Revista Mexicana de Ciencias Forestales Vol. 13 (73)
Septiembre – Octubre (2022)
DOI: https://doi.org/10.29298/rmcf.v13i73.1220 Artículo Supervivencia y crecimiento radicular en estaquillas tiernas y lignificadas de cedro limón con diferentes sustratos y enraizantes Survival and root growth of tender and lignified lemon cypress cuttings with different substrates and rooting agents
José Ángel Prieto-Ruíz1, Alberto Pérez-Luna2,3, Miguel Ángel Manríquez-Santillán1, José Ciro Hernández-Díaz4, Eusebio Montiel-Antuna1, Jesús Alejandro Soto-Cervantes2*
|
Fecha de recepción/Reception date: 10 enero de 2022
Fecha de aceptación/Acceptance date: 18 de julio de 2022
_______________________________
1Facultad de Ciencias Forestales y Ambientales, Universidad Juárez del Estado de Durango. México.
2Programa Institucional de Doctorado en Ciencias Agropecuarias y Forestales, Universidad Juárez del Estado de Durango. México.
3Centro de Bachillerato Tecnológico Industrial y de Servicios Número 89, Dirección General de Educación Tecnológica Industrial, Durango. México.
4Instituto de Silvicultura e Industria de la Madera, Universidad Juárez del Estado de Durango. México.
*Autor para correspondencia; correo-e: alejandro.soto@ujed.mx
*Corresponding author; e-mail: alejandro.soto@ujed.mx
Abstract
The rooting of cuttings allows propagation of ornamental plants that are difficult to reproduce from seeds. Lemon cypress (Cupressus macrocarpa var. lutea) is widely used for ornamental purposes. In this work, the effect of three factors on the survival and primary root growth of lemon cypress: two substrates (base mix and perlite), four rooting agents (Radix® 1 500, Radix® 10 000, Raizone® Plus and Raizplant® 500), and control (no rooting agent), plus two maturity conditions of the cuttings (tender and lignified) were assessed. The treatments were distributed in a randomized block design, with a 2×5×2 factorial arrangement. The evaluation was carried out four months after the rooting started. The response variables were statistically analyzed with the Kruskal Wallis test and Dunn's test to compare paired medians; in addition, the Dunnett's test of multiple comparisons of medians was applied. Significant differences were obtained for survival from the rooting effect and maturity of cuttings, in addition to the triple interaction of the assessed factors. The highest survival (45 %) was achieved by using perlite plus Radix® 1 500 on lignified cuttings. The largest primary root growth was recorded without rooting and with tender (11.75 cm) and lignified (10.87 cm) cuttings, regardless of the substrate. Although root growth was superior without rooting, it is recommended to use Radix® 1 500 to promote callus formation and ensure better survival. The substrate, rooting media, and the maturity of cuttings influence the survival and primary root growth of lemon cypress cuttings.
Key words: Indole-3-butyric acid, Cupressus macrocarpa Hartw. ex Gord. var. lutea Topacio, maturity of the cuttings, ornamental plants, vegetative propagation, asexual reproduction.
Resumen
El enraizado de estaquillas permite propagar plantas de ornato difíciles de reproducir por semilla. El cedro limón (Cupressus macrocarpa var. lutea) es muy utilizado con fines ornamentales. Se evaluó el efecto de tres factores sobre la supervivencia y el crecimiento de la raíz primaria de esta especie: dos sustratos (mezcla base y perlita), cuatro enraizantes (Radix® 1 500, Radix® 10 000, Raizone® Plus y Raizplant® 500) y testigo (sin enraizante), y dos estados de madurez de las estaquillas (tiernas y lignificadas). El diseño experimental fue de bloques al azar con arreglo factorial 2×5×2. La evaluación se hizo a los cuatro meses del inicio del enraizado. Las variables se analizaron con las pruebas de Kruskal Wallis y de Dunn para comparar medianas pareadas y se aplicó la prueba de comparaciones múltiples de medianas de Dunnett. Se obtuvieron diferencias significativas para la supervivencia por efecto del enraizante y la madurez de las estaquillas, además de la triple interacción de los factores evaluados. La supervivencia mayor (45 %) se logró al utilizar perlita más Radix® 1 500 y estaquillas lignificadas. El crecimiento más grande de la raíz primaria se registró sin enraizante y con estaquillas tiernas (11.75 cm) y lignificadas (10.87 cm), independientemente del sustrato. Aunque, el crecimiento de raíz fue superior sin enraizante, se recomienda usar Radix® 1 500 para promover la formación de callo y garantizar mayor supervivencia. El sustrato, enraizante y tipo de estaquilla influyen en la supervivencia y el crecimiento de la raíz primaria de estaquillas de cedro limón.
Palabras clave: Ácido indol-3-butírico, Cupressus macrocarpa Hartw. ex Gord. var. lutea Topacio, madurez de estaquillas, plantas de ornato, propagación vegetativa, reproducción asexual.
