometric and reproductive characteristics, as well as in their germination capacity.

Key words: Caobilla, germination, Meliaceae, seed production, fruit size, seed viability.

 

Introducción

 

Swietenia humilis Zucc. es una especie forestal de alta importancia ecológica y socioeconómica que se distribuye a lo largo de la costa del océano Pacífico en México y Centroamérica (Rosas et al., 2011). Su madera es de excelente calidad y se le han atribuido propiedades medicinales, por lo que ha sido objeto de estudios farmacológicos (Flores et al., 2019). Sin embargo, el área de distribución y tamaño de las poblaciones naturales de S. humilis han disminuido de forma acelerada (Rosas et al., 2011). Por la fragmentación de su hábitat, es común encontrar árboles aislados o pequeños rodales remanentes, lo que afecta su regeneración natural y diversidad genética (Rosas et al.,2011). Por ejemplo, en la Reserva de la Biosfera de Chamela-Cuixmala, la riqueza alélica en semillas de poblaciones aisladas fue menor (6.1 alelos por locus) comparado con la de bosques continuos (8.3) (Rosas et al.,2011). En consecuencia, S. humilis está incluida en la lista roja de especies amenazadas de la Unión Internacional para la Conservación de la Naturaleza (Barstow, 2019).

La reducción y pérdida de poblaciones naturales de S. humilis justifica la necesidad de implementar acciones para su conservación y aprovechamiento sostenible. Para especies bajo condiciones similares, el almacenamiento de semillas en bancos de germoplasma, proyectos de reforestación y restauración son las principales estrategias de conservación y preservación ex situ e in situ que han contribuido a la sostenibilidad de tales recursos genéticos forestales (Ledig, 2004). Sin embargo, la escasa disponibilidad de germoplasma de buena calidad, a partir de los componentes genético y fisiológico, principalmente, limitan el éxito de esas estrategias de conservación, preservación y manejo (Núñez-Cruz et al., 2018).

La recolección de germoplasma de especies nativas no garantiza frutos y semillas con la suficiencia y calidad requeridas (Aitken, 2004); esto último en cuestión de viabilidad, vigor y capacidad germinativa. Lo anterior, se explica porque en su mayoría, el material proviene de poblaciones pequeñas y fragmentadas, o de individuos aislados en los que las fuentes parentales sufrieron impactos a nivel genético (Pereira et al., 2020).

Por un lado, se argumenta que esas fuentes de germoplasma no son las más apropiadas por los efectos adversos que ocasiona la fragmentación del hábitat en la productividad y éxito reproductivo de las especies forestales (Broadhurst y Boshier, 2014; Melo et al., 2021); en contraparte, se señala que se debe priorizar el uso de fuentes locales de semilla para satisfacer las demandas inmediatas de germoplasma en programas de reforestación y restauración a pequeña y mediana escala (Melo et al., 2021), ya que dicho material genético está mejor adaptado a las condiciones de los sitios de plantación (Broadhurst y Boshier, 2014).

Una directriz relevante es recolectar germoplasma en poblaciones locales, específicamente cuando se trata de especies nativas cuyo conocimiento biológico y silvícola es limitado (Luna-Nieves et al., 2019). No obstante, es importante conocer las características como el tamaño de los frutos y la cantidad de semillas que producen, así como el peso y su capacidad germinativa, la cual es información necesaria para el buen manejo del germoplasma y para planear mejor los proyectos futuros de conservación o propagación (Valverde-Rodríguez et al., 2019).

Los estudios orientados a describir los frutos y las semillas de S. humilis son escasos. Algunos antecedentes son los trabajos realizados por Patiño (1996) y González-Vélez et al. (2020). Es necesario generar información que permita identificar fuentes locales de germoplasma de buena calidad para cubrir las demandas de los bancos de germoplasma y de los viveros forestales. El objetivo de este estudio fue analizar las características morfométricas y reproductivas de frutos de S. humilis procedentes de seis sitios del estado de Guerrero, así como la viabilidad y capacidad germinativa de sus semillas. Se planteó la hipótesis de que hay diferencias en las características morfométricas y reproductivas de los frutos de S. humilis, así como en la viabilidad y capacidad germinativa de sus semillas entre los seis sitios de estudio.

 

 

Materiales y Métodos

 

 

El germoplasma de S. humilis se recolectó en febrero de 2020 en rodales naturales de seis poblaciones en el estado de Guerrero, México (Cuadro 1).

 

Cuadro 1. Ubicación geográfica y condiciones ambientales de los sitios de recolección de germoplasma de Swietenia humilis Zucc. en Guerrero, México.

