Revista Mexicana de Ciencias Forestales Vol. 13 (71)

Mayo – Junio (2022)

Logotipo, nombre de la empresa

Descripción generada automáticamente

DOI: https://doi.org/10.29298/rmcf.v13i71.1238

Artículo de Investigación

 

Modelación hidráulica en Iber para prevención de inundaciones en la cuenca Tesechoacán

Hydraulic modeling in Iber for flood prevention in the Tesechoacán river basin

 

Jesús Valentín Gutiérrez García1, Juan Enrique Rubiños Panta2*, Demetrio Salvador Fernández Reynoso2, Carlos Ramírez Ayala2, Rodrigo Roblero Hidalgo3, Francisco Gerardo Gutiérrez García4, Martín Enrique Romero Sánchez1

 

Fecha de recepción/Reception date: 4 de diciembre de 2021

Fecha de aceptación/Acceptance date: 5 de abril de 2022

_______________________________

1Centro Nacional de Investigaciones Disciplinarias en Conservación y Mejoramiento de Ecosistemas Forestales, INIFAP. México.

2Hidrociencias, Colegio de Postgraduados, Campus Montecillo. México.

3Instituto Mexicano de Tecnología del Agua, IMTA. México.

4Universidad Autónoma Chapingo. México.

 

*Autor para correspondencia; correo-e: jerpkike@colpos.mx

*Corresponding author; e-mail: jerpkike@colpos.mx

Resumen

La modelación de cuencas para el análisis hidráulico requiere estimar o contar con información de hidrogramas para utilizarlos como herramientas fundamentales para el estudio de inundaciones en épocas de crecidas o eventos extremos. En ese sentido, en el presente trabajo se realizó una modelación hidráulica 2D en Iber, con datos del huracán Matthew en el periodo del 26 de septiembre al 1 de octubre del 2010, para identificar y cuantificar las zonas con alta peligrosidad de inundación en la subcuenca Tesechoacán y, con ello, generar propuestas que ayuden a mitigar el impacto de acontecimiento futuros. Los resultados indicaron una superficie de 29 027.24 ha inundadas, con tirantes de hasta 7.45 m. También, se identificó que las zonas de mayor superficie con presencia de escurrimientos fueron las de pastizal cultivado y de agricultura, las cuales representaron 80.89 % del área total. En el mapa de peligrosidad, se observaron 33 localidades afectadas; de ellas, 56.9 % se catalogaron como zonas de peligrosidad alta. Debido a la poca información disponible, la validación del modelo se realizó mediante la comparación espacial de la llanura de inundación que se obtuvo en el modelo Iber, con una imagen SPOT 4 (HRVIR 1). El resultado fue una buena concordancia entre el modelo y la imagen de satélite. Finalmente, se propone para el control de inundaciones, el desazolve y la construcción de bordos marginales. Con base en la simulación realizada, la primera es una opción para disminuir hasta en 71 % el impacto de inundaciones en la subcuenca Tesechoacán.

Palabras clave: Avenidas, cuenca, hidrogramas, Iber, modelo, peligrosidad.

Abstract

Watershed modelling for hydraulic analysis is necessary to estimate or have information from hydrographs to be used as basic tools for studying floods in particular times or extreme events. In the present work, a 2D hydraulic modelling was carried out in Iber with data of the Hurricane Matthew event from September 26th to October 1st, 2010, seeking to identify and quantify the areas with a high risk of flooding in the Tesechoacán river basin, and providing some proposals that could reduce the impact for future events. Results show a surface area of 29 027.24 ha was flooded with tie rods up to 7.45 m. The areas with the largest runoff surface area are cultivated pasture and agriculture, representing 80.89 % of the total area. According to the generated hazard map, 33 localities were affected, with 56.9 % classified as highly hazardous areas. Due to the little information available, the validation of the model was carried out using the spatial comparison of the margins of the floodplain obtained in Iber with a SPOT 4 image (HRVIR 1), observing good agreement between the model and the satellite image. The following measures are proposed for flood control: dredging and the construction of marginal borders. This last concept was an option to consider because it reduces up to 71 % of the impact of floods in the Tesechoacán sub-basin.

