Revista Mexicana de Ciencias Forestales Vol. 9 (46)
Marzo-Abril
DOI: https://doi.org/10.29298/rmcf.v9i46.124 Article Relación de la clorofila y el nitrógeno foliar de Gmelina arborea Roxb. en vivero y en campo Relation of chlorophyll and foliar nitrogen of Gmelina arborea Roxb. at the nursery and in the field Katherine Barrantes Madrigal1*, Carlos Ávila Arias2, Rafael Murillo Cruz2, Laura Solís Ramos3, Romano Porras Murillo3 y Pablo Herrera Vargas2 |
Fecha de recepción/Reception date: 6 de noviembre de 2017
Fecha de aceptación/Acceptance date: 20 de febrero de 2018
_______________________________
1Centro de Investigación, Transferencia Tecnológica y Educación para el Desarrollo, Universidad Estatal a Distancia. Costa Rica.
2Programa de Producción Forestal Intensiva y Laboratorio de Suelos y Foliares, Instituto de Investigación y Servicios Forestales, Universidad Nacional. Costa Rica.
3Biotecnología de Plantas, Escuela de Biología, Universidad de Costa Rica. Costa Rica.
*Autor por correspondencia; correo-e:katbama21@gmail.com
Resumen:
El rol fundamental que Gmelina arborea (melina) ha adquirido para garantizar el abastecimiento de materia prima para la industria forestal, en las zonas tropicales y sub-tropicales destaca la necesidad de reconocer genotipos superiores; para ello, el o los parámetros que se utilizan como referencia en una posible selección a etapas tempranas, necesariamente, deben asociarse al desarrollo del material en campo. El objetivo de la presente investigación fue identificar diferencias entre clones de G. arborea en su contenido de clorofila, obtenido tanto mediante el medidor portátil SPAD como en laboratorio, y así determinar correlaciones con su desempeño en una plantación de un año de edad, así como su potencial para la selección temprana de genotipos superiores de dicho taxon. Los clones 8 y 3 registraron los valores extremos en el contendido de clorofila. La correlación entre SPAD y clorofila total en laboratorio fue de 0.52, que se considera moderada para las especies forestales. Los clones 10 y 12 alcanzaron las cifras de correlación entre SPAD-DAP y SPAD-volumen total más altas, lo que deja abierta la posibilidad de poder identificar clones que tendrán un desempeño superior en campo, a partir de la lectura de clorofila en etapa de vivero registrada mediante el medidor portátil. No obstante, se requiere desarrollar y validar una metodología para la obtención del contenido de clorofila a edades tempranas para G.arborea.
Palabras clave: Clones, clorofila, Costa Rica, fisiología vegetal, Gmelina arborea Roxb., vivero forestal.
Abstract
The fundamental role that Gmelina arborea (melina) has reached to guarantee the supply of raw material for the forest industry, in the tropical and sub-tropical areas, highlights the need to find superior genotypes; for this, the parameter (s) that will be used as a reference in a possible selection at early stages, must necessarily be associated to the development of the material in the field. The objective of the present investigation was to identify differences between G. arborea clones in their chlorophyll content, obtained in the laboratory and through the portable SPAD meter and thus determine correlations with their performance in a one-year-old plantation, and their potential for the early selection of superior genotypes of this species. Clones 8 and 3 recorded the extreme values in the chlorophyll content. The value of the correlation between SPAD and total chlorophyll in the laboratory was 0.52, which is considered moderate for forest species. Clones 10 and 12 reached the highest correlation figures between SPAD-DAP and SPAD-total volume, which opens the possibility of being able to select clones that will have better performance in the field from the chlorophyll reading in the nursery stage, obtained by the portable meter. However, it is necessary to develop and validate a methodology for obtaining chlorophyll content at early ages for the species.
Key words: Clones, chlorophyll, Costa Rica, vegetal physiology Gmelina arborea Roxb., forest nursery.
Introduction
Gmelina arborea Roxb. is native to the moist deciduous forests of Southeast Asia (Osorio, 2004; Wee et al., 2012). At present, the species is considered as a promising option to guarantee the supply of raw material for the forest industry in the tropics and sub-tropics. This is mainly due to its easy handling, low establishment cost, rapid growth in its first stages and high biomass production in short cycles (Kumar, 2007; Adebisi et al., 2011; Rojas et al., 2012).
It is the second most important forest taxon in Costa Rica with more than 18 000 ha, which stand for 20.5 % of the total area established for timber purposes (INEC, 2015). Its position in the forestry sector is due to the promotion of clonal genetic improvement programs, initiated in the nineties, from which excellent results were obtained in characteristics of commercial interest; the aim was to increase the productivity and quality of wood, by selecting outstanding genotypes for specific genetic characteristics (Balcorta and Vargas, 2004).
A key strategy in clonal production is to select or exclude genotypes that have desirable traits, starting at phases prior to their establishment in the field (Puttonen, 1989, Mattsson, 1996). This is crucial for reducing costs and, therefore, increasing the efficiency of the productive system, by decreasing the timing of the selection processes of superior genetic materials. To achieve this objective, criteria, parameters or variables that can be used in their early selection must be identified. Necessarily, they should be able to be associated to the development of the forest mass, so that morphological and physiological variables in particular become a main option (Puttonen, 1989; Mattsson, 1996; Rakocevic et al., 2005; Ávila, 2013; Ávila et al., 2016).
In this way, correlating physiological parameters evaluated in the nursery stage with the field development of the genotypes, through the evaluation of formally established clonal assays, offers the possibility of identifying genotypes with optimal growth for areas of continuous forest production, which in turn, they serve as an instrument for this selection of superior clones (Puttonen, 1989; Goswami and Tewari, 2011; Codesido et al., 2012; Ávila et al., 2016); such is the condition of the experimental site studied here.
In spite of the importance of knowing in detail the behavior of different types of variables, for the genetic materials that are currently used for the production of wood, and in each of its stages of life, the existing and necessary information to make scientifically based decisions is extremely limited at the international level, and almost non-existent for Costa Rica (Gonçalves et al., 2008; Silla et al., 2010).