Sitio

Longitud

Latitud

Altitud (m)

Temperatura promedio (°C)

Precipitación media anual (mm)

Zacapalco

18°32´22˝

99°26´26˝

1 204

23.7

1 091

Buenavista

18°29´12˝

99°25´09˝

1 190

24.1

1 048

Santa Fe Tepetlapa

18°33´21˝

99°25´43˝

1 117

24.2

1 052

Cieneguillas

18°25´05˝

99° 28´24˝

1 053

24.7

988

Tuxpan

18°21´25˝

99° 30´17˝

755

25.3

1 010

Arcelia

18°19´32˝

100°16´29˝

413

27.8

1 142

 

Con base en los criterios para la identificación y establecimiento de unidades productoras de germoplasma forestal (Conafor, 2016), en cada sitio se seleccionaron cinco árboles con características fenotípicas sobresalientes: fuste limpio (≥3 m) con rectitud, copa de mayor tamaño conforme a inspección visual, presencia abundante de frutos, ausencia visible de plagas y enfermedades. A todos los individuos se les registró su diámetro normal, este varió entre 38 y 60 cm. De cada árbol se recolectaron al menos dos frutos de la parte media de la copa, para evitar la dehiscencia de las cápsulas (Sol et al., 2016), y estas se transportaron en costales de yute para luego reducir su contenido de humedad al exponerlos al sol dentro de bolsas de papel durante cinco días.

 

 

Caracterización morfométrica y capacidad reproductiva de los frutos

 

 

A los frutos de cada sitio, se les midieron las siguientes variables morfométricas: diámetro, medido en la parte más ancha de la cápsula con un calibrador Mitutoyo® Digimatic CD-4” AX; largo de la cápsula, medido con una cinta métrica de vinil desde la base del pedúnculo hasta su ápice; es decir, a lo largo de la sutura carpelar; peso fresco del fruto, registrado con una báscula digital (¡BalanceÒ ¡2001, MyweighÒ) con precisión de 0.01 g. Asimismo, con la metodología adaptada de Willan (1991), a cada fruto se le evaluaron las variables reproductivas: número de semillas desarrolladas (semillas llenas que presentan todos los tejidos esenciales para la germinación), número de semillas no desarrolladas (semillas planas, carentes de embrión y endospermo), y número total de semillas (semillas desarrolladas y no desarrolladas). Posteriormente, se determinó la proporción de semillas no desarrolladas y desarrolladas.

Las semillas desarrolladas se pesaron para estimar su peso promedio, el peso de mil semillas mediante el método de la muestra completa (peso de semillas/número de semillas*1 000) y el número de semillas por kilogramo (1 000 g/peso por semilla). El tamaño de muestra por sitio fue: Zacapalco n=22, Buenavista n=29, Santa Fe n=13, Cieneguillas n=44, Tuxpan n=29 y Arcelia n=28. Cada fruto fue una repetición bajo un diseño completamente aleatorizado.

 

 

Prueba de viabilidad

 

 

La viabilidad de las semillas se evaluó con una solución de 2,3,5-trifenil cloruro de tetrazolio a 0.1 % de acuerdo con lo descrito por Barone et al. (2016). Para cada sitio se analizaron cuatro repeticiones de 25 semillas. El porcentaje de viabilidad se determinó con base en la proporción del número de semillas viables según el patrón de tinción y el número de semillas muestreadas.

 

 

Prueba de emergencia

 

 

En abril de 2020 se estableció un ensayo para evaluar la emergencia de las plántulas en vivero, el cual se hizo en un vivero localizado en la comunidad de la Bajada, Coyuca de Catalán, Guerrero (18°19´11.81 N, 100°40´18.10 O, 254 msnm), donde la temperatura osciló entre 20 y 40 °C, y la humedad relativa de 40 a 90 % (datos registrados con un termómetro ambiental Hobo® MX2304). Se usaron 3 000 semillas para esta prueba. Se utilizó un diseño experimental completamente al azar, con cinco repeticiones (bloques) de 100 semillas por cada sitio (tratamiento). A cada semilla se le retiró el ala y se colocaron a contraluz para delimitar la zona del embrión y evitar dañarlo; posteriormente, se embebieron en agua de pozo artesiano durante 12 h, antes de sembrarse. La siembra se realizó a una profundidad ≈2 cm en charolas de plástico de 50 cavidades (volumen de 180 mL por cavidad), llenas con una mezcla de sustrato 70 % de peat moss, 15 % de perlita y 15 % de vermiculita. Se aplicaron riegos diarios para mantener la humedad constante del sustrato.