Key words: Avenues, basin, hydrographs, Iber, model, dangerousness.

 

Introducción

 

 

Los modelos de circulación climática global proyectan eventos de temperatura y lluvias más intensos que los observados (Trenberth, 2011). Los efectos del cambio climático son más notables en los países en desarrollo, particularmente, en las comunidades asentadas en zonas de riesgo (González-Gaudiano, 2007). Los desastres naturales representan una amenaza tanto para la estabilidad económica a corto plazo como para el desarrollo sostenible (Benson et al., 2007).

México está ubicado en una región intertropical con condiciones orográficas que lo convierten en un territorio vulnerable ante afectaciones climáticas; de ellas, los desastres de origen hidrometeorológico son los que provocan la mayor cantidad de daños y pérdidas (Cenapred, 2019), y entre ellos, las inundaciones son los responsables de más afectaciones en la historia de la humanidad (Galbán, 2020).

El Banco Mundial (2017), señala que en años excepcionales como 1998 y 2010, los daños ocasionados por inundaciones superaron los 40 billones de dólares. Asimismo, se prevé que en las próximas décadas con el cambio climático, la urbanización y el crecimiento demográfico, el impacto de las inundaciones costeras, fluviales y pluviales, aumentará considerablemente. Sin embargo, existe la creciente tendencia mundial por ocupar áreas con riesgo de inundación para asentamientos urbanos (Borzi et al., 2020).

Las medidas para el control de inundaciones se clasifican en estructurales y no estructurales. El objetivo de las primeras es evitar o reducir los daños provocados por una inundación, mediante la construcción de obras planeadas y diseñadas cuidadosamente. Las segundas, se basan en la planeación, organización, coordinación y ejecución de una serie de ejercicios de Protección Civil que buscan evitar o disminuir los daños causados por las inundaciones (Salas-Salinas, 2014).

El aprendizaje histórico muestra que es importante conocer de manera oportuna, el comportamiento de los escurrimientos para evitar sucesos hidrológicos catastróficos. Para cuantificar los impactos de las estrategias de manejo en cuencas hidrográficas, se utilizan modelos que evalúan los recursos hídricos y el grado de protección del ambiente (Mankin et al., 1999; Rudra et al., 1999).

En los últimos años, la modelación numérica de flujos superficiales libres ha experimentado un rápido desarrollo, mediante la utilización de varios modelos para la simulación (Hafnaoui y Debabeche, 2021); tal es el caso de FLO-2D, DSS-WISE, TELEMAC, INFO Works, LISFLOOD-FP y Flood Modeller Pro oportunamente descritos con sus limitantes y ventajas en Teng et al. (2017).

Existen algunos modelos de oferta creciente como HEC RAS 2D e Iber 2D, que destacan por su accesibilidad y funcionamiento bajo el esquema de software de acceso libre. Iber se describe como un modelo matemático bidimensional para la simulación del flujo en ríos y estuarios, en el cual se utiliza el método de volúmenes finitos para solucionar las ecuaciones 2D de Saint Venant (Bladé et al., 2014). Para resolverlo, se requiere una geometría con rugosidad de fondo, unas condiciones iniciales y otras condiciones de contorno (Iber, 2014). Iber es un modelo numérico de simulación de flujo turbulento en lámina libre, en régimen no permanente, y de procesos medioambientales en hidráulica fluvial. Su intervalo de aplicación incluye la hidrodinámica fluvial, la simulación de rotura de presas, la evaluación de zonas inundables, el cálculo de transporte de sedimentos y el flujo de marea en estuarios (Bladé et al., 2014; Cea y Bladé, 2015).

