Revista Mexicana de Ciencias Forestales Vol. 13 (72)

Julio – Agosto (2022)

Logotipo, nombre de la empresa

Descripción generada automáticamente

DOI: 10.29298/rmcf.v13i72.1227

Article

 

Caracterización de árboles de riesgo en el Parque Nacional Viveros de Coyoacán, Ciudad de México

 Risk trees in Viveros de Coyoacán National Park, Mexico City

 

Liliana Muñoz Gutiérrez1*, Ramiro Pérez Miranda1, José Francisco Reséndiz Martínez1, Rodolfo Reyes Robles2

 

 

Fecha de recepción/Reception date: 25 de octubre de 2021

Fecha de aceptación/Acceptance date: 14 de junio de 2022

_______________________________

1Centro Nacional de Investigación Disciplinaria en Conservación y Mejoramiento de Ecosistemas Forestales, INIFAP. México.

2Universidad Tecnológica de la Sierra Hidalguense. Ingeniería en Manejo Sustentable de Recursos Naturales. México

*Autor para correspondencia; correo-e: gutierrez.liliana@inifap.gob.mx

*Corresponding author; e-mail: gutierrez.liliana@inifap.gob.mx

 

Abstract

Trees in cities may be a high risk for the human population and its infrastructure, due to their age, poor development, deficient aerial and root physical structure, and from plagues and diseases that can cause slight to fatal accidents. The objective of this study was to evaluate the risk that trees in the Viveros de Coyoacán National Park at Mexico City mean for visitors. Different indicators were used to determine the condition of the site, mensuration characterization, condition and vigor of the trees, classifying them as: 1) extreme risk, 2) high risk, 3) moderate risk and 4) low risk. Twenty-one species were identified with 299 individuals, of which only three species make up 53 % of the total number. In terms of developmental stages, 84.6 % are young trees and 15.4 % adults. 30 % have a DN <20 cm and a height under 15 m, while 51 % are taller than 18 m. 12 % interfere with the electrical network, 37 % with signals and 9 % obstruct the walking paths. 70 % of the trunks show mechanical damages, 50 % have weak unions in the branches and 60 % ulcers or cankers. From their hazard, 32 % are of extreme risk and 12 % of high risk. It is recommended to carry out sanitation pruning and soil decompaction. The criteria and indicators used allow a precise diagnosis of the current state of the trees in the park.

Key words: Urban green areas, urban forestry, evaluation, state indicators, risk level, urban vegetation.

Resumen

El arbolado puede representar un riesgo alto tanto para la población humana, como para la infraestructura por su edad, mal desarrollo, deficiente estructura aérea y radical, como por afectaciones de plagas y enfermedades que ocasionan accidentes de leves, hasta fatales. El objetivo fue evaluar el riesgo hacia los usuarios por el arbolado del Parque Nacional Viveros de Coyoacán, Ciudad de México. Se emplearon diferentes indicadores para determinar la condición del sitio, caracterización dasométrica, condición y vitalidad del arbolado, clasificándolos como: 1) riesgo extremo, 2) alto riesgo, 3) riesgo moderado, y 4) bajo riesgo. Se identificaron 21 especies con 299 individuos, de las cuales solo tres taxones constituyen 53 % del total. En cuanto a las etapas de desarrollo: 84.6 % corresponde a juveniles y 15.4 % a maduros. Respecto al DN, 30 % presentan menos de 20 cm y una altura inferior a 15 m, en tanto que 51 % tienen alturas superiores a 18 m. De los individuos, 12 % interfieren en la red eléctrica, 37 % con señalamientos y 9 % obstruye los andadores. Respecto a los troncos, 70 % presentan daños mecánicos, 50 % tienen uniones débiles en las ramas y 60 % tienen úlceras o cancros. Por la condición evaluada, 32 % evidencian riesgo extremo y 12 % riesgo alto. Se recomienda realizar podas de saneamiento y descompactación del suelo. Los criterios e indicadores empleados permiten caracterizar e identificar las condiciones actuales del arbolado del Parque.

Palabras clave: Áreas verdes urbanas, dasonomía urbana, evaluación, indicadores de condición, nivel de riesgo, vegetación urbana.