It is because of this need for knowledge that photosynthesis has been studied extensively, a vital physiological process in plants, and in relation to photosynthetic capacity and efficiency in particular (Puttonen, 1989). The content and type, both chlorophyll and carotenoids, influence the capture of light and the transfer of that energy to the reaction centers. In addition, chlorophyll is involved in the synthesis of cell growth molecules, which is a key indicator of the physical state of the plant, reflected in its photosynthetic capacity, productivity and stress level, among other aspects (Puttonen, 1989; Mattsson, 1996; Richardson et al., 2002; Umazi et al., 2016).
An alternative to the above to indirectly estimate the chlorophyll content quickly and non-destructively, is by means of a portable field chlorophyll meter Minolta SPAD™ 502 (Soil Plant Analysis Development), which calculates the greenness index that is directly related to the chlorophyll content in the leaf (Rodríguez et al., 1998; Rincón and Ligarreto, 2010).
Several authors suggest that the use of the portable meter can help in the preliminary discrimination of genotypes with high and low chlorophyll content; it could eventually be used in the early selection of superior genotypes, once the chlorophyll reference values have been identified (Neufeled et al., 2006; Barrios et al., 2011; Díaz, 2014), and also to associate them with their growth in the field (Puttonen, 1989; Mattsson, 1996; Avila et al., 2016).
By assuming possible differences between clones in the chlorophyll content in the nursery stage and in the field, a relationship between both can be established, which would allow genotypes to be identified as superior from early stages in the nursery (Mattsson, 1996; Codesido et al., 2012). Thus, technical-scientific information would be available to decide the incorporation or exclusion of genotypes to clonal assemblages that are part of genetic improvement programs (Mattsson, 1996), and thus, increase the precision of the information that sustains forestry packages of continuous and intensive production.
In this regard, the Instituto de Investigación y Servicios Forestales de la Universidad Nacional de Costa Rica (INISEFOR-UNA) (Institute of Forest Research and Services of the National University (INISEFOR-UNA) of Costa Rica) carries out research projects aimed at generating knowledge that contribute to improve the productivity of forest plantations. In this context, the objective of this research was to identify possible differences between clones of G. arborea or melina, which make up their genetic collection in terms of chlorophyll content, and to associate this variable with their performance in the field in a year, to finally determine the potential of early selection of superior genotypes based on the possible nursery-field correlation, between chlorophyll and mensuration variables.
Materials and Methods
This study was carried out jointly between INISEFOR-UNA and the School of Biology of the University of Costa Rica. The experimental material was asexually produced in the INISEFOR clonal nursery, in the La Palma locality, Puerto Jiménez district, Golfito canton, Puntarenas province, southern zone of Costa Rica (83.39655° N, 8.57701° W). The site is located at an altitude of 20 m, records an annual rainfall of 3 500 to 4 000 mm and average annual temperature of 24 to 28 °C (Kappelle et al., 2002). The region is classified as very wet premontane forest transition to basal (Holdridge, 1967).
Experimental material
The research was carried out with 14 genotypes of melina, which belong to the genetic collection of INISEFOR. Ten plants of each clone were evaluated, for a total of 140. The genotypes were reproduced from clonal gardens of the genetic collection of the same institution.
Determination amount of chlorophyll and nitrogen
The amount of chlorophyll was estimated by two methods:
1) Determination by means of a portable meter: the readings were made with the Minolta SPAD 502 meter on a sheet of each of the 140 plants evaluated, on the first new pair with full development that did not exhibit any damage. Five readings were taken from each leaf in different parts, one in the center and the remaining four in its edge, in such a way that it covered most of the leaf area (10 cm2 on average); these measurements are automatically averaged by the equipment, with which only one data per sheet was recorded. The measurements were made during the day.
2) Determination in the laboratory: the sheets on which the portable meter was read were marked for identification and sectioned from the plants. From each one, a 1 cm diameter disc with an average weight of 0.6 ± 0.01 mg was extracted, which was subsequently macerated in a mortar with the help of a pistil and 5 mL of 90 % ethanol. The content of the mortar was transferred to 50 mL tubes, which were centrifuged at 2000 rpm for 5 minutes. From the supernatant 1.5 mL were taken to measure the absorbances in the Implen P300 nanophotometer with the following wavelengths: 430, 470, 620, 665, 645, 647, 663, and 750. Finally, the chlorophyll a variables were determined, by total, and carotenoids (mg L-1) according to Lichtenthaler (1987); and foliar nitrogen using the Kjeldahl method (Horneck and Miller, 1998).
Chl a: Chlorophyll a: (13.36 × A664) – (5.19 × A649)
Chl b: Chlorophyll b: (27.43 × A649) – (8.12 × A664)
Chl T: Total clorophyll: Chl a + Chl b
Statistic analysis
In order to statistically calculate significant differences for the variables evaluated between the genotypes, a variance analysis and a Tukey means test (p> 0.05) were performed for the database from the laboratory and the portable meter.
A Pearson correlation test was applied between the chlorophyll readings obtained from the portable meter (SPAD units) and those determined in the laboratory (mg L-1), both chlorophyll and nitrogen, for all individuals (n = 140) and for each of the clones (n = 10). Subsequently, the results were grouped into three clonal subsets according to their level of correlation in high (≥0.61), medium (0.31≤r≤0.60) and low (r≤0.30).
Finally, a Pearson correlation test was carried out between the chlorophyll in nursery and the mensuration variables of growth of the genotypes sampled in the field at one year of age, planted in a genetic test where the 14 genotypes are present. The mensuration variables measured in this investigation were the following:
Diameter at Breast Height (DBH) = the normal diameter (at 1.3 m) was determined for each tree by a Forestry Suppliers diametric tape
Total Height (HT) = from the reading of the Suunto Pm5/15-20 m inclinometer
Total Volume (VT) = ((DAP / 100) 2) * 0.7854 * HT * 0.65
The statistical program InfoStat version 2015 was used for the statistical analyzes (Balzarini et al., 2008; InfoStat, 2015).