Introduction
Vegetative propagation consists of a series of practices that make it possible to clone plants from cells and embryos (micropropagation): leaves, branches, and roots (macropropagation) (Hartmann et al., 2010). Rooting cuttings, grafting, and layering techniques have been utilized for more than 3 000 years and are still in use today (Mudge et al., 2009), however, the most relevant advances in this area have occurred since the beginning of the 20th century (Oseni et al., 2018).
Although the production of forest plants by seed is simpler and cheaper than asexual reproduction, this alternative is sometimes necessary, particularly in species with little or no viable seed production (Bailey et al., 2009). The rooting of cuttings is a method for asexual propagation of adult trees at low cost, unlike grafting and layering (Pérez-Luna et al., 2019). Vegetative propagation by rooted cuttings is recommended for species that are easily reproduced by asexual means, for mass production of ornamental plants and fruit trees (Iglesias et al., 1996), and even for commercial forestry plantation programs (Cuevas-Cruz et al., 2015).
Lemon cypress (Cupressus macrocarpa Hartw. ex Gord.var. lutea Topacio) is a species with a high ornamental value (Somerville, 1993), of medicinal importance (Salem et al., 2018), and with a high potential for establishing Christmas tree plantations (Petit-Aldana et al., 2010). However, it is a taxon that is difficult to reproduce by traditional means (through seeds), therefore, it is necessary to develop vegetative propagation methods to reproduce it massively, as recommended by Bailey et al. (2009) for species that exhibit this difficulty in their propagation.
The selling price of lemon cypress in Mexico is high in those areas where it is not produced, mainly due to transportation costs (Cabrera et al., 2007). This occurs in places far from the center of the country, such as the state of Durango, where despite the high cost of the species, it is widely used for ornamental purposes in urban areas, therefore, alternatives are being sought to reproduce it locally and reduce costs. The objective of the present work was to evaluate the effect of two types of substrate, the application of four commercial hormones (in addition to the control), and the maturity condition of the cuttings, on the vegetative propagation of Cupressus macrocarpa (lemon cypress). It is hypothesized that at least one combination of substrate and rooting agent, as well as the condition of shoot development, is more conductive to the survival and root growth of rooted lemon cypress cuttings.
Location of the experiment
The experiment was conducted in the Sahuatoba forest nursery, belonging to the Ministry of Natural Resources and Environment of the Government of the state of Durango, located between 24°01'34.4" N and 104°41'34.3" W, at an altitude of 1 890 m, annexed to Sahuatoba Park in the city of Durango, Mexico.
The spread was carried out in a forest plant acclimatization area, covered by shade netting with 50 % light filtration. The cuttings were placed in black polyethylene containers, 12.7 cm diameter×20 cm long and 2.5 L capacity, which were filled with the substrates to be evaluated. 20 cuttings were placed in each container to generate one experimental unit. The containers were then placed on the floor on a white plastic base.
Collection and preparation of cuttings and origin of parent plants
Cuttings were collected in mid-April from 50 eight-year-old parent plants, propagated in containers of 38.2 cm diameter and 60.0 cm height, with 68.7 L capacity. These plants were produced in the “Praxedis Guerrero” forest nursery, which belongs to the Ministry of Natural Resources and Environment of the Government of the state of Durango, located at 23°57'01.0" N and 104°34'08.6" W, at an altitude of 1 883 m, at km 12 of the Durango-El Mezquital highway, Durango, Mexico.
The cuttings were collected the middle part of the canopy, in new (tender cuttings) and one-year-old shoots (lignified cuttings); once cut, in order to keep them hydrated and prevent fungal damage, they were placed and transported in bulk in 20 L buckets with water and Captán® fungicide (2 gL-1) and were put to root 20 hours after collection. Vigorous parent plants with abundant foliage and a symmetrical and uniform crown were selected.
In order to prepare the vegetative material, a transverse cut was made at the bottom of each cutting with pruning shears, exposing the cambium at the base. During rooting, three factors were evaluated: a) four rooting agents and a control, b) two conditions of maturity of the cuttings, and c) two types of substrates. A total of 20 treatments (5×2×2) with four replications were assessed (Table 1). Each experimental unit consisted of 20 cuttings.
Table 1. Evaluated treatments by survival and root growth of the cuttings of Cupressus macrocarpa Hartw., ex Gord., var., lutea Topacio.
Treatment |
Substrate |
Rooting agent |
Maturity condition of the cuttings |
1 |
Mix (55 % peat base +24 % vermiculite+21 % perlite) |
Radix® 10 000 |
Tender |
2 |
Lignified |
||
3 |
Radix® 1 500 |
Tender |
|
4 |
Lignified |
||
5 |
Raizone® |
Tender |
|
6 |
Lignified |
||
7 |
Raizplant® |
Tender |
|
8 |
Lignified |
||
9 |
Control |
Tender |
|
10 |
Lignified |
||
11 |
Perlite |
Radix® 10 000 |
Tender |
12 |
Lignified |
||
13 |
Radix® 1 500 |
Tender |
|
14 |
Lignified |
||
15 |
Raizone® |
Tender |
|
16 |
Lignified |
||
17 |
Raizplant® |
Tender |
|
18 |
Lignified |
||
19 |
Control |
Tender |
|
20 |
Lignified |
Three powdered rooting agents with different concentrations of indole-3-butyric acid (IBA) were evaluated: Radix® 1 500 (0.15 % IBA), Radix® 10 000 (1 % IBA), and Raizone® Plus (0.06 % IBA). Also tested were a liquid rooting agent (Raizplant® 500) containing a combination of phytohormonal compounds with a 0.05 % concentration and a control (without rooting agent). The rooting agents were impregnated in the first 5 cm of the tip of each cutting. The maturity conditions considered were: tender cuttings (obtained from the last growth) and lignified cuttings (collected from the previous year's growth). The substrate used was 100 % perlite and a mix base (composed of 55 % sphagnum peat moss, 24 % vermiculite, and 21 % perlite).