Con base en la metodología de Carvalho et al. (2020), se consideró plántula emergida cuando el hipocotilo apareció sobre la superficie del sustrato. Se hicieron conteos diarios desde que la primera plántula emergió hasta que en monitoreos consecutivos no hubo más emergencia (etapa de estabilización). Se determinó el valor máximo de emergencia o valor pico (VM), porcentaje de emergencia (PE), emergencia media diaria (EMD) y el valor germinativo de Czabator (VG) con base en la ecuación (1) (Willan, 1991):

 

          (1)

 

Donde

VG = Valor germinativo

EMD (final) = Emergencia media diaria, que se calcula como el porcentaje acumulado de semillas emergidas al final del ensayo, dividido por el número de días

VM = Valor máximo de emergencia, que es la sumatoria del porcentaje de emergencia dividido por el número de días

 

Finalmente, el porcentaje de emergencia (PE) se calculó con la proporción del número de semillas emergidas en relación con la cantidad de semillas sembradas.

 

 

Análisis estadístico

 

 

Las diferencias estadísticas entre los sitios para las variables morfométricas, reproductivas, de viabilidad y emergencia, se determinaron con un análisis de varianza no paramétrico (prueba de Kruskal-Wallis) por el incumplimiento de los supuestos, ya sea de normalidad o de homogeneidad de varianzas (P<0.05) o ambas, como fue el caso de las variables de conteos y porcentaje. La validación de la normalidad se hizo con la prueba de Shapiro-Wilk y la de homogeneidad con la prueba de Levene(Balzarini et al., 2008).

En las variables con diferencias, se hizo una comparación de múltiples medias a partir de las medias de los intervalos (comparación de la diferencia mínima significativa con el valor absoluto de la diferencia entre ambos intervalos medios) según el procedimiento descrito por Balzarini et al. (2008). Los análisis estadísticos se realizaron con el programa InfoStat(Balzarini et al., 2008).

 

 

Resultados

 

 

Características de los frutos

 

 

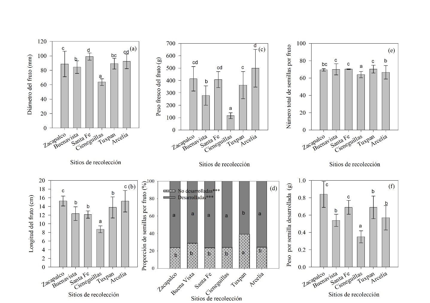
Las características morfométricas y reproductivas de los frutos de S. humilis difirieron entre los sitios (P<0.0001; Figura 1). Los frutos con mayor diámetro fueron los de Santa Fe, con valor promedio de 99.03 mm, el cual fue 56 % mayor que el diámetro de los frutos de Cieneguillas, que fueron los más pequeños (Figura 1a). Por su parte, Zacapalco presentó los frutos con la longitud mayor (15.27 cm), casi el doble de la registrada para Cieneguillas (8.73 cm) (Figura 1b). Los frutos más pesados correspondieron a los de Arcelia con 498.96 g, cuyo peso fue cuatro veces superior al de los frutos de Cieneguillas, que al igual que en las variables anteriores tuvieron los valores más bajos (Figura 1c). Tuxpan tuvo los frutos con la proporción más alta de semillas no desarrolladas (39.23 %) (Figura 1d), aunque en promedio registró el número total de semillas más alto con alrededor de 70 por fruto (Figura 1e). En cambio, Cieneguillas presentó más proporción de semillas desarrolladas en comparación con Tuxpan (Figura 1d), pero con el menor número de semillas (64) por fruto (Figura 1e).

 

Diagrama  Descripción generada automáticamente

Barras representan medias ± desviación estándar. Medias con una letra en común no son significativamente diferentes (P>0.05).

Figura 1. Características morfométricas y reproductivas de frutos de Swietenia humilis Zucc.en seis sitios de recolección en Gurrero, México.

 

A diferencia de ambos sitios, en el material de Santa Fe se obtuvo la proporción mayor de semillas desarrolladas (76.34 % de un total de 70), seguida de Zacapalco que también registró valores altos (76.06 % de un total de 70) (Figura 1d). Las semillas desarrolladas de Zacapalco fueron las más pesadas, con un peso promedio por semilla de 0.84 g, el cual es 140 % superior al peso de 0.35 g registrado en Cieneguillas (Figura 1f). Estas diferencias en peso, también se muestran con los valores del peso de 1 000 semillas y del número de semillas por kilogramo, de modo que 1 000 semillas de Zacapalco pesan casi 500 g más que las de Cieneguillas, y se requiere menos de la mitad para un kilogramo (Cuadro 2).

 

Cuadro 2. Peso de 1 000 semillas y número de semillas por kilogramo de Swietenia humilis Zucc. en cada uno de los sitios de estudio.