El modelo Iber permite definir geometrías de estructuras y tramos de canales de forma relativamente sencilla para ejemplificar, de manera directa, en clase situaciones de flujo unidimensionales y bidimensionales con la ventaja de apoyarse en métodos numéricos, lo que permite iniciar el uso de herramientas de dinámica de fluidos computacional (CFD) de una manera agradable y muy intuitiva (Cueva-Portal et al., 2021). Parte de la información requerida para la modelación incluye la determinación el coeficiente de Manning, que representa la resistencia al flujo de agua en cauces sobre las llanuras de inundación; el valor es más alto cuando existe mayor rugosidad en la superficie de contacto con el flujo (Kumar-Parhi, 2013). En este contexto, el presente estudio evalúa la subcuenca del río Tesechoacán mediante la modelación hidrodinámica 2D en Iber versión 2.5 (Iber, 2019); para identificar y cuantificar las zonas con alta peligrosidad de inundación, e indicar algunas propuestas que prevengan y reduzcan su impacto.

 

 

Materiales y Métodos

 

 

Área de estudio

 

 

El río Tesechoacán es uno de los principales afluentes de la cuenca del Papaloapan, la cual forma parte de la Región Hidrológica 28-B y está dividida en 24 subcuencas hidrográficas; la del río Tesechoacán comprende la confluencia de los ríos Playa Vicente y Manso, hasta donde se localiza la estación hidrométrica 28 136 (Garro). Está ubicada en los estados de Veracruz (90.8 %) y Oaxaca (9.2 %) e integra siete municipios (Figura 1), con una población de 355 250 habitantes.

 

 

Figura 1. Ubicación de la subcuenca Tesechoacán.

 

Características geomorfológicas de la subcuenca

 

 

La delimitación de la subcuenca se llevó a cabo mediante el uso de modelos digitales de elevación del Continuo de Elevaciones Mexicano 3.0 (CEM 3.0) del Instituto Nacional de Estadística y Geografía (Inegi). Se utilizó la información vectorial de las cartas: E15A72, E15A81, E15A82, E15C11, E15C12 y E15C21 a escala 1:10 000 (Inegi, 2018). La red de drenaje escala 1:50 000 se obtuvo del Simulador de Flujos de Agua de Cuencas Hidrográficas (SIATL) de Inegi (2019). Los datos ráster se procesaron dentro del ambiente del software ArcGIS versión 10.1 con la herramienta ArcSwat versión 2012.

Información de la cuenca. El polígono, así como la información del área, perímetro y red de drenaje de las subcuencas se obtuvieron con la herramienta de ArcSwat en ArcGIS 10.1 en forma automática. Mediante el procesamiento de los Conjuntos de Datos Vectoriales de Uso del Suelo y Vegetación escala 1:250 000 - Serie V (Conjunto Nacional) de Inegi, se generó el mapa de cobertura que sirvió de base para la obtención del parámetro de coeficiente de Manning para la simulación en el modelo Iber, esto como parte de los parámetros de entrada requeridos.

Información batimétrica del cauce principal. Fue proporcionada por el Organismo de Cuenca Golfo Centro, con levantamientos topográficos encomendados por la Comisión Nacional del Agua (Conagua) del “Estudio topográfico en los ríos Papaloapan, Obispo, San Juan Evangelista y Tesechoacán” en el 2011.

Información hidrométrica. Se obtuvo información de la estación hidrométrica 28 143 (San José Chilapa), ubicada en la parte alta de la subcuenca (17°47'60.00" N, 95°51'20.03" O). Los datos usados para el escenario de interés corresponden al evento del huracán Matthew del 26 de septiembre al 1 de octubre del 2010. La información del hidrograma impuesto en el río aguas arriba para la condición de entrada del cauce principal. Se utilizaron los datos de la estación 28 143 correspondientes al periodo de 1974-2014; lo anterior para conocer los impactos de los escurrimientos en la parte media y baja de la cuenca, y compararlos con la imagen de satélite disponible.

 

 

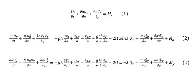
Modelación hidráulica en Iber

 

 

La modelación hidráulica de la subcuenca se realizó con el apoyo del software Iber versión 2.5. En el módulo hidrodinámico, que constituye la base de Iber, se resuelven las ecuaciones de aguas someras bidimensionales promediadas en profundidad (ecuaciones de St. Venant 2D) (Bladé et al., 2014; Cea y Bladé, 2015).