Irrigation was performed every third day manually with a 7 L watering can; 2 L of water per irrigation were applied to each experimental unit. The temperature and relative humidity were measured with a maximum and minimum thermohygrometer (HOBO®) and the following values were recorded: maximum temperature, 31.2 °C, minimum temperature, 22.8 °C, average temperature, 26.9 °C, 76 % maximum relative humidity, 58 % minimum relative humidity, and 69 % average relative humidity. During the four months of evaluation, three daily measurements of temperature and relative humidity were taken.
The survival rate and the tap root length of the rooted cuttings were recorded four months after the cuttings were established. The survival of each stake was assessed based on whether or not it had live tissue. In order to measure the tap root, all rooted cuttings were extracted from the container (Figure 1).
Figure 1. Extraction of cuttings in order to evaluate tap root growth.
Statistical analysis
The results of survival and root growth were analyzed with the Shapiro-Wilk and Kolmogorov-Smirnov tests to determine the type of statistics to be used. Since a normal distribution of the survival and root growth data was not detected, the Kruskal Wallis nonparametric test was performed to determine possible significant differences between the factors evaluated (type of substrate, type of rooting agent, and condition of the development of the cuttings); paired medians were compared by applying Dunn's post hoc test according to the Bonferroni method.
The effect of the interaction between the evaluated factors on survival and root growth was analyzed with Dunnett's median test. These analyses were performed on the R® statistical software platform, version 3.5.3 (R Core Team, 2020).
Results and discussion
Survival and root growth by factor
Statistical differences (p=5.3x10-5) were observed in survival from the effect of the type of rooting agent and the maturity condition of the cuttings; however, there were none linked to the type of substrate utilized (p=0.92). Significant differences in taproot growth also occurred as an effect of the maturity condition of the cuttings (p=2.8x10-9), the substrate type (p=5x10-4), and the rooting agent type (p=0.008).
Bonferroni's comparison of medians showed significant differences in the survival of cuttings in the following comparisons: Raizone® Plus vs Radix® 1 500, Radix® 1 500 vs Raizplant® 500, and Radix® 1 500 vs control. With regard to root growth, significant differences were observed in the following comparisons: Raizone® Plus vs control, Raizplant® 500 vs control, and Radix® 10 000 vs control (Table 2).
Table 2. Dunn’s comparison of medians with Bonferroni's method for survival and root growth of cuttings of Cupressus macrocarpa Hartw. ex Gord. var. lutea Topacio as an effect of the type of rooting agent.
Comparison |
Survival |
Root growth |
||
Z Value |
P Value |
Z Value |
P Value |
|
Raizone® Plus vs Radix® 1 500 |
-3.03 |
0.02 |
-1.07 |
1.00 |
Raizone® Plus vs Raizplant® 500 |
0.68 |
1.00 |
0.43 |
1.00 |
Radix® 1 500 vs Raizplant® 500 |
3.71 |
0.002 |
1.84 |
0.65 |
Raizone® Plus vs Radix® 10 000 |
-1.11 |
1.00 |
-0.46 |
1.00 |
Radix® 1 500 vs Radix® 10 000 |
1.91 |
0.54 |
0.87 |
1.00 |
Raizplant® 500 vs Radix® 10 000 |
-1.79 |
0.71 |
-1.07 |
1.00 |
Raizone® Plus vs Control |
1.51 |
1.00 |
-2.83 |
0.04 |
Radix® 1 500 vs Control |
4.54 |
5.44×10-5 |
-2.67 |
0.07 |
Raizplant® 500 vs Control |
0.82 |
1.00 |
-3.44 |
0.005 |
Radix® 10 000 vs Control |
2.62 |
0.08 |
-2.95 |
0.03 |
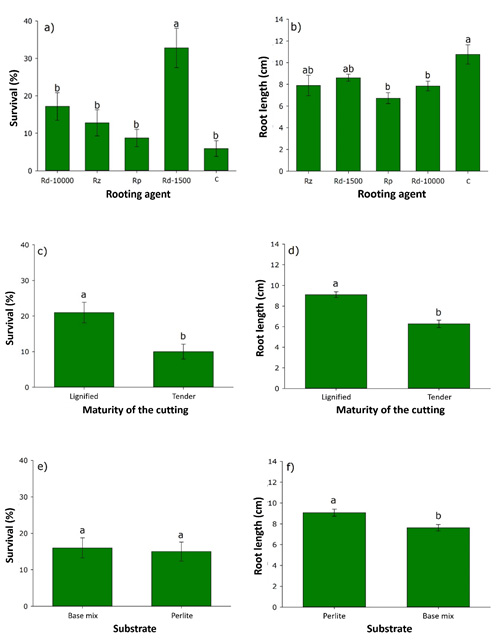
As for the rooting agent utilized, the highest survival was obtained in cuttings rooted with Radix® 1 500 (32.8 %); the rest of the treatments were placed in the following statistical groups: Radix® 10 000 (17.2 %), Raizone®500 (12.8 %), Raizplant® 500 (8.7 %), and control (5.9 %) (Figure 2a). The highest tap root growth was observed in the unrooted cuttings (control), with 10.75 cm average length. The intermediate group was composed of cuttings rooted with Radix® 1 500 and Raizone® 500, exhibiting a root growth of 8.61 and 7.89 cm, respectively. The lowest root growth, of 7.84 and 6.73 cm, respectively, was observed in cuttings rooted with Radix® 10 000 and Raizplant® 500 (Figure 2b).
