Revista Mexicana de Ciencias Forestales Vol. 9 (46)
Marzo-Abril (2018)
DOI:https://doi.org/10.29298/rmcf.v9i46.119 Artículo Desarrollo de ecuaciones alométricas de biomasa para la regeneración de cuatro especies en Durango, México Development of biomass allometric equations for the regeneration of four species in Durango, Mexico Favian Flores Medina1, Daniel José Vega-Nieva1*, José Javier Corral-Rivas1, Juan Gabriel Álvarez-González2, Ana Daria Ruiz-González2, Carlos Antonio López-Sánchez1 y Artemio Carillo Parra1 |
Fecha de recepción/Reception date: 25 de octubre de 2017
Fecha de aceptación/Acceptance date: 19 de febrero de 2018
_______________________________
1Universidad Juárez del Estado de Durango. México.
2Escuela Politécnica Superior, Universidad de Santiago de Compostela. España.
*Autor por correspondencia, correo-e: danieljvn@gmail.com
Resumen:
El objetivo del trabajo consistió en el desarrollo de ecuaciones alométricas para estimar la biomasa aérea por fracciones de grosor de la regeneración de Arbutus arizonica, Juniperus deppeana, Quercus sideroxyla y Pinus cooperi en la Unidad de Manejo Forestal (Umafor 1008) en el estado de Durango. Se utilizaron datos provenientes de 114 individuos (25, 29, 30 y 30, respectivamente), colectados mediante un muestreo destructivo para ajustar los modelos. La aditividad de las ecuaciones de estimación de biomasa se aseguró mediante el ajuste simultáneo de todas las ecuaciones, con el procedimiento estadístico denominado 3SLS (Three-Stage Least Squares). Los modelos desarrollados permiten estimar la biomasa en peso seco de los componentes, peso total, hojas, ramillas (< 0.5 cm), ramas finas (0.51 – 2.5 cm), ramas gruesas y tronco (> 2.51 cm). Las ecuaciones alométricas con mejor ajuste correspondieron al peso total, con valores de coeficiente de determinación ajustado de 0.97, 0.94, 0.95 y 0.97 para Arbutus, Juniperus, Quercus y Pinus cooperi, respectivamente. En general las ecuaciones mostraron un ajuste satisfactorio en cada una de las fracciones; con ellas se podrán hacer estimaciones no destructivas de la biomasa por categoría de grosor de la regeneración de las cuatro especies estudiadas, lo que mejorará las predicciones de biomasa y almacén de carbono por fracciones en los bosques con presencia de los cuatro taxa estudiados.
Palabras clave: Biomasa, carbono, modelos alométricos, fracción de grosor, regeneración.
Abstract:
The objective of this work was to develop allometric equations in order to estimate the biomass by thickness fractions of the regeneration of Arbutus arizonica, Juniperus deppeana, Quercus sideroxyla and Pinus cooperi trees of the Forest Management Unit (1008 Umafor) in the state of Durango. The data of 114 individuals (25, 29, 30 and 30, respectively) was used, collected through a destructive sampling, for adjusting the models. The additivity of the equations used to estimate the biomass is assured by the simultaneous adjustment of all equations, with the statistical procedure called 3SLS (Three-Stage Least Squares). The developed models make it possible to estimate the biomass in dry weight of the components, total weight, leaves, twigs (< 0.5 cm), thin branches (0.51 - 2.5 cm), thick branches and trunk (> 2.51 cm). The allometric equations with the best fit corresponded to the total weight, with adjusted coefficient of determination values of 0.97, 0.94, 0.95 and 0.97 for Arbutus, Juniperus, Quercus and Pinus cooperi, respectively. In general, the equations showed a satisfactory adjustment in each of the fractions; they allow non-destructive estimates of biomass by category of thickness of the regeneration of the four studied species, which will improve the predictions of biomass and carbon storehouse by fractions in the forests with the presence of the four studied taxa.
Key words: Biomass, carbon, allometric models, thickness fraction, regeneration.
Introduction
The allometric models constitute important tools for an appropriate estimation of the biomass and carbon in forests and are employed in the inventories of fuels for the estimation of loads of different fractions of both adult and regenerated trees.
The work of allometries generally considered the fractions of biomass of leaves, trunk, and branches according to their thickness; the categories of twigs (<0.5 cm), thin branches (usually 0. 5 to 2.5 cm) and medium and thick branches (usually >2.5 and 7.5 cm, respectively) are the most common (Reed and Toméb, 1998; Álvarez et al., 2005; Antonio et al., 2007; Muñoz et al., 2008; Pérez-Cruzado et al., 2011a, 2011b; González-García et al., 2013; Jiménez et al., 2013; Vega-Nieva et al., 2015).