 

     

  

Donde

 

Geometría de la malla en Iber. Como primer paso, se importó el polígono que delimita la cuenca y los cauces del río y afluentes principales del río Tesechoacán generados en Qgis 3.6. A continuación, se procedió a colapsarlo, lo cual consistió en unir las líneas y puntos que tenían duplicidad.

Condiciones de contorno. Se asignó una condición de entrada en la parte alta del cauce principal, para ello se ingresó el caudal total e introdujeron los valores del hidrograma base (Figura 2), con un total de 134 horas para la simulación en Iber. Además, se identificó la salida de agua y se seleccionó la condición del flujo “supercrítico/crítico” (Bladé, 2014).

 

Figura 2. Hidrograma registrado durante el huracán Matthew del 2010.

 

Condiciones iniciales. Se asignó la condición inicial con base en un tirante con valor de cero.

Rugosidad. Los coeficientes de Manning y claves utilizadas en la asignación en el modelo Iber, fueron los propuestos por Chow et al. (1994), se muestran en el Cuadro 1.

 

Cuadro 1. Coeficientes de rugosidad de Manning.

Uso de suelo

Clave

Coeficiente de Manning

Pastizal cultivado

PC

0.030

Agricultura de temporal

TA

0.035

Corrientes de agua

CA

0.025

Tular

VT

0.070

Acumulaciones de agua

Ac

0.040

Agricultura semipermanente

TS

0.040

Vegetación secundaría

VS

0.035

Asentamientos humanos

AH

0.020

Zonas urbanas

ZU

0.015

 

Generación de la malla. Para realizar la simulación, fue necesario crear una malla de cálculo en función de la geometría. El tamaño de asignación por superficie fue de 7 m para el cauce principal y 70 m para la llanura de inundación para una geometría no estructurada. Generada la malla, se asignó la altitud a partir del modelo digital de elevación. Para la topografía y una mejor definición del cauce principal, se usó la información batimétrica del estudio realizado por la Conagua en el 2011.

Datos de simulación. Se ingresó una simulación de 31 horas de duración con resultados cada 15 minutos. Dentro del mismo apartado, se indicó que el software proporcionara la peligrosidad en el apartado de resultados con la finalidad de generar los mapas correspondientes. El criterio utilizado para la presente investigación y en la que el modelo Iber se basa para graficar el mapa de peligrosidad utilizando la metodología española ACA (BOE, 2008), se muestra en la Figura 3 (Iber,2019).

 

Figura 3. Criterios de riesgo en función del tirante y velocidad del agua (Iber, 2019).

Con base en las simulaciones generadas, se realizaron los análisis de resultados para identificar las zonas de inundación, tirantes, velocidad y zonas de desborde.

 

 

Validación del modelo

  

La superficie de inundación se validó con imágenes satelitales disponibles para el periodo por simular. Se obtuvo una imagen SPOT 4 (HRVIR 1) de cuatro bandas multiespectrales (R, G, NIR y MIR), con resolución a 20 m, para el 10 de octubre de 2010, a la cual se le realizó una corrección geométrica en Qgis 3.6 para transponer la imagen a la proyección cartográfica requerida.

 

 

Resultados y Discusión

 

 

Características geomorfológicas de la subcuenca

 

 

En el Cuadro 3 se muestran los resultados de la delimitación de la subcuenca con la herramienta ArcSwat en Arcgis 10.1.

 

Cuadro 3. Información general de la cuenca del río Tesechoacán.

Características de la cuenca

Río Tesechoacán

Área de la cuenca (Ac) (km2)

1 591.56

Perímetro de la cuenca (Pc) (km)

408.48

Longitud del cauce principal (Lc) (km)

143.97

Pendiente media de la cuenca (%)

8.98

Altitud media de la cuenca (Em) (msnm)

52.09

Pendiente media del cauce (S) (%)

0.04

 

 

Modelación hidráulica en Iber

 

 

Los resultados de la simulación del huracán Matthew en el periodo del 26 de septiembre al 1 de octubre del 2010 se presentan en la Figura 4.

 

Figura 4. Áreas inundadas (a) y mapa de peligrosidad de la subcuenca (b).