Results and Discussion
Evaluation of chlorophyll determined by portable and laboratory meter
The chlorophyll calculated by the portable meter recorded an average for the species of 21.51 units. Ávila (2013), in the same region and age of the individuals, registered a general chlorophyll average of 23.57 SPAD units for clonal melina material, which is a data that supports the results obtained (Table 1).
Table 1. Average value of the assessed parameters for the melina individuals (n = 140) and for every one of the genotypes (n = 10) generated by SPAD and in the laboratory.
Clone | SPAD (SPAD units) | Chl-T (mg L-1) | Chl-a (mg L-1) | Chl-b (mg L-1) | N (%) |
1 | 18.11 de | 2.25 cde | 1.64 de | 0.61 b | 2.00 d |
2 | 23.38 abc | 3.84 ab | 1.60 de | 2.23 a | 3.20 ab |
3 | 17.32 e | 1.60 e | 1.20 e | 0.40 b | 2.18 cd |
4 | 25.31 a | 3.15 abcd | 2.52 a | 0.63 b | 3.22 ab |
5 | 25.45 a | 4.40 a | 2.19 abc | 2.21 a | 3.05 ab |
6 | 19.86 bcde | 2.04 cde | 1.43 de | 0.61 b | 2.60 bcd |
8 | 23.72 ab | 2.51 bcde | 1.91 bcd | 0.60 b | 3.02 ab |
9 | 19.34 cde | 2.01 de | 1.53 de | 0.48 b | 3.27 ab |
10 | 21.81 abcd | 2.33 cde | 1.66 de | 0.67 b | 3.08 ab |
11 | 24.50 a | 4.04 a | 2.33 ab | 1.71 ab | 3.42 a |
12 | 22.18 abcd | 2.10 cde | 1.59 de | 0.51 b | 3.64 a |
13 | 21.43 abcde | 3.45 abca | 1.93 bcd | 1.52 ab | 3.60 a |
15 | 21.46 abcde | 2.16 cde | 1.64 de | 0.53 b | 2.95 abc |
16 | 21.29 abcde | 2.27 cde | 1.74 cd | 0.53 b | 3.47 a |
Average | 21.51 | 2.63 | 1.73 | 0.89 | 3.01 |
Min | 12.5 | 1.18 | 0.51 | -1.1 | 1.6 |
Max | 29.4 | 1.28 | 3.27 | 4.85 | 4.95 |
CV(%) | 15.97 | 43.21 | 25.11 | 115.13 | 21.89 |
Chl-T= Total chlorophyll, Chl-a= Chlorophyll a, Chl-b= Chlorophyll b, N= Foliar nitrogen; CV = Variation coefficient. Means with different letter in a line are statistically different (Tukey, p≤0.05).
The previous results (Table 1) reveal a potential 10: 1 relationship between the average chlorophyll value of the portable meter and its similar from the laboratory (SPAD units vs mg L-1). Therefore, it is feasible to predict the chlorophyll content revealed by the laboratory analysis from the reading in the SPAD units, although more studies are needed to corroborate this. This possibility has been recorded by several authors for species such as Acer saccharum Marshall (Van den Berg and Perkins, 2004), Betula pendula Roth (Uddling et al., 2007), Lindera melisifolia (Walter) Blume (Hawkins, 2009), Bombacopsis macrocalyx (Ducke) A. Robyns., Eugenia cumini (L.) Druce, Iryanthera macrophylla (Benth.) Warb. and Senna reticulata (Willd.) H. S. Irwin & Barneby (Gonçalves et al., 2008), Platanus occidentalis L., Liquidambar styraciflua L., Fraxinus pennsylvanica Marshall and Populus heterophylla L. (Chang and Robinson, 2003).
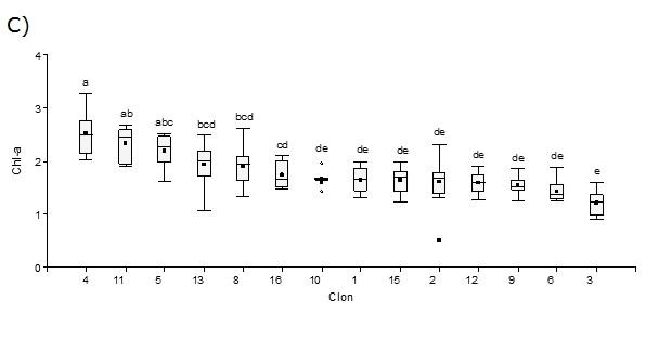
Clone 5 recorded the most outstanding value of total chlorophyll (Chl-T) in laboratory and field (SPAD) (Table 1) and high results of chlorophyll a (Chl-a) and chlorophyll b (Chl-b). This suggests a better ability to capture light energy, which could maximize the photosynthetic process and eventually express it with faster growth under natural conditions (Richardson, 2002; Rakocevic, 2005; Ávila, 2013; Díaz, 2014; Ávila et al., 2015). Additionally, according to Umazi et al. (2016), the trees with the highest chlorophyll foliar content could show better growth, which would increase their resistance to weathering.
The opposite case was verified with clone 3, which reached the lowest average value of chlorophyll SPAD, Chl-T, Chl-a and Chl-b, which would represent a disadvantage for its development in the field, since the amount of solar radiation absorbed by a leaf is largely a function of the foliar concentrations of photosynthetic pigments; therefore, under this condition, the photosynthetic potential can be directly limited and, with it, the primary production (Umazi et al., 2016).
In the same way, clonal differences in the foliar concentration of N in which clone 12 had the highest average (3.64 %), clone 1 recorded the lowest value (2.00 %). The concentration of nitrogen has been directly associated with variations in the photosynthetic capacity of the leaf and, finally, the productivity and performance of the genotypes (Mattsson, 1996; Richardson, 2002; Corcuera et al., 2005; Ávila et al., 2015).