Sitio de recolección

Peso de 1 000 semillas (g)

Número de semillas por Kg

Zacapalco

839.7±154.9d

1 260.5±436.3a

Buenavista

537.5±67.8b

1 897.4±315.0c

Santa Fe

686.0±84.6cd

1 484.2±237.9ab

Cieneguillas

354.5±65.5a

2 926.3±606.3d

Tuxpan

688.9±130.4c

1 496.6±254.0b

Arcelia

572.3±137.1b

1 875.9±583.8c

Medias ± desviación estándar. Medias con una letra en común no son significativamente diferentes (P>0.05).

 

 

Viabilidad

 

 

La viabilidad de las semillas no difirió entre los sitios (P=0.8020) y la mayoría superó 95 %. Zacapalco presentó 98 % de viabilidad, seguido de Cieneguillas, Arcelia y Tuxpan que tuvieron 97 %, mientras que Buenavista y Santa Fe, 96 % y 95 %, respectivamente.

 

 

Emergencia

 

 

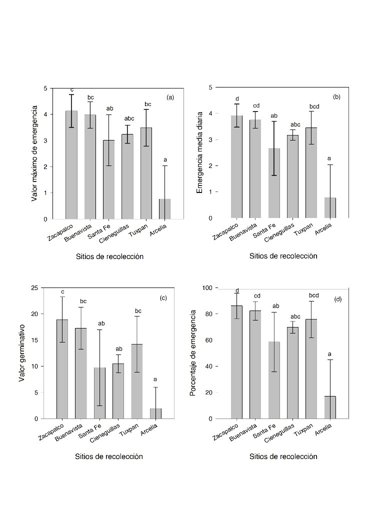
La emergencia comenzó 10 días después de la siembra, y la emergencia máxima acumulada se obtuvo a los 22 días (Figura 2). En las semillas de Zacapalco, Buenavista y Santa Fe hubo emergencia a partir del día 10. Un día después, se registró emergencia en las semillas de Cieneguillas, Arcelia y Tuxpan. En las de Zacapalco ocurrió la emergencia máxima acumulada con 86 %, y las de Arcelia la mínima, con solo 17 % (Figura 2). Asimismo, hubo diferencias significativas en los parámetros de emergencia para todos los sitios (P<0.0001; Figura 3).

 

Gráfico, Diagrama  Descripción generada automáticamente

Figura 2. Curva de emergencia acumulada de semillas de Swietenia humilis Zucc.de seissitios de recolección en el estado de Guerrero, México.

 

Diagrama  Descripción generada automáticamente

Barras representan medias ± desviación estándar. Medias con una letra en común no son significativamente diferentes (P>0.05).

Figura 3. Valor máximo de emergencia (a), emergencia media diaria (b), valor germinativo (c) y porcentaje de emergencia (d) en semillas de Swietenia humilis Zucc.de seissitios de recolección en Guerrero, México.

 

Conforme a la tendencia de emergencia acumulada, Zacapalco y Buenavista tuvieron la semilla con el mayor porcentaje, la cual fue superior a 80 % (Figura 2). A su vez, Zacapalco sobresalió con las observaciones más altas en valor pico, emergencia media diaria y valor germinativo (3a, b y c). En contraste, el porcentaje de emergencia de las semillas de los demás fue menor. Tuxpan, Cieneguillas y Santa Fe registraron un porcentaje de emergencia que varió entre 80 % y 60 %, aunado a la respectiva reducción en los valores de los parámetros germinativos (Figura 3a, b, c y d). La semilla de Arcelia presentó una reducción drástica en los valores de todos los parámetros de emergencia (Figura 3); por ejemplo, al comparar sus valores de emergencia contra los de Zacapalco hubo una diferencia de casi 70 % (Figura 3d).

 

 

 Discusión

 

 

La variación del tamaño y peso del fruto y la cantidad de semilla producida en S. humilis es una condición que también se ha consignado en S. macrophylla King a nivel de rodales (Pramono et al., 2019) y familias (Niembro y Ramírez-García, 2006); no obstante, los valores promedio en el tamaño y peso de los frutos, así como la cantidad de semillas contenida en ellos son similares a los valores para S. humilis (Patiño, 1996).

En Zacapalco, Santa Fe y Arcelia se econtraron los frutos más grandes (tamaño y peso) y las semillas más pesadas; respuesta que se puede explicar, hipotéticamente, con el esfuerzo reproductor de los árboles (Turner, 2001), el cual suele variar y ser influido por factores internos como el éxito reproductivo de cada fuente parental, así como por la disponibilidad de nutrientes que inciden en el desarrollo de las semillas (Pramono et al.,2019).