Figure 2. Survival and primary root growth of Cupressus macrocarpa Hartw. ex Gord. var. lutea Topacio cuttings, by the effect of three factors: a) and b) by type of rooting agent; c) and d) by the maturity condition of the cutting, and e) and f) by substrate type.
Rd-10 000 = Radix® 10 000; Rz = Raizone® Plus; Rp = Raizplant® 500; Rd-1 500 = Radix® 1 500; C =Control. Different lowercase letters indicate significant differences between treatments (p<0.05) according to Dunn's test for median difference.
As a result of the maturity of the cuttings, the survival rate of the lignified cuttings was 21 %, while that of the tender cuttings was 10 % (Figure 2c). According to Shiembo et al. (1997), tender cuttings exhibit greater natural auxin generation, and when the concentration of this hormone is increased by the application of IBA, the toxicity increases considerably, which causes greater mortality of cuttings. The root length in lignified cuttings was 9.1 cm, while in tender cuttings it was 6.2 cm (Figure 2d).
Regarding the type of substrate, there was no statistical difference in survival between cuttings rooted in a mix base (16 %) and those rooted in perlite (15 %) (Figure 2e). On the other hand, root growth was higher in cuttings rooted in perlite (9.07 cm), compared to those rooted in the mix base (7.63 cm) (Figure 2f).
In a rooting study of cuttings of Cupressus cashmeriana Royle ex Carrière in which tender and lignified cuttings were compared, survival was higher in the lignified ones (52.8 % vs 31.9 %) (Raup and Taylor, 2012). In contrast, Lahiri (1975) cited for the same species a survival rate of less than 5% in the rooting of lignified cuttings.
In the rooting of cuttings of woody species, it has been pointed out that the more mature the tissues are, the more auxin is produced after the cuts (wounds) are made in the cutting; auxin is a phytohormone that promotes plant growth and is important for generating roots (Scalabrelli and Couvillon, 1986).
Auxin production during rooting promotes the generation of callus, which favors the survival of the cuttings (Mackenzie et al., 1986) as well as root proliferation (Cabrera et al., 2022).
In a rooting study of Cupressus macrocarpa Hartw. ex Gord.var. goldcrest, Mamani and Fernández (2017) achieved 27.8 % survival when the cuttings were propagated in a medium containing equal parts sphagnum peat moss, charcoal and silt. The survival rate attributed to the substrate in the present study was considerably lower, with values of 16 % for both perlite and the mix base. This may be due to the fact that perlite has greater porosity and aeration, which prevents excess humidity, reduces the presence of fungi, and favors the formation of roots (Rivera-Rodríguez et al., 2016).
Rosier et al. (2004a) evaluated the survival in rooted cuttings of Pinus virginiana Mill. when applying 10 and 60 mMol of IBA, representing 0.2 and 1.2 % IBA per solution liter, respectively, and obtained a survival rate of 85 and 55 %. In the rooting of cuttings of Abies fraseri (Pursh) Poir., a survival of 100, 97 and 77.5 % is documented when using concentrations of 10 mMol (0.2 % IBA), 1 mMol (0.02 % IBA), and 60 mMol (1.2 % IBA), respectively (Rosier et al., 2004b).
The higher survival obtained in the present work, with an intermediate dose of IBA (0.05 %) indicates that the hormone concentration should be high enough, but without excesses that may negatively affect survival, such concentration may increase as a consequence of the toxicity generated by the rooting agent on the cuttings. This effect was observed in the rooting of cuttings of Pinus patula Schiede ex Schltdl. et Cham. by Bautista-Ojeda et al. (2022), who indicate a survival of 56.7 % when using a rooting agent with a 0.5 % concentration of IBA. Saini (2001) also observed toxicity caused by a high concentration of IBA, he determined that the survival rate of rooted cuttings of Cupressus cashmeriana was less than 50 % when he applied a rooting agent with more than 0.8 % of IBA, while when using concentrations of IBA below 0.5 %, the survival rate was higher than 70 %.