 

 

Article

 

Introduction

 

 

Society requires a sufficient area of urban forests and green areas that allow it to carry out and develop social, educational, cultural, and civic activities (Ruiz-Montiel et al., 2014); in particular, urban trees offer many benefits, as they improve the quality of the environment (air and water), produce a sense of well-being, promote lower temperatures and reduce ultraviolet radiation (Nowak et al., 2006). However, they face stress conditions caused by the action of man, particularly in areas where pedestrian and vehicle traffic is frequent. For this reason, it is important to assess the state of the trees and know if they are in optimal conditions and if the risk they mean to people is minimized (Vogt et al., 2015), as well as damage to infrastructure (Koeser et al., 2016).

A risk tree is described based on its instability due to a defect in its structure, that is, any part of the specimen: trunk, branches or crown can collapse and fall on a person or infrastructure causing them injury or damage (National Tree Safety Group, 2011). Therefore, the evaluation of urban trees aims to identify and qualify such structural condition, in order to determine its potential risk and probability of causing damage (Matheny and Clark, 2009).

The challenge is to provide the right tree management to ensure a low level of risk (Tomao et al., 2015). A long-lived specimen without maintenance is more likely to become harmful (Albers et al., 2003); thus, it is important to identify the specimens that represent a risk as a result of their deterioration due to water or thermal stress, atmospheric pollution, urbanization, attack by pests or diseases (Restrepo et al., 2015), or also as a result of a bad management (Hauer and Johnson, 2003). Tree defects are evaluated through a visual inspection to identify and understand the indicators of potential danger (Calaza and Iglesias, 2016).

Seven categories of potential damage features are identified: decayed wood, cracks, root problems, weak branch joints, cankers, architecture, branches and crown or dead individuals (Pokorny and Albers, 2003).

In the Coyoacán mayoralty, there is the Viveros de Coyoacán National Park, which is one of the parks with the greatest flow of people, who use the space to carry out sports activities (athletics, mainly), family or single recreation, school education and academics, among others; it is estimated that around 2 500 to 3 000 people attend daily (Semarnat, 2018). There is no formally published information on the condition of the trees and management; thus, and from the importance of the Park, the objective of this study was to identify and evaluate risk trees in the Viveros de Coyoacán National Park, in Mexico City.

 

 

Materials and Methods

 

 

Study area

 

 

The Viveros de Coyoacán Park is located in the Coyoacán mayoralty, Mexico City, between 19º21'14” north and 99º10'19” west, at 2 240 masl (Gobierno de la CDMX, 2016). At the beginning of the last century, in Coyoacán, Federal District, Mexico, Mr. Miguel Ángel de Quevedo installed a private forest nursery, with an area of one hectare. In 1907, with the support of the Mexican government, it became the first forest nursery in the country. Later, in 1938, "Coyoacán Historic National Park" was declared, which included the nursery, with an area of 584 ha (Departamento Forestal y de Caza, 1938), and in the mid-1970s, the "Central Nursery of Coyoacán with a size of 42 ha, was declared federal public domain. Currently, it is administered by the Federal Government through the Secretaría de Medio Ambiente y Recursos Naturales it has a plant production capacity (forestry and fruit trees) of just over two million (Gobierno de la CDMX, 2016).

 

 

Sampling design

 

 

A random sampling design of 14 circular sites representing the center of the sampling units was used, which were 500 m2 (12.62 m radius). The sampling intensity was 2 % accepted for urban areas (Schreuder et al., 2004) (Figure 1). These units were located in the work areas using a Global Positioning System (GPS) 12XL model Garmin geopositioner, with a <10 m error; the dimensions of each site were delimited with a longimeter and rope. All the trees within each sampling site were evaluated.

 

Figure 1. Location of the sampling and polygonal sites of the Viveros de Coyoacán Park, Mexico City.

 

 

Definition of criteria and indicators

 

 

For the definition of the criteria, the methodologies used by Coelho-Duarte et al. (2021a, 2021b) were adjusted through basic visual evaluations, and in some cases, detailed visual evaluations adapted from Pokorny and Albers (2003); three groups were determined: 1) site condition, 2) dasometric characterization, and 3) condition and vitality of the trees.

The site condition indicators used were: 1) location of the tree: building, parking lot, walkway, gardens or sidewalks, 2) visual characteristics of the soil: drainage or compaction, and 3) obstructions present: signs, power lines and walkways.