 

La superficie total con escurrimientos (Figura 4a) fue de 29 027.24 ha con registros de tirantes de inundación de hasta 7.45 m en el cauce principal y, en menor medida, en la llanura de inundación. Respecto al mapa de peligrosidad (Figura 4b), 6.1 % del área se clasificó con peligrosidad baja, 37 % media y 56.9 % alta.

Las afectaciones por superficie se exhiben en el Cuadro 3, las cuales consideraron como marco de referencia la clasificación utilizada por Inegi. El 2010 se caracterizó por la presencia de tres huracanes: Alex, Karl y Matthew, con daños económicos de 7 253 millones de dólares, 64 muertes y un millón de personas afectadas en los estados donde tuvo impacto (Rodríguez, 2012; Cenapred, 2019). En años recientes, estos fenómenos hidrometeorológicos son los que han ocasionado los desastres con mayor impacto en cuanto a pérdida de vidas humanas (Guha-Sapir et al., 2015) y costos económicos (Larios-Tlalli et al., 2015).

 

Cuadro 3. Superficie con presencia de escurrimientos por categoría

Descripción

Clave

Superficie (ha)

Porcentaje (%)

Pastizal cultivado

PC

12 909.36

44.47

Agricultura de temporal semipermanente

TS

6 964.04

23.99

Vegetación secundaria arbórea de selva alta perennifolia

VSA/SAP

3 795.5

13.08

Agricultura de temporal anual y semipermanente

TAP

1 707.5

5.88

Vegetación secundaria arbustiva de selva alta perennifolia

VSa/SAP

1 357.39

4.68

Agricultura de temporal semipermanente y permanente

TSP

775.86

2.67

Agricultura de temporal permanente

TP

515.76

1.78

Agricultura de temporal anual

TA

344.64

1.19

Agricultura de humedad anual

HA

263.04

0.91

Cuerpos de agua

H2O

257.47

0.89

Asentamientos humanos

AH

136.69

0.47

Total

 

29 027.24

100

 

 

 

De las 136.69 ha que corresponden a asentamientos humanos, se tuvo presencia de escurrimientos en 33 localidades; las de mayor superficie fueron: Playa Vicente (19.68 ha), El Marcial (El Coyolar; 17.31 ha), El Maguey (15.61 ha), El Mosquito (10.57 ha), La Candelaria (10.04 ha), El Carrizal (Majahual; 7.29 ha) y Villa Azueta (7.25 ha).

 

 

Validación del modelo

 

 

Como lo señalan Alarcón et al. (2020), el principal problema de este tipo de modelos es que requieren de información específica y de difícil acceso en México. Sin embargo, se buscó validar en forma espacial mediante la comparación de algunas de las zonas inundadas de la simulación en el modelo Iber como se muestra en la Figura 5, con respecto a la llanura de inundación a partir de la única imagen satelital (SPOT4) disponible cercana a la fecha del evento.

 

Figura 5. Validación espacial del modelo con apoyo de una imagen satelital. 

 

La comparación se realizó con el margen de la inundación delimitada en la imagen, con respecto a los resultados del modelo sobre la inundación estimada (Figura 6). Con base en la delimitación de la superficie inundada, a partir de la imagen de satélite, se tuvo un total de 34 276.05 ha con presencia de escurrimientos, con una diferencia de 5 248.81 ha (15.31 %), respecto a lo simulado.

 

 

Figura 6. Llanura de inundación observada versus inundación simulada.

 

Se observó un alto porcentaje de nubosidad en la imagen de referencia; sin embargo, los márgenes de la llanura de inundación en relación a la simulación en Iber registraron gran similitud (84.69 %). En la parte baja existió una diferencia notable entre el área de inundación en la imagen con respecto a la simulada, debido principalmente a que al momento de realizarse la delimitación del parteaguas en ArcSwat se consideró como referencia de la parte más alta una carretera; lo anterior causó que el polígono presentara la forma observada en el cierre de la subcuenca baja (Figura 6).