Beyond the genetic aspect, the contrasts found could be explained based on different factors such as the calibration of the equipment and the degree of maturity of the sampled leaf; despite always evaluating the first pair of leaves, they were not always of the same size or development because of dissimilarities in stem elongation between clones. In this regard, Silla et al. (2010) reported significant interactions between the readings generated with a portable meter and the leaf stage for several Quercus species; therefore, the interpretation of the readings should be limited to samples of leaves with similar appearance and conditions (Puttonen, 1989), and then, it is convenient to homogenize the material that will be used to the maximum.
On the other hand, the calibration of the chlorophyll meters is linked to the differences in the optical and anatomical properties of the leaves. The meter is sensitive to characteristics such as leaf veins, thickness and moisture content, so it is advised to make multiple evaluations to the same leaf (Chang et al., 2003; Pinkard, 2006; Wang et al., 2009).
The reading depends not only on the chlorophyll content but also on its distribution in the leaf, which in turn is co-determined by the arrangement of the chloroplast in the cells, which depends on the light conditions and their variation during the day. As the portable meter measures the transmittance of light through the leaf, the movement of the chloroplasts within it also influences the readings (Naus et al., 2010). Therefore, the importance of having a standardized methodology for the use of the portable meter in obtaining a reliable chlorophyll value for the species in question is ratified.
A difference was verified between the amount of Chl-a and Chl-b for each of the clones evaluated, with a very close ratio of 3: 1, which coincides with values for other higher plants (Mustafa et al., 2015). According to Chazdon and Montgomery (2002), the proportion of the different types of chlorophyll constitutes an adaptation to the amount of light received. The heliophyte species contain higher content of chlorophyll "a" than "b". Melina is located within such species, which gives validity to the result obtained in the present investigation.
Differences between genotypes for SPAD and laboratory chlorophyll
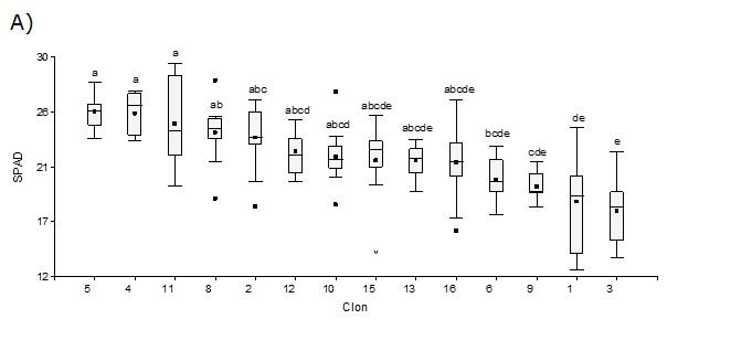
There were statistically significant differences between clones for all the variables evaluated (p <0.05) (Table 1). The chlorophyll obtained by the portable meter showed the highest number of them among clones, contrary to chlorophyll b. Clones 3 and 5 reached extreme averages (17.32 and 25.45 SPAD units, respectively).
For all the values of chlorophyll and nitrogen obtained, both in the laboratory and with the portable meter, a pattern of three groups was configured. The first with the superior genotypes; a second broad group that shares intermediate values with each other, and the third group formed by the clones with the lowest average values for the variables.
Such a group pattern is the result of the same variability among genotypes; nevertheless, the one made up of clones 3 and 9 with such reduced pigment contents draws attention, despite the growths in the field without statistically significant differences compared to the other genotypes. For this particular case, the values of chlorophyll could be due, in the first instance, to that in them were evaluated leaves with different degree of maturity than the others, which is explained because all the genotypes do not have the same speed in the development and maturation of its leaves (Silla et al., 2010). This is a methodological aspect that should be taken into account in future studies; and in the second instance, an affectation by optical factors, which could have directly influenced the contents of the pigments.
The differences between clones for each of the evaluated variables are illustrated in Figure 1. As can be deduced from Table 1, the chlorophyll reading with SPAD exhibits the greatest number of differences among clones; Clones 3 and 9 are located to the right of the chlorophyll charts with the lowest values.
A = SPAD chlorophyll; (B), Chl-T= total chlorophyll (C), Chl-a= chlorophyll a; (D), Chl-b= chlorophyll b; N= foliar nitrogen and (E) = Car-T. Clon = Clone
Figure 1. Average values of the chlorophyll and carotene content in clones of Gmelina arborea Roxb.
Trying to predict the chlorophyll content of plants through simple evaluations necessarily implies reliability in the measurements made on the predictor variables; that is why it is important to observe the position occupied by each clone for each variable and the possible correlation between them. Identifying the subsets of genotypes evidences their genetic variability and the possibility of generating predictive models.
Ten genotypes maintained a stable trend regarding their position for both variables (Figure 2), which suggests that the measurement with SPAD could have a linear, or directly proportional, relationship with the chlorophyll data generated in the laboratory, having the same (or very similar) sorting based on its average.
Media = Average; Clon = Clone
Figure 2. Position of the clones by the average of total chlorophyll obtained with SPAD vs laboratory.
The identification of these three subsets suggests two hypotheses. The first is that the use of certain genotypes could be ruled out due to their low photosynthetic pigment values, and the second, that melina chlorophyll readings by portable meters could be reliable.
Possibility of prediction in the reading of chlorophyll in the laboratory from the SPAD
A reliable reading of the amount of chlorophyll from a simple measurement such as that made with the SPAD™ equipment, would be very useful in research programs and forest genetic improvement. For the actual investigation, almost all the correlations obtained were positive and higher than 0.50, except for the one between SPAD and Chl-b (due to the difficulty of generating the value of Chl-b, explained above) (Table 2). With respect to Chl-b, other authors have described a similar pattern; thus, Gonçalves et al. (2008) recorded a lower correlation between Chl-b and Chl-T compared to those obtained between Chl-a and Chl-T. Table 3 lists the correlation values between the variables evaluated by each genotype.
Table 2. Pearson correlation matrix for the chlorophyll type and its average absolute value for Gmelina arborea Roxb. genotypes.