In the rooting of Pinus virginiana cuttings, the highest root growth (60 cm) was obtained when high concentrations of IBA were applied (60 mMol–1.2 %) (Rosier et al., 2004a). This result contrasts with those obtained in the present study, in which significant differences were recorded when comparing between the root growth of cuttings without a rooting agent (control) and cuttings with an IBA concentration of 0.8 % (Raizplant® 500) and 0.05 % of auxins, cytokinins and gibberellins (Raizone® Plus). According to Benítez et al. (2002), rooting success is higher in semi-hardwood species; this would explain the greater growth in roots of P. virginiana, whose wood density varies from 0.61 g cm-3 (McCormack et al., 2012), compared to Cupressus macrocarpa, which has an average wood density of 0.436 g cm-3 (Todoroki et al., 2015).
Root growth was higher in cuttings with the 0.15 % IBA rooting agent (Radix® 1 500), compared to that achieved with rooting agents with higher IBA concentrations (Raizone® Plus with 0.8 % IBA and Radix® 10 000 with 1 % IBA), which is the response to an apparent toxicity on the species under study in the presence of high concentrations of hormone induced by the rooting agent (Blythe et al., 2007). The higher root growth of cuttings without a rooting agent (control) could be due to the fact that some species naturally generate enough phytohormones to achieve rooting (Valdés et al., 2003).
Five months after the cuttings were made, Mamani and Fernández (2017) observed an average root growth of 7.19 cm when rooting the cuttings of Cupressus macrocarpa var. goldcrest in a sphagnum peat moss substrate. When using as a substrate a combination of clay, sphagnum peat moss, and sand in a proportion of 2:7:3 for the rooting of Chamaecyparis lawsoniana (A. Murray) Parl., a root growth of 6.28 cm was reported three months after the cuttings were made (Spanos et al., 1999). Considering that the evaluation period for the base mixture was similar, the results obtained by these authors are similar to the average ones of the present work, presumably because this mix, which includes sphagnum peat moss, is a substrate with good porosity which provides support to the plant and has good levels of drainage and aeration, characteristics that are crucial to favor the propagation of forest species (Hartmann et al., 2010).
Root survival and growth due to the effect of the interaction between factors
Significant statistical differences were recorded in the survival rate (p=0.008) and root growth (p=0.028) of the cuttings due to the effect of the triple interaction between the factors of the evaluated treatments (Table 3).
Table 3. Average (A), median (M), standard errors (SE), and median comparison (MC) survival and root growth ofCupressus macrocarpa Hartw. ex Gord. var. lutea Topacio cuttings by the effect of the interaction between the various levels of the evaluated factors.
Treatment |
Substrate |
Rooting agent |
Condition of development of the cutting |
Survival (%) |
Root growth (cm) |
||||||
A |
M |
SE |
MC |
A |
M |
SE |
MC |
||||
1 |
Base mix |
Radix® 10 000 |
Lignified |
27.50 |
22.5 |
11.99 |
abcd |
8.37 |
7.00 |
0.61 |
b |
2 |
Tender |
18.75 |
17.50 |
6.25 |
abcd |
3.44 |
3.50 |
0.60 |
c |
||
3 |
Radix® 1 500 |
Lignified |
36.25 |
37.50 |
10.68 |
abc |
8.64 |
6.50 |
0.66 |
b |
|
4 |
Tender |
37.50 |
35.00 |
8.54 |
ab |
6.78 |
5.20 |
0.54 |
b |
||
5 |
Raizone® |
Lignified |
10.00 |
7.50 |
6.12 |
bcd |
6.56 |
6.15 |
1.20 |
b |
|
6 |
Tender |
5.00 |
5.00 |
2.04 |
cd |
4.06 |
2.70 |
1.36 |
c |
||
7 |
Raizplant® |
Lignified |
15.00 |
15.00 |
2.89 |
abcd |
6.89 |
5.95 |
0.74 |
b |
|
8 |
Tender |
1.25 |
0.00 |
1.25 |
d |
6.60 |
6.60 |
0.40 |
b |
||
9 |
Control |
Lignified |
6.25 |
5.00 |
1.25 |
bcd |
10.47 |
8.55 |
3.46 |
b |
|
10 |
Tender |
2.50 |
0.00 |
2.50 |
d |
11.75 |
14.10 |
3.15 |
a |
||
11 |
Perlite |
Radix® 10 000 |
Lignified |
17.50 |
15.00 |
2.50 |
abcd |
8.67 |
8.10 |
0.77 |
b |
12 |
Tender |
5.00 |
5.00 |
0.08 |
cd |
6.97 |
4.75 |
2.34 |
b |
||
13 |
Radix® 1 500 |
Lignified |
45.0 |
42.50 |
12.42 |
a |
10.23 |
9.05 |
0.52 |
b |
|
14 |
Tender |
12.5 |
12.50 |
3.23 |
bcd |
4.85 |
4.00 |
0.63 |
c |
||
15 |
Raizone® |
Lignified |
31.25 |
30.00 |
6.57 |
bcd |
10.09 |
10.70 |
1.59 |
b |
|
16 |
Tender |
5.00 |
5.00 |
2.04 |
cd |
5.85 |
3.65 |
2.80 |
b |
||
17 |
Raizplant® |
Lignified |
7.50 |
7.50 |
3.23 |
bcd |
5.54 |
5.60 |
0.78 |
b |
|
18 |
Tender |
11.25 |
7.50 |
7.18 |
bcd |
7.35 |
6.70 |
1.08 |
b |
||
19 |
Control |
Lignified |
13.75 |
12.50 |
6.88 |
abcd |
10.87 |
11.20 |
0.96 |
a |
|
20 |
Tender |
1.25 |
0.00 |
1.25 |
d |
8.30 |
8.30 |
2.80 |
b |
||
Different letters indicate significant statistical differences (p<0.05) between interactions according to Dunnett's medians test.