 

 

Medidas para el control de inundaciones

 

 

Con base en los resultados de la modelación hidráulica y las alternativas de solución estructurales y no estructurales clasificadas por Conagua (2011), se sugiere como medida no estructural la generación de los mapas de peligrosidad y zonas susceptibles de inundación. Respecto a las estructurales, se propone el desazolve y limpieza de cauces en las principales zonas erosionadas. Para ello, se llevó a cabo una simulación en la que se propuso la modificación del cauce con desazolve de 2 m y una ampliación en los márgenes de 50 % del ancho a lo largo de 113.250 km del cauce. Además, se sugirió hacer un dique con corona rectangular. El resultado se muestra en la Figura 7a.

 

Figura 7. Propuestas de desazolve (a) y bordos marginales (b).

 

La superficie total con escurrimientos con la modificación del cauce fue de 8 268.81 ha resultó en una reducción de 71 % del área inundada en la simulación del huracán Matthew del 2010, por lo que es una alternativa para disminuir las inundaciones de las zonas bajas.

Como medida complementaria al desazolve, se propuso la construcción de bordos marginales en las zonas que se encuentran a las orillas del cauce. Se utilizó la herramienta de dibujo del modelo Iber para generar el polígono de vía de intenso desagüe (VID) como se muestra en la Figura 7b; esta acción se aplicó en las localidades de Playa Vicente, Villa Azueta, Tesechoacán, Garro, Isla, Matilla de Caña, Cujuliapan, Las Cadenas, La Gloria, San Jerónimo y poblaciones ubicadas al margen del río Tesechoacán, debido a que en esas zonas no fue posible ampliar los márgenes a 50 % del ancho del cauce. Asimismo, se recomienda el mantenimiento y protección de los bordos establecidos después de las inundaciones del 2010.

 

 

Conclusiones

 

 

Con el Modelo Iber se generaron los mapas con las zonas vulnerables a inundaciones; se observa una variación de la profundidad del agua, con tirantes de hasta 7.45 m, principalmente, donde la pendiente es menor a 3 %. El mapa de riesgo presenta un valor máximo de 29 027.24 ha afectadas por inundación; de ellas, 56.9 % pertenece a zonas catalogadas con peligrosidad alta.

La modificación del cauce se realizó directamente en la malla generada con el modelo Iber mediante la opción “Dique”, en la que se considera como opción viable el desazolve, debido a que en la simulación para el huracán Matthew del 2010 con la ampliación de los márgenes en 50 %, resulta en una reducción de 71 % del área inundada, además de que se puede trabajar a la par con las obras de construcción de bordos por la disposición del material natural.

Referente a la validación, la comparación de las llanuras de inundación tiene 84.69 % de coincidencia en la superficie con presencia de escurrimientos simulados, respecto a la observada en la imagen de referencia. El uso de imágenes satelitales demuestra ser una opción viable para observar la llanura de inundación, cuando no se tiene información suficiente para realizar la validación estadística correspondiente.

Una recomendación importante es considerar la reforestación y realización de obras de conservación de suelo en la parte alta de la cuenca como alternativas de prevención; sin embargo, previamente se considera fundamental hacer estudios sobre los cambios de cobertura en los ecosistemas forestales y sus efectos en los servicios de regulación hidrológica en la parte alta de la cuenca Papaloapan. Esto con la finalidad de conocer los impactos generados por tales modificaciones.

 

 

Agradecimientos

 

Los autores agradecen al Conacyt, Colpos, Conagua y al Organismo de Cuenca Golfo Centro por la información batimétrica proporcionada del río Tesechoacán.

 

Conflicto de intereses

 

Los autores declaran no tener conflicto de intereses.

 

Contribución por autor

 

Jesús Valentín Gutiérrez García: supervisión del análisis de datos y redacción de manuscrito original; Juan Enrique Rubiños Panta: revisión de metodología y redacción del manuscrito; Demetrio Salvador Fernández Reynoso: análisis de información y redacción del manuscrito; Carlos Ramírez Ayala: revisión de información y redacción del manuscrito; Rodrigo Roblero Hidalgo: seguimiento y análisis de resultados y revisión del manuscrito; Francisco Gerardo Gutiérrez García: revisión y redacción del manuscrito; Martín Enrique Romero Sánchez: revisión y corrección del manuscrito.