Hay una relación estrecha entre el tamaño o peso de las semillas y la cantidad de reservas que contienen (Kitajima, 2007). Estas características afectan las tasas de crecimiento de las plántulas y su capacidad competitiva en condiciones naturales (Khurana y Singh, 2001; Kitajima, 2007). En la práctica, el tamaño de la semilla es una característica importante para producir planta en vivero, pues en algunas especies como Enterolobium contorsiliquum (Vell.) Morong (Trindade-Lessa et al., 2015) y S. macrophylla (Pramono et al.,2019) las semillas de mayor tamaño o peso tienden a germinar más rápido y de forma uniforme.

La magnitud de la variación registrada en el peso de las semillas entre los sitios estudiados, a partir de la diferencia entre las semillas de Zacapalco y las de Cieneguillas, se puede atribuir a que la cantidad de reservas en las semillas que cada árbol produce depende, a su vez, del número de frutos que este es capaz de producir, ya que una planta puede invertir tanto en un número reducido de semillas de mayor tamaño o peso, así como en más semillas, pero más pequeñas (Kitajima, 2007). No obstante, para comprobar este supuesto, es necesario que en estudios subsecuentes se contabilice la producción total de frutos, porque en este estudio no se contempló evaluar ese aspecto.

Por otra parte, aunque se ha informado que en la morfología de los frutos hay rasgos que se mantienen constantes dentro de una misma especie, como el tamaño del fruto y su número de semillas (Sol et al., 2016), los datos obtenidos indican diferencias en estas características entre los sitios evaluados. Adicionalmente, Sol et al. (2016) también indicaron que hay otros rasgos que no se conservan constantes y que exhiben variaciones entre y dentro de las fuentes parentales; por ejemplo, la capacidad germinativa y el vigor de las semillas. Lo anterior, se corrobora con los resultados de los parámetros germinativos obtenidos en el presente estudio. Este comportamiento se explica por la variación amplia en la respuesta germinativa que registran algunas especies forestales como Enterolobium cyclocarpum (Jacq.) Griseb., según la procedencia del material y debido a la influencia de las condiciones ambientales como temperatura, humedad, luz y fertilidad del suelo (Viveros-Viveros et al., 2017).

En la respuesta germinativa sobresalió la semilla de Zacapalco y Buenavista, por lo que esos sitios pueden tener potencial como fuentes locales de germoplasma en la región de estudio. Esta condición se sustenta con los datos citados para semillas de S. humilis recolectadas en el municipio Huehuetlán El Chico, Puebla (González-Vélez et al., 2020), porque las cifras registradas en germinación coinciden con los valores determinados en semillas recién recolectadas en esa zona. Cabe señalar que, para las diferencias en emergencia, tampoco se excluye la influencia de la calidad genética de cada fuente parental, principalmente porque S. humilis es una especie amenazada por la fragmentación de su hábitat, y una repercusión de la fragmentación de las poblaciones naturales. es precisamente la afectación de su capacidad germinativa (Pereira et al., 2020).

Además, la elevada proporción de semillas no desarrolladas registrada en Tuxpan, o la limitada capacidad germinativa de los sitios con porcentajes de germinación inferiores a 70 %, puede ser evidencia de una disminución del éxito reproductivo de S. humilis a causa de los impactos negativos en la diversidad genética, como argumentan Broadhurst y Boshier (2014), y experimentalmente lo demuestran Rosas et al. (2011) con poblaciones de S. humilis de la costa del océano Pacífico en el estado de Jalisco.

Sin embargo, dado que los otros sitios, principalmente Zacapalco y Santa Fe, tuvieron frutos con producción alta de semillas desarrolladas y con alta capacidad germinativa, se recomienda que la hipótesis del efecto en la capacidad reproductiva se compruebe con estudios a nivel genético, con un enfoque experimental similar al de los estudios de White et al. (2002), Moraes et al. (2018), Garcia et al. (2019) y Manoel et al. (2021) porque, además, en varias especies tropicales no se ha observado una reducción de su diversidad genética a pesar de que sus poblaciones naturales estén fragmentadas.

Esto es particularmente cierto para S. humilis. Un estudio realizado en poblaciones naturales fragmentadas en regiones de Centroamérica, comprueba que los parches remanentes de árboles e individuos aislados tienen un rol importante en mantener la conectividad genética y mejorar la variabilidad de las poblaciones, porque amortiguan los efectos genéticos deletéreos de la destrucción del hábitat (White et al., 2002). Esas implicaciones se sustentan en el hecho de que S. humilis y su congénere S. macrophylla son especies predominantemente alógamas que mantienen altos niveles de diversidad y conectividad genética, gracias a su sistema cruzado de apareamiento por cierto grado de autoincompatibilidad y dicogamia, así como por su sistema de polinización generalista y dispersión a larga distancia (White et al., 2002; Lemes et al., 2007).