The best survival rate (45 %) was obtained with treatment 13: lignified cuttings-perlite-Radix® 1 500 (0.15 % IBA), followed by treatment 4 with 37.5 %, whose common factor with the superior treatment was the rooting agent Radix® 1 500, indicating that this was important for the rooting of the cuttings. The survival rates of treatments 1, 2, 3, 4, 7, 11, 15 and 19 coincide with each other in certain statistical groups, and even with treatment 13 when related to intermediate groups. 77.8 % of these treatments had in common the use of lignified cuttings. The lowest survival values (1.2 to 1.5 %) occurred in treatments 8, 10 and 20, in which the common factor was the tender cuttings; in two of them no rooting agent was applied, and in two of them the substrate was a base mix (Table 3).
In the rooting of semi-lignified cuttings of Pinus virginiana (Rosier et al., 2004a) and lignified cuttings of Abies fraseri (Rosier et al., 2004b) propagated in a substrate composed of 60 % perlite and 40 % sphagnum peat moss, the survival rate was higher than 90 % and 85 %, respectively, when a low IBA concentration was used (5 mMol=0.1 % IBA). These results coincide with those of the present study, at least in the interaction between the rooting agent with a low IBA concentration (0.15 %) and the lignified cuttings.
The root growth was statistically outstanding in treatments 10 (tender cuttings propagated in the base mix) and 19 (lignified cuttings propagated in perlite), both characterized by the absence of a rooting agent; the other treatments had a similar effect on root growth.
Rosier et al. (2004a; 2004b) evidenced a higher root growth in tender cuttings of Pinus virginiana when using a base mix and a low dose of IBA (6 mMol=0.12 % IBA). They also achieved good root development in tender Abies fraseri cuttings with a low dose (12 mMol=0.24 % IBA). Root growth in these two species was 1.94 and 7.13 cm four months after the cuttings were made. Both their results and those documented in the present work show that a low IBA concentration favors root growth in tender and lignified cuttings of conifer species, as pointed out by Castro-Garibay et al. (2019), who indicate that high concentrations of IBA can inhibit root growth.
Because the interactions with the greatest taproot growth do not coincide with those with the highest survival rates, between the two alternatives it is desirable to ensure more live cuttings; in this sense, Cabrera et al. (2022) document that rooted vegetative material can be nourished and hormones can be applied to promote root development. On the other hand, the objective of rooting cuttings is the massive cloning of adult trees (Medina et al., 2014). For this reason, in the rooting of lignified lemon cypress cuttings, the use of perlite supplemented with Radix® 1 500 as a substrate will allow a better survival of the cuttings, which in turn will facilitate the obtainment of abundant vegetative material to produce ornamental plants (Cabrera et al., 2007).
Conclusions
The evaluated factors (substrate, rooting medium and type of cuttings), have a significant influence on the survival and root growth of cuttings of Cupressus macrocarpa var. lutea. The use of perlite, 0.15 % IBA and lignified cuttings, is the combination of factors that most favors the survival of the cuttings. A greater longitudinal taproot growth is attained with the absence of a rooting agent (control) for both tender and lignified cuttings, regardless of the substrate utilized.
Acknowledgments
The authors wish to thank the Ministry of Natural Resources and Environment of the Government of the State of Durango, for providing the inputs for the present study; and M. C. José Ignacio Quiñones Díaz for the logistical support for the development of the experiment.
Conflict of interests
The authors declare no conflict of interest.
Contribution by author
José Ángel Prieto-Ruiz: methodological design and supervision of the research, verification of the results and review of the manuscript; Alberto Pérez-Luna: statistical analysis, interpretation of results and review of the manuscript; Miguel Ángel Manríquez-Santillán: research, data capture and drafting of the manuscript; José Ciro Hernández-Díaz: experimental design and review of the manuscript; Eusebio Montiel-Antuna: review of the manuscript; Jesús Alejandro Soto-Cervantes: statistical analysis, interpretation of results and review of the manuscript.
References
Bailey, J. P., K. Bímová and B. Mandák. 2009. Asexual spread versus sexual reproduction and evolution in Japanese Knotweed s.l. sets the stage for the “Battle of the Clones”. Biological Invasions 11(5):1189-1203. Doi: 10.1007/s10530-008-9381-4.