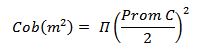
The mensuration indicators were: 1) common name, 2) scientific name, 3) total height (m), 4) clear stem height (m), 5) normal diameter (DN, m) and 6) crown cover (Cob, m). The instruments used for the measurements were: for heights, HagaTM Gun, and tape measure for DN and Cob, the latter was measured in two perpendicular dimensions of north-south and east-west, and was estimated from the average of the recorded measurements. To obtain the crown diameter (Avg C), by using the following formula:

 

 

Where:

Cob = Crown cover

 = 3.1416

Prom C = Crown diameter

 

In terms of the condition and vitality, the following criteria were considered: stage of development (juvenile or old), state of the trunk (cracks, rot, cavities), condition of the root (rotten or exposed) and phytosanitary (presence of pests, diseases or parasitic plants). Technical assessment formats for urban trees were designed to collect information in the field, and the data wwere analyzed using Microsoft Excel spreadsheets.

 

 

Defects and risk categories of urban trees

 

 

The criteria used were defined according to Pokorny and Albers (2003) and Albers et al. (2003). Table 1 lists the four risk categories: 1) extreme risk (red), 2) high risk (orange), 3) moderate risk (yellow) and 4) low risk (green).

 

Table 1. Categories, risk code and tree defects for their identification and classification.

Risk category

Code

Tree defects

Extreme risk

Red

The tree shows signs of root, trunk or branch failure and is possibly leaning. It has imminent falling potential.

High risk

Orange

Trees with root problems, poor architecture of the tree (trunk and branches). The potential for failure is highly probable.

Moderate risk

Yellow

The potential for failure, mainly of branches, is likely due to the presence of cracks or fissures, cankers and dead wood in different parts of the tree.

Low risk

Green

Failure of some part of the tree due to weak branch joints is possible.

 

 

Results and Discussion

 

 

A total of 299 trees of 21 different species were counted, of which Cupressus lusitanica Mill., Fraxinus uhdei (Wenz.) Ligelsh and Liquidambar styraciflua L. represented 53 % of the total (Table 2). The most abundant stage of development corresponded to juvenile individuals (84.6 %), while 15.4 % were mature. The latter mostly corresponded to Alnus acuminata Kunth, Casuarina cunninghamiana Miq., Cupressus lusitanica, Eucalyptus globulus Labill., Fraxinus uhdei, Pinus ayacahuite Ehrenb. ex Schltdl., P. greggii Engelm. ex Parl., P. oocarpa Schiede ex Schltdl. and Ulmus parvifolia Jacq. This indicates that there is a diversity of species, but only a few dominate, and they are generally exotic, including: Ficus sp., Casuarina sp., Ligustrum sp., Cupressus sp. and Eucalyptus sp., genera that predominate in the Viveros de Coyoacán park, and also prevail in other green areas of Mexico City, with a latent risk due to pests and diseases (Román-Guillén et al., 2019, Saavedra-Romero et al., 2019b).

 

Table 2. Total number and percentage of species in 14 sampling sites in the Viveros de Coyoacán Park, Mexico City.

Scientific name

Common name

 (in Spanish)

Individuals (number)

Percentage (%)

Number of trees rated at riskϯ

Alnus acuminata Kunth

Aile

4

1.3

4

Casuarina cunninghamiana Miq.

Pino australiano

13

4.3

6

Celtis occidentalis L.

Palo blanco

2

0.7

0

Crataegus mexicana DC

Tejocote

1

0.3

0

Cupressus lusitanica Mill.

Cedro blanco

62

20.7

33

Eucalyptus camaldulensis Dehnh.

Eucalipto

3

1.0

3

Eucalyptus globulus Labill.

Eucalipto azul

4

1.3

2

Fraxinus uhdei (Wenz.) Lingelsh.

Fresno

48

16.1

14

Ligustrum lucidum W. T. Aiton

Trueno

10

3.3

7

Liquidambar styraciflua L.

Liquidámbar

48

16.1

13

Morus celtidifolia Kunth

Mora

3

1.0

1

Phoenix canariensis Neubert

Palma abanico

8

2.7

0

Phytolacca dioica L.