Finalmente, los resultados del presente estudio también sugieren lo determinante que es la fecha de recolección en la calidad del germoplasma, a partir de la notoriedad de las respuestas germinativas de las semillas de Arcelia, que fueron las peores. A pesar de que los árboles de este sitio produjeron frutos grandes con suficientes semillas de un peso intermedio, es posible que la fecha de recolección ahí no fue la apropiada, porque la semilla de algunos frutos no presentaba la tonalidad café característica con la que de forma visual en campo se puede definir su madurez (Salazar et al., 2000). Varios estudios con taxones forestales del trópico han enfatizado la importancia de definir épocas adecuadas de recolección debido a la asincronía en la madurez que las especies tienen a nivel de árbol o población según su intervalo de distribución (Núñez-Cruz et al., 2018; Luna-Nieves et al., 2019). Lo anterior, es particularmente importante para especies tropicales nativas como S. humilis, porque de varias poblaciones locales se carece de información sobre su fenología reproductiva, como la que ha sido generada para otros taxa del trópico seco (Núñez-Cruz et al., 2018).

 

 

Conclusiones

 

 

Los árboles de S. humilis de los rodales naturales analizados en el estado de Guerrero, producen frutos y semillas que difieren en sus características morfométricas y reproductivas, así como en su capacidad germinativa. Esta información tiene implicaciones importantes, porque sirve de base para definir su uso como fuentes locales de germoplasma para satisfacer las demandas de este material de pequeña o mediana escala, para las iniciativas de conservación, propagación y reforestación que se impulsen con la especie.

 

 

Agradecimientos

 

Se agradece el financiamiento al CONACYT por la beca otorgada al primer autor para realizar sus estudios de doctorado.

 

Conflicto de intereses

 

Los autores declaran no tener ningún conflicto de intereses.

 

Contribución por autor

 

Celi Gloria Calixto-Valencia: conducción del estudio y escritura del manuscrito; Víctor Manuel Cetina-Alcalá: coordinación y administración del estudio; Carlos Ramírez-Herrera: planteamiento experimental, estimación de variables y revisión del manuscrito; Miguel Ángel López-López, Gregorio Ángeles-Pérez y Armando Equihua-Martínez: planteamiento experimental y revisión del manuscrito; Erickson Basave-Villalobos: obtención y procesamiento del material experimental y análisis estadístico.

 

 

Referencias

Aitken, S. N. 2004. Genecology and adaptation of forest trees. In: Burley, J. (ed.). Genetics and genetic resources, Encyclopedia of Forest Sciences. Elsevier. Amsterdam, NX, Netherlands. pp.197-204. https://www.sciencedirect.com/science/article/pii/B0121451607000867?via%3Dihub. (1 de julio de 2022).

Balzarini, M. G., L. Gonzalez, M. Tablada, F. Casanoves, J. A. Di Rienzo y C. W. Robledo. 2008. InfoStat Manual del Usuario Versión 2008. Editorial Brujas. Córdoba, Argentina. https://www.researchgate.net/publication/283491340_Infostat_manual_del_usuario. (1 de julio de 2022).

Barone, J., E. Duarte y C. Luna. 2016. Determinación de la eficacia de métodos de evaluación de calidad de semillas de especies forestales nativas de la Selva Atlántica. Quebracho Revista de Ciencias Forestales 24(2):70-80. https://www.redalyc.org/journal/481/48163565003/html/. (21 de septiembre de 2021).

Barstow, M. 2019. Swietenia humilis Zuccarini. The IUCN Red List of Threatened Species 2019. https://www.gbif.org/es/species/176776393. (17 de octubre de 2021).

Broadhurst, L. and D. Boshier. 2014. Seed provenance for restoration and management: conserving evolutionary potential y utility. In: Bozzano, M., R. Jalonen, E. Thomas, D. Boshier, … and J. Loo (eds.). Genetic considerations in ecosystem restoration using native tree species. State of the World’s Forest Genetic Resources–Thematic Study.Food and Agricultural Organization(FAO) and Bioversity International. Rome, RM, Italy. pp. 27-33.

Carvalho, C. A., J. B. da Silva, C. Z. Alves, C. F. Hall, M. F. Cotrim and A. V. Teixeira. 2020. Effect of temperature and light on seed germination and seedling growth of Swietenia macrophylla King. Revista Caatinga 33(3):728-734. Doi: 10.1590/1983-21252020v33n316rc.