Bautista-Ojeda, G. I., J. J. Vargas-Hernández, M. Jiménez-Casas y M. C. G. López-Peralta. 2022. Manejo de planta y aplicación de AIB en el enraizado de estacas de Pinus patula. Madera y Bosques 28(1):e2812060. Doi: 10.21829/myb.2022.2812060.
Benítez P., D., F. Flores V. y J. I. Valdez H. 2002. Reproducción vegetativa de dos especies arbóreas en un manglar de la costa norte del Pacífico mexicano. Madera y Bosques 8(2):57-71. Doi: 10.21829/myb.2002.821301.
Blythe, E. K., J. L. Sibley, K. M. Tilt and J. M. Ruter. 2007. Methods of auxin application in cutting propagation: a review of 70 years of scientific discovery and commercial practice. Journal of Environmental Horticulture 25(3):166-185. Doi: 10.24266/0738-2898-25.3.166.
Cabrera R., J., F. Martínez M. y L. Granada C. 2007. Producción de cedro limón Cupressus macrocarpa var. Goldcrest en Morelos. Folleto Técnico Núm. 29. INIFAP-Campo Experimental Zacatepec. Zacatepec, Mor. México. 18 p.
Cabrera R., R., M. Jiménez C., M. Á. López L. y J. P. Parra P. 2022. Manejo nutrimental de árboles de pino híbrido y uso de ácido indolbutírico para su clonación por estacas. Revista Mexicana de Ciencias Forestales 13(69):132-154. Doi: 10.29298/rmcf.v13i69.1070.
Castro-Garibay, S. L., A. Villegas-Monter y R. Contreras-Maya. 2019. Enraizamiento de estacas en tres cultivares de arándano (Vaccinium corymbosum L.). Agroproductividad 12(3):63-68. Doi: 10.32854/agrop.v0i0.1328.
Cuevas-Cruz, J. C., M. Jiménez-Casas, J. Jasso-Mata, P. Pérez-Rodríguez, J. López-Upton y Á. Villegas-Monter. 2015. Asexual propagation of Pinus leiophylla Schiede ex Schltdl. et Cham. Revista Chapingo Serie Ciencias Forestales y del Ambiente 21(1):81-95. Doi: 10.5154/r.rchscfa.2014.08.033.
Hartmann, H. T., D. E. Kester, F. T. Davies Jr. and R. L. Geneve. 2010. Hartmann and Kester’s plant propagation: Principles and practices. Pearson education Limited. Edinburgh, STK, United Kingdom. 927 p.
Iglesias G., L., J. Á. Prieto R. y M. Alarcón B. 1996. La propagación vegetativa de plantas forestales. Revista Ciencia Forestal en México 21(79):15–41. http://cienciasforestales.inifap.gob.mx/index.php/forestales/article/view/998/2303. (29 de agosto de 2021).
Lahiri, A. K. 1975. Propagation of Cupressus cashmiriana Royle and Cryptomeria japonica, Don by stem cuttings. Indian Forester 101(5):264-268. https://www.cabdirect.org/cabdirect/abstract/19750626518. (05 de septiembre de 2021).
Mackenzie, K. A. D., B. H. Howard and R. S. Harrison-Murray. 1986. The anatomical relationship between cambial regeneration and root initiation in wounded winter cuttings of the apple rootstock M.26. Annals of Botany 58(5):649-661. Doi: 10.1093/oxfordjournals.aob.a087228.
Mamani I., W. y C. M. Fernández C. 2017. Estudio comparativo en el enraizado de pino limón (Cupressus macrocarpa var. Goldcrest) y Chamaecyparis azul (Chamaecyparis lawsoniana var. Ellwoodii) con cuatro tipos de sustrato en cámara de subirrigación en el vivero Ekornat-Garden, La Paz. Revista Apthapi 3(1):11-22. http://apthapi.agro.umsa.bo/index.php/ATP/article/view/155/145. (20 de septiembre de 2021).
McCormack, M. L., T. S. Adams, E. A. H. Smithwick and D. M. Eissenstat. 2012. Predicting fine root lifespan from plant functional traits in temperate trees. New Phytologist 195(4):823-831. Doi: 10.1111/j.1469-8137.2012.04198.x.
Medina R., M. A., H. R. Mosquera y C. L. Aguilar M. 2014. Micropropagación clonal y enraizamiento ex vitro de tres cultivares de piña Ananas comosus (L. Merr.) del Chocó, Colombia. Revista Biodiversidad Neotropical 4(2):133-140. https://dialnet.unirioja.es/servlet/articulo?codigo=5168070. (15 de julio de 2022).
Mudge, K., J. Janick, S. Scofield and E. E. Goldschmidt. 2009. A History of Grafting. In: Horticultural Reviews Volume 35. John Wiley & Sons., Inc., Publication. Hoboken, NJ, USA. pp. 437-493. https://pubag.nal.usda.gov/download/39857/PDF. (13 de agosto de 2021).