Fitolaca

1

0.3

1

Pinus ayacahuite C. Ehrenb. ex Schltdl.

Pino blanco

5

1.7

2

Pinus engelmannii Carrière

Pino real

8

2.7

4

Pinus greggii Engelm. ex Parl.

Pino prieto

6

2.0

4

Pinus oocarpa Schiede ex Schltdl.

Pino ocote

25

8.4

17

Pinus patula Schltdl. & Cham.

Pino colorado

3

1.0

2

Populus alba L.

Chopo

1

0.3

0

Ulmus parvifolia Jacq.

Olmo chino

35

11.7

18

Yucca elephantipes Regel ex Trel.

Yuca

9

3.0

0

Total

21

299

100

131

Ϯ Risk trees classified with categories and extreme risk code (red) and high risk (orange).

 

In relation to the previous results, four species constitute 64.1 % of all the individuals inventoried. This figure is very close to that obtained by Velasco-Bautista et al. (2013) in the Bosque de San Juan de Aragón urban park, in Mexico City, where seven species represent 74 % of the total trees; and similarly, Saavedra-Romero et al. (2019a) recorded five taxa with the highest frequency (76.2 %) of plantation in the same park. Likewise, Castillo-Islas et al. (2008), on the campus of the Universidad Autónoma Chapingo, cite that 74 % of the total population belongs to four species. Pérez et al. (2018) on the campus of the Instituto Tecnológico Superior Venustiano Carranza document 143 individuals, and only 12 taxa.

In the Tezozómoc Cultural and Recreational Park (PCyRT), 3 758 trees were counted, belonging to 30 species grouped into 16 families; the most abundant and with the greatest cover were Eucalyptus camaldulensis Dehnh., Populus tremuloides Michx., Pinus radiata var. binata (Engelm.) Lemmon, Fraxinus uhdei, Schinus molle L. and Cupressus lusitanica (Reséndiz et al., 2015). The general trend is that a large number of trees of five or six genera are planted in the urban parks of Mexico City, including: Casuarina sp., Eucalyptus sp., Fraxinus sp., Cupressus sp., Ligustrum sp. and Grevillea sp. In this regard, Santamour (1990) recommends that no species should predominate above 10 %, no more than 20 % of a genus and 30 % of a family.

In the study area, it was estimated that 30 % of the trees have DN <20 cm and a height of less than 15 m, 51 % reach heights greater than 18 m; while 26 % have diameters >30 cm. The average height of the clean shaft was 5.80 m, which corresponds to the height at which the electrical wiring is located, and below this the signs are located within the park. The crown cover showed that they are unbalanced or incomplete, mainly due to the high tree density throughout the park and the lack of maintenance (Table 3).

 

Table 3. General statistics of the mensuration variables of the trees in the Viveros de Coyoacán Park, Mexico City.

Variable

Sum

Mean

Variance

Standard desviation

Median

Mode

Max

Min

A (m)

5 567

18.6

61.5

7.8

18.0

14.0

39.0

3.0

AFL (m)

1 743

5.8

17.1

4.1

5.0

3.0

24.0

0.0

DN (cm)

7 146

23.9

345.4

18.6

19.0

15.0

155.0

4.0

Cob (m2)

8 509

8.5

938.6

30.6

17.7

11.0

212.0

0.0

A = Height; AFL = Clean-stem height; DN = Normal diameter; Cob = Crown cover; Max = Maximum, Min = Minimum.

 

Based on the number of trees, the number of species represented and the stages of development, most of which are juveniles, it can be stated that according to Baró et al. (2014), is a green area that provides quality ecosystem services, such as the removal of atmospheric pollutants, carbon sequestration and storage capacity, water infiltration and noise reduction, among others.

Regarding the location of the trees, they predominated inside the gardens, which have a high density and competition for nutriments; there are trees established throughout the area of free transit for visitors; therefore, the soils have a high degree of compaction. In this regard, Martins-Nieri et al. (2018) indicate that in compacted soils the main factor considered is the loss of aeration due to the decrease in pore spaces and organic matter, therefore, the roots do not have a good development, consequently, growth is weak. Hernández et al. (2011) point out that soil compaction is the main cause of death in urban trees, since their roots need permeable or grass-covered soils to promote greater infiltration and the development of secondary roots.