 

Referencias

 

Alarcón N., A., J. Chávez M., O. L. Palacios V. y L. A. Ibáñez C. 2020. Estimación de áreas vulnerables a inundaciones en zonas urbanas: Morelia, Michoacán, México. Tecnología y Ciencias del Agua 11(3):01-26. Doi: 10.24850/j-tyca-2020-03-01.

Banco Mundial. 2017. Medidas de protección contra inundaciones basadas en la naturaleza: Principios y orientaciones para la implementación. Ed. Banco Mundial. Washington, DC, USA. 32 p.

Benson, C., J. Twigg y R. Tiziana. 2007. Herramientas para la integración de la reducción del riesgo de desastres: notas de orientación para organizaciones de desarrollo. Ed. Federación Internacional de Sociedades de la Cruz Roja y de la Media Luna Roja y ProVention Consortium. Ginebra, Suiza. 200 p.

Bladé, E., L. Cea, G. Corestein, E. Escolano, J. Puertas, E. Vázquez-Cendón, J. Dolz y A. Coll. 2014. Iber: herramienta de simulación numérica del flujo en ríos. Revista Internacional de Métodos Numéricos para Cálculo y Diseño en Ingeniería 30(1):1-10. DOI: 10.1016/j.rimni.2012.07.004.

Boletín Oficial del Estado (BOE). 2008. Real Decreto 9/2008, de 11 de enero, por el que se modifica el Reglamento del Dominio Público Hidráulico, aprobado por el Real Decreto 849/1986, de 11 de abril. Ministerio de la Presidencia. Madrid, España. https://www.boe.es/eli/es/rd/2008/01/11/9. (15 de diciembre de 2020).

Borzi, G. E., F. Cellone, C. Tanjal, E. Melendi y E. Carol. 2020. Propuesta metodológica para el estudio de inundaciones en áreas de llanura con escasez de información. Revista DYNA 87(215):221–228. Doi: 10.15446/dyna.v87n215.85140.

Cea, L. and E. Bladé. 2015. A simple and efficient unstructured finite volume scheme for solving the shallow water equations in overland flow applications. Water Resources Research 51(7):5464-5486. Doi: 10.1002/2014WR016547.

Centro Nacional de Prevención de Desastres (Cenapred). 2019. Impactos socioeconómicos de los principales desastres ocurridos en México. Secretaría de seguridad y protección ciudadana. Ed. Centro Nacional de Prevención de Desastres. México, D. F., México. 232 p.

Chow, V., D. R. Maidment y L. W. Mays. 1994. Hidrología Aplicada. Ed. Mc Graw Hill. Santafé de Bogotá, Colombia. 584 p.

Comisión Nacional del Agua (Conagua). 2011. Manual para el control de inundaciones. Ed. Secretaría de Medio Ambiente y Recursos Naturales. Tlalpan, D. F., México. 388 p.

Cueva-Portal, M. H., J. E. Cañon-Barriga and L. Cea. 2021. The use of Iber as learning tool for two-dimensional channel flow analysis. Revista Educación En Ingeniería 16(31):72-78. Doi: 10.26507/rei.v16n31.1126.

Galbán R., L. 2020. Inundaciones. Desafío de la naturaleza. Elementos teórico metodológicos sobre las inundaciones y su evaluación de riesgos. Serie: Prevención de riesgos y desastres (Núm.2). Ed. Kobo Writing Life. Santiago de Cuba, Cuba. 539p.

González-Gaudiano, E. 2007. Educación y cambio climático: un desafío inexorable. Trayectorias IX(25):33-44. https://www.redalyc.org/articulo.oa?id=60715120005. (5 de octubre de 2021).

Guha-Sapir, D., P. Hoyois and R. Below. 2015. Annual Disaster Statistical Review 2014. The numbers and trends. Ed. Centre for Research on the Epidemiology of Disasters (CRED), Institute of Health and Society (IRSS) and Université Catholique de Louvain. Bruselas, Bélgica. 54 p.

Hafnaoui, M. A. and M. Debabeche. 2021. Numerical modeling of the hydraulic jump location using 2D Iber software. Modeling Earth Systems and Environment 7(3):1939-1946. Doi: 10.1007/s40808-020-00942-3.