SPAD | Chl-T | Chl-a | Chl-b | |
Chl-T | 0.53 | - | - | - |
Chl-a | 0.65 | 0.96 | - | - |
Chl-b | 0.31 | 0.92 | 0.64 | - |
N | 0.42 | 0.26 | 0.27 | 0.18 |
Chl-T = Total chlorophyll; Chl-a = Chlorophyll a; Chl-b = Chlorophyll b; N = Nitrogen. Significant: p ≤ 0.05.
Table 3. Correlation between genotypes of Gmelina arborea Roxb. and the evaluated chlorophyll and nitrogen variables.
Clone | |||||||||||||||
8 | 10 | 3 | 11 | 9 | 5 | 15 | 6 | 4 | 2 | 1 | 13 | 12 | 16 | ||
SPAD | Chl-T | 0.81 | 0.75 | 0.67 | 0.66 | 0.65 | 0.59 | 0.49 | 0.44 | 0.37 | 0.33 | 0.17 | 0.12 | 0.09 | 0.02 |
Chl-a | 0.80 | 0.86 | 0.72 | 0.47 | 0.42 | 0.51 | 0.63 | 0.51 | 0.59 | 0.75 | 0.36 | 0.16 | 0.05 | 0.17 | |
Chl-b | 0.78 | 0.19 | 0.48 | 0.59 | 0.79 | 0.47 | 0.11 | 0.28 | 0.02 | 0.12 | -0.15 | 0.05 | 0.13 | -0.29 | |
N | 0.78 | -0.36 | -0.07 | 0.70 | 0.19 | 0.89 | 0.14 | 0.43 | 0.37 | 0.02 | 0.30 | -0.48 | -0.15 | 0.59 | |
Chl-T | Chl-a | 0.99 | 0.83 | 0.91 | 0.34 | 0.92 | 0.03 | 0.97 | 0.94 | 0.83 | -0.27 | 0.85 | -0.70 | 0.94 | 0.98 |
Chl-b | 0.96 | 0.67 | 0.91 | 0.98 | 0.85 | 0.98 | 0.87 | 0.89 | 0.82 | 0.97 | 0.75 | 0.98 | 0.90 | 0.93 | |
N | 0.50 | -0.78 | -0.22 | 0.64 | 0.34 | 0.53 | -0.53 | 0.58 | 0.08 | 0.17 | -0.29 | 0.18 | 0.24 | -0.61 | |
Chl-a | Chl-b | 0.92 | 0.14 | 0.78 | 0.12 | 0.57 | -0.18 | 0.72 | 0.68 | 0.36 | -0.49 | 0.29 | -0.83 | 0.70 | 0.85 |
N | 0.51 | -0.49 | -0.24 | 0.94 | 0.46 | 0.26 | -0.42 | 0.63 | 0.49 | 0.06 | -0.35 | -0.15 | 0.30 | -0.52 | |
Chl-b | N | 0.44 | -0.83 | -0.15 | 0.14 | 0.12 | 0.46 | -0.68 | 0.40 | -0.36 | 0.14 | -0.09 | 0.18 | 0.12 | -0.73 |
Significant = (p ≤ 0.05)
Based on the results of all the plants evaluated for the species, the chlorophyll content determined by SPAD had a correlation of 0.53 with the total chlorophyll obtained in the laboratory, which is considered moderate for forest species. In their study with Acer saccharum, Van den Berg and Perkins (2004) calculated a correlation of 0.76 between reading chlorophyll with SPAD and total chlorophyll. In the same way Silla et al. (2010), for three Quercus species, recorded correlations of 0.58 to 0.83 between these same variables. However, none of the above species exhibits total heliophyte behavior similar to that of melina.
The chlorophyll reading of the SPAD had a correlation with Chl-a higher than Chl-T, which suggests that the low correlation between SPAD and Chl-b (0.31) significantly affected the SPAD-Chl-T correlation. This result confirms that the laboratory determination of Chl-b values for the species must be fine-tuned, since it shows an important variability that warrants a more thorough reading of this pigment. This identification of significant correlations between variables is vital as an additional aspect in the possibility of early predicting their performance in the field, which is the final objective of this research. In the same way, this information would act as an indicator of the health and physiological performance of different plant materials (Neufeld et al., 2006; Gonçalves et al., 2008; Wang et al., 2009; Silla et al., 2010; Díaz, 2014; Umazi et al., 2016). All of the above would allow to identify the genotypes that should be used in intensive forest production systems (Mattsson, 1996; Ávila, 2013).
Clone 8 recorded the highest correlation values in most of the variables; otherwise, clone 16, the lowest. A homogeneous behavior was obtained for clone 3, with correlations considered high (r≤0.60) for all the assessed variables (Table 3). This information allows establishing a baseline for comparison, which could be a reference point in the search for parameters for the possible early selection of superior genotypes; however, these variables are only some of the possible ones to select.
The clones were classified into three groups, based on the values of individual correlations (Table 4).
Table 4. Recorded correlation between Chl-T and SPAD for every set of the Gmelina arborea Roxb. clones.
Set | Correlation Chl-T–SPAD |
High | 0.73 |
Moderate | 0.55 |
Low | 0.11 |
Significant = (p ≤ 0.05)
Clones 8, 10, 3, 11 and 9 were correlated, mainly between SPAD and CHL-T, cataloged as high, while for 1, 12, 13 and 16 they were low (<0.30). The identification of these groups suggests that there is a marked variability between genotypes, which at the beginning can be explained by differences in the degree of maturity and sheet in the evaluated leaves of each plant at the time of taking the measurement. Calvo et al. (2008), Crespo et al. (2011), Rojas et al. (2012) and Umazi et al. (2016) agree about attributing the variability in the content of chlorophylls and / or carotenoids to situations of water stress; however, this would not be extensive to the present investigation, since homogeneity was guaranteed in the experimental conditions in which all the genotypes were developed during the evaluation period (Puttonen, 1989; Mattsson, 1996; Rojas et al., 2012).