The presence of some insects in Eucalyptus camaldulensis and fungi in Cupressus lusitanica, Eucalyptus globulus, Pinus ayacahuite and Ulmus parvifolia was observed. It should be noted that few studies have been carried out on pests and diseases in urban trees in Mexico City; thus, Reséndiz et al. (2015) identified in the PCyRT several species with foliage damage caused by different fungi, in particular, Fusarium sp., which exhibits chlorotic staining. In a similar way, in the Third Section of the Chapultepec Forest, it was determined that the condition of the trees, in general, is poor due to the presence of phytophagous insects that damage its vegetative structure (Cervantes et al., 2019).

In the trees of Viveros de Coyoacán Park, in particular, low affectation was observed to the urban infrastructure inside, since only 12 % of the individuals interfere with the electrical wiring, 37 % with signs and 9 % obstruct the walk paths. Velasco et al. (2013) recorded in the San Juan de Aragón Forest that 7.9 % of the trees had some risk associated with electricity cables, fences, sidewalks and constructions such as fences or planters. These conditions are different from what is recorded for other urban areas, such as gardens, parks or in medians where the main damage to infrastructure is directly related to the incorrect selection of species, due to ignorance of their biology. development and poor management (Román-Guillen et al., 2019).

Nevertheless, the conditions in the Viveros de Coyoacán Park are similar to those of other forests or parks in Mexico City, such as the Chapultepec Forest (Benavides and Fernández, 2012) and the San Juan de Aragón Forest (Velasco et al., 2013; Saavedra-Romero et al., 2019a and 2019b), or in alignment trees (Román-Guillen et al., 2019), all located in limiting conditions due to water supply, induced opening of the space below the canopy for security reasons and for recreational activities.

The characteristics that can be defined as defects associated with the trees (Figure 2) showed that just over 70 % of the trunks of the sampled population have cracks and dead wood caused by cankers, weak unions of branches, injuries due to mechanical damage or by vandalism. These factors caused the formation of cavities, which in most of them were the entrance point for pathogenic agents that caused the deterioration or reduction of the stability and the physical-mechanical properties of the standing tree, since the phytopathogens were present in branches, trunks and roots. In half of the trees, weak unions were recorded in the branches, which include the branches produced by epicormic shoots in response to injuries or environmental stress, and 60 % developed ulcers or cankers in the branches. Fractures or cracks often originated in these areas, with a high risk of causing the specimen to fall.

 

Figure 2. Defects presented by risk trees in the Viveros de Coyoacán Park, Mexico City.

 

Regarding the degree of risk, it was determined that 131 trees of the total represent extreme risk (32 %) and high risk (12 %) (Table 2, Figure 2). Related defects are rot, cracks, weak branch joints, cankers and dead wood. Pokorny and Albers (2003) indicate that these characteristics are the main causes of a high risk for the population in any urban area. Likewise, root rot caused by fungi constitutes an additional factor for the potential fall of the tree individual (Calaza and Iglesias, 2016).

Regarding the risk categories, the species with the highest percentages of red and orange codes (extreme risk and high risk, respectively) were Cupressus lusitánica (25 %), in addition to the Pinus genus (22 %), Ulmus parvifolia (13.7 %), Fraxinus uhdei (10.7 %) and Liquidambar styraciflua (9.9 %); those with the lowest percentage were Alnus acuminata, Casuarina cunninghamiana, Eucalyptus camaldulensis, E. globulus, Ligustrum lucidum W. T. Aiton and Morus celtidifolia Kunth.

In a similar study by Castillo-Islas et al. (2008), estimated that 37 and 26 % of the trees were classified as red and orange, respectively, and the species that prevailed were Fraxinus uhdei, Cupressus lusitanica and Casuarina cunninghamiana in three high attendance areas of the Universidad Autónoma Chapingo; the foregoing implies a potential or severe risk, with rotten wood and cavities, severe root damage, weak unions between branches, tips and dead branches, high density and old specimens. A similar situation occurs in areas near the Venustiano Carranza Higher Technological Institute, where 52 % of the trees are of high risk to the population because they are in poor condition, are prone to falling branches or entire individuals on users and real estate (Pérez et al., 2018).