Comisión Nacional Forestal (Conafor). 2016. Manual para la identificación y establecimiento de unidades productoras de germoplasma forestal. Comisión Nacional Forestal y Secretaría del Medio Ambiente y Recursos Naturales (Semarnat). Zapopan, Jal., México. 70 p.

Flores L., Z. Y., A. P. Campos D., E. H. Quiroga S., Y. Gutiérrez G., E. Salas O., G. García S. y A. Cuellar C. 2019. Características fitoquímicas y toxicológicas de la semilla Swietenia humilis Zuccarini y su efecto hipoglucemiante. Revista Cubana de Farmacia 52(1):e129. http://www.revfarmacia.sld.cu/index.php/far/article/view/129. (5 de julio de 2021).

Garcia, A. S., E. A. Bressan, M. V. R. Ballester, A. Figueira and A. M. Sebbenn. 2019. High rates of pollen and seed fow in Hymenaea stigonocarpa on a highly fragmented savanna landscape in Brazil. New Forests  50:991-1006. Doi: 10.1007/s11056-019-09710-3.

González-Vélez, G., A. R. Andrés-Hernández, G. Valdez-Eleuterio, N. Álvarez-Quiroz, D. Martínez-Moreno y S. P. Rivas-Arancibia. 2020. Germinación de semillas de seis especies arbóreas maderables de una selva baja caducifolia en Puebla, México. Agrociencia 54(2):227-240. https://agrociencia-colpos.mx/index.php/agrociencia/article/view/1903. (12 de noviembre de 2021).

Khurana, E. and J. S. Singh. 2001. Ecology of seed and seedling growth for conservation and restoration of tropical dry forest: a review. Environmental Conservation 28(1):39-52. Doi: 10.1017/S0376892901000042.

Kitajima, K. 2007. Seed and seedling ecology. In: Pugnaire, F. I.and F. Valladares (eds.). Functional plant ecology.CRC Press/Taylor & Francis Group. Boca Raton, FL, USA. pp. 549-580.

Ledig, F. T. 2004. Conservación y Manejo de Recursos Genéticos Forestales. In: Vargas H., J. J., B. Bermejo V. y F. T. Ledig (eds.). Manejo de Recursos Genéticos Forestales. Servicio Forestal de los Estados Unidos de América, Organización de las Naciones Unidas para la Agricultura y la Alimentación (FAO) y la Comisión Nacional Forestal (Conafor). Zapopan, Jal., México. pp. 6-20.

Lemes, M. R., D. Grattapaglia, J. Grogan, J. Proctor and R. Gribel. 2007. Flexible mating system in a logged population of Swietenia macrophylla King (Meliaceae): implications for the management of a threatened neotropical tree species. Plant Ecology 192:169-179. Doi: 10.1007/s11258-007-9322-9.

Luna-Nieves, A. L., J. A. Meave, E. J. González, J. Cortés-Flores and G. Ibarra-Manríquez. 2019. Guiding seed source selection for the production of tropical dry forest trees: Coulteria platyloba as study model. Forest Ecology and Management 446:105-114. Doi: 10.1016/j.foreco.2019.05.020.

Manoel, R. O., B. C. Rossini, M. R. Cornacini, M. L. T. Moraes, ... and C. L. Marino. 2021. Landscape barriers to pollen and seed flow in the dioecious tropical tree Astronium fraxinifolium in Brazilian savannah. PLOS ONE 16(8):e0255275. Doi: https://doi.org/10.1371/journal.pone.0255275.

Melo, M. F. de V., A. M. Sebbenn, B. C. Rossini, A. V. C. da S. Muniz, C. J. Rodrigues, C. L. Marino and M. L. T. de Moraes. 2021. Estimating genetic diversity, mating system and pollen dispersal to inform ex situ conservation of the tree Genipa americana L. Plant Genetic Resources 19(1):9–19. Doi: 10.1017/S1479262121000022.

Moraes, M. A., T. Y. K. Kubota, B. C. Rossini, C. L. Marino, ... and A. M. Sebbenn. 2018. Long-distance pollen and seed dispersal and inbreeding depression in Hymenaea stigonocarpa (Fabaceae: Caesalpinioideae) in the Brazilian Savannah. Ecology and Evolution 8(16):7800-7816. Doi: 10.1002/ece3.4253.

Niembro R., A. y E. O. Ramírez-García. 2006. Evaluación de la cantidad y calidad biológica de semillas de caoba [Swietenia macrophylla King-Meliaceae] procedentes de una plantación en el Estado de Campeche, México. Foresta Veracruzana 8(1):23-30. https://www.redalyc.org/articulo.oa?id=49780105. (19 de septiembre de 2021).