Chlorophyll types correlation vs field development
Young - adult correlations, that is, those based on variables evaluated at early ages and in the field, are a very valuable tool for the selection of plant materials that could express desirable characteristics in plantation at the productive level. The analysis made to all the individuals indicates that the correlations between Chl-T and / or SPAD with the mensuration variables (of growth) in field at one year of age, turned out to be very low, without exceeding 0.19 (Table 5). However, despite not being able to statistically link field performance from chlorophyll types, this result is of great importance as it is a first attempt to explain the variability of field parameters very early, from these levels in the plants in nursery conditions.
Table 5. Pearson Correlation Matrix for the amount and type of average chlorophyll and the mensuration variables in one-year-old plantation, for ten clones of Gmelina arborea Roxb.
Chl-T | SPAD | Chl-a | Chl-b | Car-T | D | Ht | |
SPAD | 0.52 | - | - | - | - | - | - |
Chl-a | 0.96 | 0.6 | - | - | - | - | - |
Chl-b | 0.84 | 0.25 | 0.64 | - | - | - | - |
Car-T | 0.55 | 0.51 | 0.66 | 0.2 | - | - | - |
DAP | 0.02 | 0.08 | -0.03 | 0.11 | 0.03 | - | - |
HT | 0.09 | 0.19 | 0.09 | 0.07 | 0.15 | 0.41 | - |
VT | 0.04 | 0.11 | 1.00E-03 | 0.11 | 0.07 | 0.97 | 0.6 |
DAP= Diameter at Breast Height; HT = Total height; VT= Total volume. Significant = p ≤ 0.05.
Similar results have been obtained in retrospective studies for early selection, generally with very low correlations (Harfouche, 2003; Ávila et al., 2016). These authors point out several reasons to explain this situation. From the genotype-environment interaction, the chlorophyll contents can be affected by temperature, solar irradiation and water stress.
Jansson (1998) adds to the previous explanations, that different sets of genes regulate growth at different ages, so that the age of the seedlings used in nursery measurement may not have been the necessary to generate the inference nursery-field. Therefore is ratified by different authors, concluding that seedlings must reach a minimum development stage so that juvenile traits become a reliable selection criterion (Erickson et al., 1993; Rojas et al., 2012). The amount of material evaluated has also been pointed out in the literature as a possible reason that could affect juvenile-adult correlations (Puttonen, 1989). All the above must be taken into account in the methodological approach of future investigations.
As in the previous evaluations, clones with very low correlations were identified (Table 6), which finally could affect the general database and could explain the low correlations of chlorophyll and growth in general found for the species.
Table 6. Pearson correlation matrix between the chlorophyll reading of the SPAD and the mensuration variables in a one- year old plantation for each of the evaluated clones of Gmelina arborea Roxb.
DAP = Diameter at Breast Height; HT = Total height; VT = Total volume. Significant = p ≤ 0.05.
Clones 12 and 10 achieved the highest correlations between SPAD - DAP and SPAD - HT; clones 1 and 8 showed mean values for the same correlations, and the remaining genotypes, very low values between the SPAD reading and all the mensuration variables (<0.18).
This new genotype grouping pattern led to a stratification according to the level of correlation between SPAD and Total Volume (VT), high (x> 0.60), medium (0.30> x <0.60) and low (x <0.30). The identified pattern suggests that the genotypes behave with a group tendency. The results of the correlation test, separately for each of the groups determined above, are in Table 7.
Table 7. Pearson correlations for each of the sets formed from the correlation between SPAD and total volume (VT) of Gmelina arborea Roxb.
| High (10-12) | Medium (8-1) | Low (2-3-6-9-15-16) | |
SPAD | DAP | 0.65 | 0.30 | -0.16 |
HT | 0.25 | 0.75 | 0.0012 | |
VT | 0.63 | 0.45 | -0.14 |
DAP = Diameter at Breast Height; HT = Total height; VT = Total volume. Significant = p ≤ 0.05.
Clones with high correlation of SPAD with DAP and VT (clones 10 and 12) were recorded. This result suggests the possibility of finding a relationship between the chlorophyll content in the nursery and the growth variables in the field, which contribute as an aspect in the early selection of clones. However, care must be taken in the interpretation of these correlations since it is necessary to establish specific parameters for each species (Mattsson, 1996).
With the exception of the third group of clones, the value was always higher than 0.30 for the correlations between chlorophyll and the mensuration variables; the low values of correlations can be explained by the weak genetic expression at seedling level in nursery vs its performance in plantation (Ávila, 2013). The number of clones evaluated also influenced the estimation of the correlations, as well as what was mentioned regarding the genotype - environment interaction, including at the micro - site level (Puttonen, 1989, Mattsson, 1996). Some studies were conducted in controlled environment conditions (Mattsson, 1996; Karisson et al., 2002; Jansson et al., 2005), as well as in combinations of juvenile features in the nursery measurement (Jansson et al., 2005), which could increase the correlations with the development in the field. On the other hand, Jansson et al. (1998) suggest the need for genomic studies to identify the genes that regulate the growth of juveniles and adults. This confirms the complexity of trying to predict the behavior of genotypes in the field, first identifying variables - parameters - reliable indicators (Mattsson, 1996).
Conclusions
The reading of chlorophyll with the portable meter recorded the lowest coefficient of variation of all the variables studied, which suggests that it could provide consistent data. Clones 8 and 3 reached extreme values in the chlorophyll content and showed a more homogeneous behavior both in chlorophyll levels and in the correlation between SPAD-Chl-T. On average, for all genotypes of assessed Gmelina arborea, the SPAD-Chl-T correlation was 0.52, which is considered moderate for forest species.
The possibility of predicting laboratory chlorophyll content from portable meter readings is latent, using a linear regression model mainly for clones 8 and 10. Clones 10 and 12 achieved the highest correlations between SPAD with DAP and VT, which leaves open the possibility of being field performance variables that can be used to select early superior genotypes, from easily measured variables such as the chlorophyll determined with the portable meter in the nursery stage.
Finally, it is necessary to develop and validate a standardized methodology for obtaining chlorophyll content at early ages in melina clones, mainly due to the characteristics of the experimental material that is to be evaluated.