In the present work, the highest proportion of the inventoried individuals were classified with a yellow code (47 %), that is, moderate risk (Figure 3). Finally, only 9 % corresponded to the category without any risk, and the species that made up this group were Phoenix canariensis Chabaud and Yucca elephantipes Baker.

 

Figure 3. Percentage of trees at risk in the Viveros de Coyoacán Park, Mexico City.

 

Based upon the results, the management actions are basic to improve the conditions of the Park and provide security to the users; formation and sanitation pruning, surgeries in the hollows and cavities of the trees are recommended, in addition, carry out work to loosen the soil inside the planters. On the other hand, in future programs of planting or replacement of specimens, it is suggested to diversify the species; therefore, it is important to undertake a training program for the operating personnel, with the advice of engineers or technicians who participate in the work of the Park, with proper work and safety equipment.

 

 

Conclusions

 

 

The criteria and indicators used for the characterization of the risk trees in the Viveros de Coyoacán Park allow visually identifying and evaluating the defects and risks of the individual trees that represent a danger to the user population of the Park. The most frequent defects are rot, cracks, brittle branch joints, cankers and dead wood. The species with the highest percentages of extreme risk and high risk are Cupressus lusitánica, Pinus sp., Ulmus parvifolia, Fraxinus uhdei and Liquidambar styraciflua. There is little impact on the Park's infrastructure. This information is relevant for administrators responsible for implementing preventive measures to mitigate or avoid potential damage to Park visitors.

 

 

Acknowledgements

 

The authors thank the Secretaría de Medio Ambiente y Recursos Naturales which, through the administration of the Viveros de Coyoacán National Park, supported them with the permits to carry out this work.

 

Conflict of interests

 

Liliana Muñoz Gutiérrez declares that she did not participate in the editorial process of this manuscript, since she is Section Editor of the Revista Mexicana de Ciencias Forestales.

 

Contribution by author

 

Liliana Muñoz Gutiérrez: definition of methodology, data analysis and writing of the document; Ramiro Pérez Miranda: image processing, review and correction of the manuscript; José Francisco Reséndiz Martínez: management of permits in the Viveros de Coyoacán National Park, review and correction of the manuscript; Rodolfo Reyes Robles: field work, capture and processing of information, writing of the document.

 

 

References

Albers, J. S., J. D. Pokorny and G. R. Johnson. 2003. How to detect and assess hazardous defects in trees. In: Pokorny, J. (coord.). Urban tree risk management: a community guide to program design and implementation. United State Department of Agriculture Forest Service. Falcon Heights, MN, USA. pp. 41-109.

Baró, F., L. Chaparro, E. Gómez-Baggethun, J. Langemeyer, D. J. Nowak and J. Terradas. 2014. Contribution of ecosystem services to air quality and climate change mitigation policies: the case of urban forests in Barcelona, Spain. Ambio A Journal of the Human Environment 43(4):466-479. Doi: 10.1007/s13280-014-0507-x.

Benavides M., H. M. y D. Y. Fernández G 2012. Estructura del arbolado y caracterización dasométrica de la segunda sección del Bosque de Chapultepec. Madera y Bosques 18(2):51-71. Doi: 10.21829/myb.2012.182352.

Calaza M., P. y M. I. Iglesias D. 2016. El riesgo del arbolado urbano. Contexto, concepto y evaluación. Mundi-Prensa. Llanera, AS, España. 526 p.

Castillo-Islas, V., G. Vera-Castillo, F. Carrillo-Anzures y E. Buendía-Rodríguez. 2008. Árboles en riesgo en tres áreas verdes del campus de la Universidad Autónoma Chapingo. Revista Arbolama 1:7-13. https://arboricultura.mx/wp-content/uploads/2018/04/ARBOLAMA_1.pdf. (2 de junio de 2020).

Cervantes B., M., R. Ortiz B. y J. F. Reséndiz M. 2019. Condición fitosanitaria del arbolado de la tercera sección del Bosque de Chapultepec. Revista Mexicana de Agroecosistemas6(1):122-135. https://rmae.voaxaca.tecnm.mx/wp-content/uploads/2020/11/12-RMAE_2019-10-Arbolado-To-edit.pdf. (3 de junio de 2020).