Iber. 2014. Modelización bidimensional del flujo en lámina libre en aguas poco profundas: Manual de referencia hidráulico. Ed. Ministerio de Medio Ambiente y Medio Rural y Marino, Grupo de Ingeniería del Agua y del Medio Ambiente, Dinámica Fluvial e Ingeniería Hidrológica (Flumen), Centro de estudios y experimentación de obras públicas (CEDEX) y Centro Internacional de Métodos Numéricos en Ingeniería (CIMNE). España. 59 p. https://iberaula.es/space/54/downloads. (1 de marzo de 2018).

Iber. 2019. Modelo Iber 2.5.2. España. http://www.Iberaula.es (15 de abril de 2019).

Instituto Nacional de Estadística y Geografía (Inegi) 2018. Modelos Digitales de Elevación (MDE). México. https://www.inegi.org.mx/temas/relieve/continental. (28 de marzo de 2021).

Instituto Nacional de Estadística y Geografía (Inegi). 2019. Simulador de Flujos de Agua de cuencas Hidrográficas (SIATL). México. https://antares.inegi.org.mx/analisis/red_hidro/siatl/. (1 de enero de 2021).

Kumar-Parhi, P. 2013. HEC-RAS Model for Manning´s Roughness: A case study. Open Journal of Modern Hydrology 3(3):97-101. Doi: 10.4236/ojmh.2013.33013.

Larios-Tlali, H., E. Torres-Benites, A. Quevedo-Nolasco, M. R. Martínez-Menes y J. A. Salgado-Tránsito. 2015. Riesgo de inundación en la subcuenca del río La Antigua, Veracruz, México. Tecnología y ciencias del agua 6(3):39-56. http://www.scielo.org.mx/scielo.php?script=sci_arttext&pid=S2007-24222015000300004&lng=es&tlng=es. (5 de junio de 2021).

Mankin, K. R., J. K. Koelliker and P. K. Kalita. 1999. Watershed and lake water quality assessment: An integrated modeling approach. JAWRA Journal of the American Water Resources Association 35(5):1069-1080. Doi: 10.1111/j.1752-1688.1999.tb04194.x.

Rodríguez V., H. G. 2012. Inundaciones en zonas urbanas, medidas preventivas y correctivas, acciones estructurales y no estructurales. Tesis de Maestría. Facultad de Ingeniería, Universidad Nacional Autónoma de México. Cuernavaca, Morelos, México. 364 p.

Rudra, R. P., W. T. Dickinson, M. J. Abedini and G. J. Wall. 1999. A Multi-Tier Approach for Agricultural Watershed Management. JAWRA Journal of the American Water Resources Association 35(5):1159–1170. Doi: 10.1111/j.1752-1688.1999.tb04203.x.

Teng, J., A. J. Jakeman, J. Vaze, B. F. W. Croke, D. Dutta and S. Kim. 2017. Flood inundation modelling: A review of methods, recent advances and uncertainty Analysis. Environmental Modelling and Software 90:201-216. Doi: 10.1016/j.envsoft.2017.01.006.

Salas-Salinas, M. A. 2014. Cuadernos de investigación: Obras de protección contra inundaciones. Ed. Secretaría de Gobernación y Centro Nacional de Prevención de Desastes. México, D. F., México. 65 p. http://www.cenapred.gob.mx/es/Publicaciones/archivos/127-CUADERNODEINVESTIGACINOBRASDEPROTECCINCONTRAINUNDACIONES.PDF. (5 de junio de 2021).

Trenberth, K. E. 2011. Changes in precipitation with climate change. Climate Research 47(1-2):123-138. Doi: 10.3354/cr00953.

 

        

Todos los textos publicados por la Revista Mexicana de Ciencias Forestales sin excepción– se distribuyen amparados bajo la licencia Creative Commons 4.0 Atribución-No Comercial (CC BY-NC 4.0 Internacional), que permite a terceros utilizar lo publicado siempre que mencionen la autoría del trabajo y a la primera publicación en esta revista.