Acknowledgements
The authors are grateful for the support obtained by INISEFOR - UNA through the Projects "MEPROME: Improvement of the productivity of the clonal plantations of melina in agroforestry farms" and "Improvement of the capacity of forest producers" for the execution, technical monitoring and financing of the actual investigation. They extend their gratitude, as well, to the Plant Biotechnology Program of the UCR.
Conflict of interest
The authors declare no conflict of interests.
Contribution by author
Katherine Barrantes Madrigal: Chlorophyll data processing, writing of the manuscript, design of tables and figures; Carlos Ávila Arias: production of plants for their assessment, collection and analysis of information on growth of the species, writing of the manuscript and design of tables; Rafael Murillo Cruz: production of plants for evaluation, collection and analysis of information on growth of the species and writing of the manuscript; Laura Solís Ramos: sample collection and processing, generation of chlorophyll data and writing of the manuscript; Romano Porras Murillo: sample collection and processing, generation of chlorophyll data and writing of the manuscript; Pablo Herrera Vargas: sample collection and processing, generation of nitrogen data and writing of the manuscript.
References
Adebisi, M. A., M. F. Adekunle and O. A. Odebiyi. 2011. Effects of fruit maturity and pre-sowing water treatment on germinative performance of Gmelina arborea seeds. Journal of Tropical Forest Science. 23(4): 371-378.
Ávila A., C. E. 2013. Selección temprana de clones de Gmelina arborea Roxb. con base en su comportamiento fisiológico en vivero versus plantación, en el Pacífico Sur de Costa Rica. Tesis de Maestría. Escuela de Ingeniería Forestal. Instituto Tecnológico de Costa Rica. Cartago, Costa Rica.126 p.
Ávila A., C., O. Murillo G., D. Arias A., G. E. Flores H., R. Murillo C and W. Hernández C. 2015. Photosynthetic behavior of Gmelina arborea Roxb. genotypes at 15-months-old plantation, South Pacific of Costa Rica. International Journal of Applied Science and Technology 5(4): 79-93.
Ávila A., C., O. Murillo, D. Arias and R. Murillo. 2016. Early selection potential of Gmelina arborea Roxb. clones based on physiological correlations of their nursery-field behavior. International Journal of Applied Science and Technology 6(1): 112-124.
Balcorta, H. y J. Vargas. 2004. Variación fenotípica y selección de árboles en una plantación de melina (Gmelina arborea Linn., Roxb.) de tres años de edad. Revista Chapingo Serie Ciencias Forestales y del Ambiente 10 (1): 13-19.
Balzarini, M. G., L. González, M. Tablada, F. Casanoves, J. A. Di Rienzo y C. W. Robledo. 2008. Infostat. Manual del Usuario. Editorial Brujas. Córdoba, Argentina. 336 p.
Barrios, E. J., C. López C., J. Kohashi S., J. A. Acosta G., S. Miranda C. y N. Mayek P. 2011. Avances en el mejoramiento genético del frijol en México por tolerancia a temperatura alta y a sequía. Revista Fitotecnia Mexicana 34 (4): 247-255.
Calvo A., J., D. Arias A., C. Jiménez-Rodríguez y J. C. Solano-Montero. 2008. Efecto de cinco sustratos en el contenido foliar de nutrientes y crecimiento inicial de tres especies forestales empleadas en Mesoamérica. Revista Forestal Mesoamericana Kurú 5 (14): 1-15.
Chang, S. and D. Robinson. 2003. Nondestructive and rapid estimation of hardwood foliar nitrogen status using the SPAD-502 chlorophyll meter. Forest Ecology and Management 181(3): 331-338.
Chazdon, R. L. y R. Montgomery. 2002. La adquisición de carbono en las plantas. In: Guariguata, M. R. y G. H Kattan (eds.). Ecología y conservación de bosques Neotropicales Libro Universitario Regional. Editorial Tecnológica. Cartago, Costa Rica. pp. 225-249.
Codesido, V., R. Zas and J. Fernández. 2012. Juvenile – mature genetic correlations in Pinus radiata D. Don. under different nutrient x water regimes in Spain. European Journal of Forest Research 131(2): 297-305.
Corcuera, L., C. Maestro y E. Notivol. 2005. La ecofisiología como herramienta para la selección de clones más adaptados y productivos en el marco de una selvicultura clonal con chopos. Investigaciones Agrarias: Sistemas y Recursos Forestales 14(3): 394-407.
Crespo, S., A. L. Moreno Ch., A. Rojas and L. M. Melgarejo. 2011. Principal component analysis of changes due to water stress for some osmolytes, pigments and antioxidant enzymes in Gmelina arborea Roxb. leaves from trees planted in northern Colombia. Journal of the Brazilian Chemical Society 22(12):2275- 2280 http://dx.doi.org./10.1590/S0103-50532011001200006.
Díaz, C. 2014. Evaluación del dispositivo portátil Spad-502 como indicador de la concentración de nitrógeno en plantas de café Coffea arabica. Tesis de Maestría. Universidad Tecnológica de Pereira. Pereira, Colombia. 103 p.
Eriksson, G., A. Jonsson, I. Dormling, L. Norell and L. G. Stener. 1993. Retrospective early tests of Pinus sylvestris L. seedlings grown under five nutrient regimes. Forest Science 39: 95–117.
Gonçalves, J. F. D. C., U. M. dos Santos Junior and E. A. da Silva. 2008. Evaluation of a portable chlorophyll meter to estimate chlorophyll concentrations in leaves of tropical wood species from Amazonian forest. Hoehnea 35(2): 185-188.
Goswami, S. and S. K. Tewari. 2011. Growth characteristics, protein and chlorophyll content in multipurpose trees at early stage in Tarai Region of Uttarakhand-II. Journal of Tree Sciences 30 (12):46-53.
Harfouche, A. 2003. Retrospective early test for adult vigor of Pinus pinaster families grown under two water regimes. Implications for early selection. Annals of Forest Science 60 (6): 539-547.
Holdridge, L. R. 1967. Life Zone Ecology. Tropical Science Center. San José, Costa Rica. 149 p.