Coelho-Duarte A. P., G. Daniluk-Mosquera, V. Gravina, Ó. Vallejos-Barra and M. Ponce-Donoso. 2021b. Tree risk assessment: component analysis of six visual methods applied in an urban park, Montevideo, Uruguay. Urban Forestry & Urban Greening 59(1):1-9. Doi: 10.1016/j.ufug.2021.127005.

Coelho-Duarte, A. P., G. Daniluk-Mosquera, V. Gravina, A. Hirigoyen, Ó. Vallejos-Barra and M. Ponce-Donoso. 2021a. Proposal of two visual tree risk assessment methods for urban parks in Montevideo, Uruguay. Bosque 42(2):259-268. Doi: 10.4067/S0717-92002021000200259.

Departamento Forestal y de Caza. 1938. Decreto que declara Parque Nacional “El Histórico Coyoacán”, los terrenos de esa población. Diario Oficial Tomo CX, Núm. 21, 26 de septiembre de 1938. Distrito Federal, México. pp. 9-10.

Gobierno de la Ciudad de México. 2016. Parque Nacional Viveros de Coyoacán. https://www.archivo.cdmx.gob.mx/vive-cdmx/post/parque-nacional-viveros-de-coyoacan (2 de junio de 2020).

Hauer, R. J. and G. R. Johnson. 2003. Tree Risk Management. In: Pokorny, J. (coord.). Urban tree risk management: a community guide to program design and implementation. United State Department of Agriculture Forest Service. Falcon Heights, MN, USA. pp. 5-10.

Hernández O., A., R. Balmaseda S. y A. Romeo S. 2011. Evaluación resistográfica de los árboles del Centro Histórico de La Habana. Medio Ambiente y Desarrollo, Revista electrónica de la Agencia de Medio Ambiente 11(20). https://cmad.ama.cu/index.php/cmad/article/view/158. (4 de junio de 2020).

Koeser, A. R., R. Hauer, J. W. Miesbauer and W. Peterson. 2016. Municipal tree risk in the United States: Fin­dings from a comprehensive survey of urban forest management. Arboriculture Journal 38(4):218-229. Doi: 10.1080/03071375.2016.1221178.

Martins N., E., L. M. dos Santos, F. G. König B., E. J. Brun, S. M. Krefta y R. L. Grisi M. 2018. Condiciones de los árboles urbanos: un estudio de revisión. RECyT Revista de Ciencia y Tecnología 20(30):56-61. https://www.fceqyn.unam.edu.ar/recyt/index.php/recyt/article/view/252/179. (6 de junio de 2020).

Matheny, N. and J. Clark. 2009. Tree risk assessment. What we know (and what we don´t know). Arborist News 18:28-37. https://www.researchgate.net/publication/292089898_Tree_risk_assessment_What_we_know_and_what_we_don't_know. (15 de junio de 2020).

National Tree Safety Group (NTSG). 2011. Common sense risk management of trees: Guidance on trees and public safety in the UK for owners, managers and advisers. Forestry Commission. Murrayfield, ED, Scotland.

Nowak, D. J., D. E. Crane and J. C. Stevens. 2006. Air pollution removal by urban trees and shrubs in the United States. Urban Forestry and Urban Greening 3-4:115-123. Doi: 10.1016/j.ufug.2006.01.007.

Pérez M., R., A. Santillán F., F. D. Narváez Á., B. Galeote L. y N. Vásquez B. 2018. Riesgo del arbolado urbano: estudio de caso en el Instituto Tecnológico Superior de Venustiano Carranza, Puebla. Revista Mexicana de Ciencias Forestales 9(45):208-228. Doi: 10.29298/rmcf.v9i45.143.

Pokorny J. D. and J. S. Albers. 2003. Community tree risk management: program planning and design. In: Pokorny, J. (coord.). Urban tree risk management: a community guide to program design and implementation. United State Department of Agriculture Forest Service. Falcon Heights, MN, USA. pp. 11-39.

Reséndiz M., J. F., L. Guzmán D., A. L. Muñoz V., C. Nieto de Pascual P. y L. P. Olvera C. 2015. Enfermedades foliares del arbolado en el Parque Cultural y Recreativo Tezozómoc, Azcapotzalco, D. F. Revista Mexicana de Ciencias Forestales 6(30): 106-123. Doi: 10.29298/rmcf.v6i30.211.