Núñez-Cruz, A., J. A. Meave and C. Bonfil. 2018. Reproductive phenology and seed germination in eight tree species from a seasonally dry tropical forest of Morelos, Mexico: Implications for community-oriented restoration and conservation. Tropical Conservation Science 11:1-14. Doi: 10.1177/1940082917749946.

Patiño V., F. 1996. Genetic resources of Swietenia and Cedrela in the neotropics: proposals for coordinated action. Food and Agriculture Organization of the United Nations (FAO). http://www.fao.org/3/AD111E/AD111E00.htm. (17 de octubre de 2021).

Pereira, L. C. S. M., E. V. Tambarussi, M. O. Biliati, K. Martins, P. Y. Kageyama and A. M. Sebbenn. 2020. Inbreeding depression from selfing and mating among relatives of Hymenaea courbaril L. Forest Ecology and Management 475:118414. Doi: 10.1016/j.foreco.2020.118414.

Pramono, A. A., D. Syamsuwida and K. P. Putri. 2019. Variation of seed sizes and its effect on germination and seedling growth of mahogany (Swietenia macrophylla). Biodiversitas 20(9):2576-2582. Doi: 10.13057/biodiv/d200920.

Rosas, F., M. Quesada, J. A. Lobo and V. L. Sork. 2011. Effects of habitat fragmentation on pollen flow and genetic diversity of the endangered tropical tree Swietenia humilis (Meliaceae). Biological Conservation 144(12):3082-3088. Doi: 10.1016/j.biocon.2011.10.003.

Salazar, R., C. Soihet y J. M. Méndez. 2000. Manejo de semillas de 100 especies forestales de América Latina (Volúmen I). Serie Técnica Manual Técnico No. 41. Centro Agronómico Tropical de Investigación y Enseñanza (CATIE) y Danida Forest Seed Centre. Turrialba, CRC, Costa Rica. 204 p.

Sol S., Á., H. J. Megía V., J. Pérez F. y J. López U. 2016. Relación dimensión-germinación de semilla de caoba (Swietenia macrophylla King) en la UMAF 2702ST Sierra de Tenosique. Revista Mexicana de Ciencias Agrícolas Publicación Especial(14):2783-2791. Doi: 10.29312/remexca.v0i14.446.

Trindade-Lessa, B. F. da, J. P. Nobre-de Almeida, C. Lobo-Pinheiro, F. Melo-Gomes and S. Madeiros-Filho. 2015. Germination and seeling growth of Enterolobium contortisiliquum as a function of seed weight and temperature and light conditions. Agrociencia 49(3):315-327. http://www.scielo.org.mx/scielo.php?script=sci_arttext&pid=S1405-31952015000300007. (23 de septiembre de 2021).

Turner, I. M. 2001. The Ecology of Trees in the Tropical Rain Forest. Cambridge University Press. Cambridge, CB, UK. 298 p.

Valverde-Rodríguez, K., C. O. Morales and E. G. García. 2019. Germinación de semillas de Crescentia alata (Bignoniaceae) en distintas condiciones de temperatura, luminosidad y almacenamiento. Revista de Biología Tropical 67(2):120-131. Doi:10.15517/rbt.v67i2supl.37211.

Viveros-Viveros, H., K. Quino-Pascual, M. V. Velasco-García, G. Sánchez-Viveros y E. Velasco B. 2017. Variación geográfica de la germinación en Enterolobium cyclocarpum en la costa de Oaxaca, México. Bosque 38(2):317-326. Doi: 10.4067/S0717-92002017000200009.

White, G. M., D. H. Boshier and W. Powell. 2002. Increased pollen flow counteracts fragmentation in tropical dry forest: an example from Swietenia humilis Zuccarini. Proceedings of the National Academy of Sciences of the United States of America 99(4):2038-2042. http://www.jstor.org/stable/3057914. (11 de abril de 2022).

Willan, R. L. 1991. Guía para la manipulación de semillas forestales. Estudio FAO Montes (20/2). Centro de Semillas Forestales de DANIDA y Organización de las Naciones Unidas para la Alimentación y la Agricultura (FAO). Roma, Italia. https://www.fao.org/3/ad232s/ad232s00.htm#TOC. (11 de julio de 2021).

 

        

Todos los textos publicados por la Revista Mexicana de Ciencias Forestales sin excepción– se distribuyen amparados bajo la licencia Creative Commons 4.0 Atribución-No Comercial (CC BY-NC 4.0 Internacional), que permite a terceros utilizar lo publicado siempre que mencionen la autoría del trabajo y a la primera publicación en esta revista.