Oseni, O. M., V. Pande and T. K. Nailwal. 2018. A review on plant tissue culture, a technique for propagation and conservation of endangered plant species. International Journal of Current Microbiolgy and Applied Sciences 7(7):3778-3786. Doi: 10.20546/ijcmas.2018.707.438.
Pérez-Luna, A., J. Á. Prieto-Ruíz, J. López-Upton, A. Carrillo-Parra, C. Wehenkel, J. A. Chávez-Simental and J. C. Hernández-Díaz. 2019. Some factors involved in the success of side veneer grafting of Pinus engelmannii Carr. Forests 10(112):1-18. Doi: 10.3390/f10020112.
Petit-Aldana, J., G. Uribe-Valle y R. Muchacho B. 2010. Comportamiento del ciprés (Cupressus lusitanica Mill.) en la producción de árboles de navidad bajo condiciones de clima alto andino, Venezuela. Revista Chapingo Serie Ciencias Forestales y del Ambiente 16(1):13-19. Doi: 10.5154/r.rchscfa.2009.04.010.
R Core Team. 2020. The R Project for Statistical Computing. The R foundation for statistical computing. Vienna, Austria. https://www.R-project.org/. (10 de junio de 2020).
Raup, A. and M. D. Taylor. 2012. Cutting type and auxin treatment affect rooting of Cupressus cashmeriana. Journal of Environmental Horticulture 30(4):211-213. Doi: 10.24266/0738-2898.30.4.211.
Rivera-Rodríguez, M. O., J. J. Vargas-Hernández, J. López-Upton, A. Villegas-Monter y M. Jiménez-Casas. 2016. Enraizamiento de estacas de Pinus patula. Revista Fitotecnia Mexicana 39(4):385-392. https://www.scielo.org.mx/pdf/rfm/v39n4/0187-7380-rfm-39-04-00385.pdf. (23 de mayo de 2022).
Rosier, C. L., J. Frampton, B. Goldfarb, F. C. Wise and F. A. Blazich. 2004a. Growth stage, auxin type, and concentration influence rooting of Virginia pine stem cuttings. HortScience 39(6):1392-1396. Doi: 10.21273/HORTSCI.39.6.1392.
Rosier, C. L., J. Frampton, B. Goldfarb, F. A. Blazich and F. C. Wise. 2004b. Growth stage, auxin type, and concentration influence rooting of stem cuttings of fraser fir. HortScience 39(6):1397-1402. Doi: 10.21273/HORTSCI.39.6.1397.
Saini, R. P. 2001. Vegetative propagation in silviculture (hills) division, Darjeeling (West Bengal). Indian Forester 127(4):389–408. Doi: 10.36808/if/2001/v127i4/3103.
Salem, M. Z. M., H. O. Elansary, H. M. Ali, A. A El-Settawy, … and K. Skalicka-Woźniak. 2018. Bioactivity of essential oils extracted from Cupressus macrocarpa branchlets and Corymbia citriodora leaves grown in Egypt. BMC Complementary Alternative Medicine 18(1):1-7. Doi. 10.1186/s12906-018-2085-0.
Scalabrelli, G. and G. A. Couvillon. 1986. Ethylene release from peach hardwood cuttings after treatment for increasing rooting. Acta Horticulturae 179:863-867. Doi: 10.17660/ActaHortic.1986.179.149.
Shiembo, P. N., A. C. Newton and R. R. B. Leakey. 1997. Vegetative propagation of Ricinodendron heudelotii, a West African fruit tree. Journal of Tropical Forest Science 9(4):514-525. https://www.jstor.org/stable/23616427. (23 de mayo de 2022).
Somerville, A. 1993. Growth and utilisation of young Cupressus macrocarpa. New Zealand Journal of Forestry Science 23(2):163-178. https://www.scionresearch.com/__data/assets/pdf_file/0011/59762/NZJFS2321993SOMERVILLE163_178.pdf. (15 de agosto de 2021).
Spanos, K. A., A. Pirrie and S. Woodward. 1999. The effect of fertiliser and shading treatments on rooting efficiency in cuttings of the Cupressaceae. Silvae Genetica 48(5):248-254. https://www.thuenen.de/media/institute/fg/PDF/Silvae_Genetica/1999/Vol._48_Heft_5/48_5_248.pdf. (10 de Agosto de 2021).
Todoroki, C. L., C. B. Low, H. M. McKenzie and L. D. Gea. 2015. Radial variation in selected wood properties of three cypress taxa. New Zealand Journal of Forestry Science 45(1):1-14. Doi: 10.1186/s40490-015-0049-4.
Valdés, A. E., B. Fernández and M. L. Centeno. 2003. Alterations in endogenous levels of cytokinins following grafting of Pinus radiata support ratio of citokinins as an index of ageing and vigour. Journal of Plant Physiology 160(11):1407-1410. Doi: 10.1078/0176-1617-00992.
Todos los textos publicados por la Revista Mexicana de Ciencias Forestales –sin excepción– se distribuyen amparados bajo la licencia Creative Commons 4.0 Atribución-No Comercial (CC BY-NC 4.0 Internacional), que permite a terceros utilizar lo publicado siempre que mencionen la autoría del trabajo y a la primera publicación en esta revista.