Restrepo O., H. I., F. Moreno H. y C. E. Hoyos E. 2015. Incidencia del deterioro progresivo del arbolado urbano en el Valle de Aburrá, Colombia. Colombia Forestal 18(2):225-240. Doi: 10.14483/udistrital.jour.colomb.for.2015.2.a04.

Román-Guillén L. M., C. Orantes-García, C. U. del Carpio-Penagos, M. S. Sánchez-Cortés, M. L. Ballinas-Aquino y O. Farrera S. 2019. Diagnóstico del arbolado de alineación de la ciudad de Tuxtla Gutiérrez, Chiapas. Madera y Bosques 25(1):e2511559. Doi: 10.21829/myb.2019.2511559.

Ruiz-Montiel, C., V. Vázquez-Torres, M. de J. Martínez-Hernández, L. Murrieta-Pérez y M. S. Perea-Hernández. 2014. Árboles y arbustos registrados en el Parque Ecológico Molino de San Roque, Municipio de Xalapa, Veracruz. Madera y Bosques 20(2):143-152. Doi: 10.21829/myb.2014.202170.

Saavedra-Romero L. de L., P. Hernández-de la Rosa, D. Alvarado-Rosales, T. Martínez-Trinidad y J. Villa-Castillo. 2019a. Diversidad, estructura arbórea e índice de valor de importancia en un bosque urbano de la Ciudad de México. Polibotánica 47:25-37. Doi: 10.18387/polibotanica.47.3.

Saavedra-Romero, L. de L., D. Alvarado-Rosales, T. Martínez-Trinidad and P. Hernández-de la Rosa. 2019b. Identification of defects and risks in trees of San Juan de Aragon Forest, Mexico City. Revista Chapingo Serie Ciencias Forestales y del Ambiente 25(1):31-47. Doi: 10.5154/r.rchscfa.2018.06.049.

Santamour, F. S. 1990. Trees for urban planting: Diversity, uniformity, and common sense. In: The Morton Arboretum (ed.) Trees for the Nineties: Landscape Tree Selection, Testing, Evaluation, and Introduction: Proceedings of the Seventh Conference of the Metropolitan Tree Improvement Alliance. Metropolitan Tree Improvement Alliance Conference. Lisle, IL, USA. pp. 57-65.

Schreuder, H. T., R. Ernst and H. Ramírez-Maldonado. 2004. Statistical techniques for sampling and monitoring natural resources. United State Department of Agriculture Forest Service, Rocky Mountain Research Station. Fort Collins, CO, USA. 111 p. https://www.fs.fed.us/rm/pubs/rmrs_gtr126.pdf. (15 de junio 2020).

Secretaría del Medio Ambiente y Recursos Naturales (Semarnat). 2018. Viveros de Coyoacán: un remanso en la urbe. https://www.gob.mx/semarnat/articulos/viveros-de-coyoacan-un-remanso-en-la-urbe-160228?idiom=es. (10 de mayo de 2020).

Tomao, A., L. Secondi, P. Corona, D. Giuliarelli, V. Quatrini and M. Agrimi. 2015. Can composite indices explain multidimensionality of tree risk assessment? A case study in an historical monumental complex. Urban Forestry and Urban Greening 14(3):456-465. Doi: 10.1016/j.ufug.2015.04.009.

Velasco B., E., E. N. Cortés B., A. González H., F. Moreno S. y H. M. Benavides M. 2013. Diagnóstico y caracterización del arbolado del bosque de San Juan de Aragón. Revista Mexicana de Ciencias Forestales 4(19):102-111. Doi: 10.29298/rmcf.v4i19.382.

Vogt, J., R. J. Hauer and B. C. Fisher. 2015. The costs of maintaining and not maintaining the urban forest: A review of the urban forestry and arboriculture literature. Arboriculture and Urban Forestry 41(6):293-323. Doi: 10.48044/jauf.2015.027.

 

 

 

        

Todos los textos publicados por la Revista Mexicana de Ciencias Forestales sin excepción– se distribuyen amparados bajo la licencia Creative Commons 4.0 Atribución-No Comercial (CC BY-NC 4.0 Internacional), que permite a terceros utilizar lo publicado siempre que mencionen la autoría del trabajo y a la primera publicación en esta revista.