Horneck, D. A. and R. O. Miller. 1998. Determination of total nitrogen in plant tissue. In: Kalra, Y. P. (ed.): Handbook of reference methods of plant analysis. CRC Press. Boca Raton, FL USA. pp. 75-85.
Instituto Nacional de Estadística y Censos (INEC). 2015. Resultados Generales. VI Censo Nacional Agropecuario. San José, Costa Rica: Instituto Nacional de Estadística y Censos. pp. 146. http://www.mag.go.cr/bibliotecavirtual/a00338.pdf (15 de marzo de 2017).
InfoStat. 2015. InfoStat Ver. 2015. Grupo InfoStat. Universidad Nacional de Córdoba. Córdoba, Argentina. s/p.
Jansson, G., A. Jonsson and G. Eriksson. 1998. Efficiency of early testing in Pinus sylvestris L. grown under two different spacings in growth chamber. Silvae Genet 47:298–306.
Jansson, G., A. Jonsson and G. Eriksson. 2005. Use of trait combinations for evaluating juvenile–mature relationships in Picea abies (L.) H. Karst. Tree Genetics & Genomes (1): 21-30.
Kappelle, M., M. Castro, L. Acevedo y H. Monge. 2002. Ecosistemas del Área de Conservación OSA (ACOSA). INBio. Heredia, Costa Rica. 496 p.
Kumar, A. 2007. Growth performance and variability in different clones of Gmelina arborea (Roxb.). Silvae Genetica 56: 32-36.
Lichtenthaler, H. K. 1987. Chlorophylls and carotenoids: pigments of photosynthetic biomembranes. Methods in Enzymiology 148: 35-382.
Mattsson, A. 1996. Predicting field performance using seedling quality assessment. New Forest 13: 223–248.
Mustafa, N., N. Ya’acob, Z. Abd Latif and A. L. Yusof. 2015. Quantification of oil palm tree leaf pigment (chlorophyll a) concentration based on their age. Jurnal Teknologi 75 (11):129-134.
Naus, J., J. Prokopová, J. Rebícek and M. Spundová. 2010. SPAD chlorophyll meter reading can be pronouncedly affected by chloroplast movement. Photosynthesis Research 105(3): 265-271.
Neufeld, H. S., A. H. Chappelka, G. L. Somers, K. O. Burkey, A. W. Davison and P. L. Finkelstein. 2006. Visible foliar injury caused by ozone alters the relationship between SPAD meter readings and chlorophyll concentrations in cut leaf coneflower. Photosynthesis Research 87(3): 281-286.
Osorio, L. 2004. Provenance results of Gmelina arborea in southwest Colombia at three years of age. New Forest 28(2-3): 179-185.
Pinkard, E. A., V. Patel and C. Mohammed. 2006. Chlorophyll and nitrogen determination for plantation-grown Eucalyptus nitens and E. globulus using a non-destructive meter. Forest Ecology and Management 223(1): 211-217.
Puttonen, P. 1989. Criteria for using seedling performance potential tests. New Forest 3: 67-89.
Rakocevic, M., J. A. Sturion., M. J. Medrado S., O. J. Lavoranti, S. H. Mosele e A. T. Valduga. 2005. Propriedades ecofisiológicas e produtivas como ferramenta para melhoramento genético de erva-mate (Ilex paraguariensis St. Hil.). Pesquisa Florestal Brasileira 51: 109-130
Richardson, A. D., S. P. Duigan and G. P. Berlyn. 2002. An evaluation of noninvasive methods to estimate foliar chlorophyll content. New Phytologist 153(1): 185-194.
Rincón, A. y G. Ligarreto. 2010. Relación entre nitrógeno foliar y el contenido de clorofila, en maíz asociado con pastos en el Piedemonte Llanero colombiano. Revista Corpoica Ciencia y Tecnología Agropecuaria 11: 122-128.
Rodríguez, M., G. Alcántar, A. Aguilar, J. Etchevers y J. Santizó.1998. Estimación de la concentración de nitrógeno y clorofila en tomate mediante un medidor portátil de clorofila. Terra 16 (2): 135-141.
Rojas, A., L. Moreno, L. Melgarejo and M. Rodríguez. 2012. Physiological response of melina (Gmelina arborea Roxb.) to hydric conditions of the Colombian Caribbean. Agronomía Colombiana 30(1): 52-58.
Silla, F., A. González G., M. E. González M., S. Mediavilla and A. Escudero. 2010. Estimation of chlorophyll in Quercus leaves using a portable chlorophyll meter: effects of species and leaf age. Annals of Forest Science 67(1): 108, 7 p. https://link.springer.com/article/10.1051/forest/2009093.
Uddling, J., J. Gelang-Alfredsson, K. Piikki and H. Pleijel. 2007. Evaluating the relationship between leaf chlorophyll concentration and SPAD-502 chlorophyll meter readings. Photosynthesis Research 91(1): 37-46.
Umazi, A., S. Alyegba and K. Sunday. 2016. An assessment of leaf chlorophyll concentration of afforestation tree species in South-Eastern, Nigeria. Journal of Forest and Environmental Science 32(2): 205-211.
Van den Berg, A. K. and T. D. Perkins. 2004. Evaluation of a portable chlorophyll meter to estimate chlorophyll and nitrogen contents in sugar maple (Acer saccharum Marsh.) leaves. Forest Ecology and Management 200(1): 113-117.
Wang, Y. Z., W. Hong, C. Z. Wu., W. Lin, H. L. Fan, C. Chen and J. Li. 2009. Variation of SPAD values in uneven-aged leaves of different dominant species in Castanopsis carlessi forest in Lingshishan National Forest Park. Journal of Forestry Research 20 (4): 362-366.
Wee, A., C. Li. and W. Dvorak. 2012. Genetic diversity in natural populations of Gmelina arborea, implications for breeding and conservation. New Forest 43: 411-428.
All the texts published by Revista Mexicana de Ciencias Forestales–with no exception– are distributed under a Creative Commons License Attribution-NonCommercial 4.0 International (CC BY-NC 4.0), which allows third parties to use the publication as long as the work’s authorship and its first publication in this journal are mentioned.