The allocation of biomass in fractions changes in relation to the normal diameter (Fontes et al., 2006; Antonio et al., 2007; Vega-Nieva et al., 2015); this makes it necessary to evaluate the allocation at different stages of development of the masses. For example, in the work of Antonio et al. (2007), there were differences in the allometries developed for Eucalyptus globulus Labill., according to the status of development of the mass, and the development of the specific models in young trees with small dimensions. In Mexico, the biomass of the fractions of leaves, twigs, and branches has been observed to represent up to 55 % that in young trees with diameters of less than 15 cm; in contrast, in trees with diameters above 20 cm, there is a higher concentration of biomass in the main stem (Soriano-Luna et al., 2015; Vargas-Larreta et al., 2017).
The modeling of the amount of biomass in each of these fractions over different ages is important for carbon accounting systems (Pérez-Cruzado et al., 2011b; González-García et al., 2013). Also, it is important to know the biomass present in different fractions resulting from the differences in patterns of accumulation of nutrients between fractions and ages, which is relevant for assessing the nutritional sustainability of the management of the forest masses, based on such management practices as the removal of finer fractions, or the ages of rotation in the balance of nutrients of the arboreal masses (Brañas et al., 2000; Dambrine et al., 2000; Laclau et al., 2000; Merino et al., 2003, 2005).
In Mexico, allometric models have been developed for different needs (Morfín-Ríos et al. 2012; Ruiz-Díaz et al. 2014), and most of the available studies on biomass allometries focus on adult trees (Acosta-Mireles et al., 2002; Díaz-Franco et al., 2007; Návar-Cháidez, 2009; Aguirre-Calderón and Jiménez-Pérez, 2011), while there is relatively little research on the estimation of biomass during the regeneration stage (Vargas-Larreta et al. 2017; Montes de Oca-Cano et al. 2009; Montes de Oca-Cano et al., 2012). This information is of special interest, due to the need to know the amounts of carbon captured in the forests during all stages of growth and fractions of the trees (Vargas-Larreta et al. 2017).
The objective of this study was to develop allometric equations for estimating the biomass by thickness fractions of four species at the regenerationn stage in mixed and irregular ecosystems of Durango.
Materials and Methods
The study was carried out at the Regional Forest Management Unit (Umafor) No. 1008, located to the southwest of the state of Durango, at the coordinates 23°06'59'' and 24°11'38'' N, and 105°55'56'' and 105°10'31'' W. The study area includes parts of the municipalities of Durango, San Dimas and Pueblo Nuevo, and covers a surface of approximately 558 thousand hectares. It comprises seven different types of climate according to Köppen’s classification modified by García (1988), the most predominant of which are warm-humid C(w2), semi-warm sub-humid (A) C(w2) and semi-cold sub-humid Cb'(w2); with annual precipitations of 800 to 1 200 mm (SRNyMA-Conafor, 2007). The most important plant communities of the region consist of pine forest, followed by pine-oak forest associations and, in a lower proportion, low deciduous forests, grasslands, and the area of rain-fed agriculture (Inegi, 2012).
Sampling for the destructive analysis
114 regenerated individuals were selected: 30 specimens of Pinus cooperi C.E. Blanco, 30 of Quercus sideroxyla Humb. & Bonpl., 29 of Juniperus deppeana Steud. and 25 of Arbutus arizonica Sarg. All specimens were free of pests, diseases, and physical and mechanical defects; they were randomly selected to represent the category of the regeneration and thicket stages, with a base diameter of 10 cm or less. The dendrometric variables measured in the field for each tree were: base diameter (bd), diameter at breast height (dbh) and crown diameter (cd), with two crosswise measurements. Once the trees were felled, the total height (h), the height of the dry crown (hdc), the height of the living crown (hlc), the length of the dry crown (ldc) and the length of the living crown (llc) were measured, as recommended by Gómez-García et al. (2013). All measures were expressed in centimeters.
Each individual was felled and stored in plastic bags in order to prevent loss of moisture. Each was labeled with an identification key composed of the number of the specimen and the date of collection.
Laboratory analysis
Each tree was divided into the following thickness fractions: leaves, twigs (<0.5 cm), thin branches (>0.51 - 2.5 cm), trunk and thick branches of > 2.51 cm. The total living weight per fraction was estimated, with a (Ohaus explorer EX4202) precision scale, in 0.001 g for the biomass of the leaves and smaller branches; for the thin and thick branches and the stem, the estimated weight was 0.01 g. The individual fractions were bagged and labeled, and then placed in a (Felisa FE-294A) drying oven, for 8 to 10 days, at 75 °C, until a constant dry weight was attained.
Adjustment of biomass equations
A non-linear regression analysis between the variables measured in the field (bd, h, hdc, hlc, cd, dbh, ldc and llc) and the measurements of load per fraction (twigs, thin branches, thick branches and trunk, leaves, and total) was carried out in the laboratory. For the estimation of the dry weight different non-linear equations were tested, with different combinations of predictive variables; the best results were adjusted by least-squares, using the model of the SAS/ETSTM software (SAS, 2009).
The equations were adjusted simultaneously for thickness fraction and for total thickness in order to ensure the additivity (Álvarez-González et al., 2007). This is one of the most important properties with which the equations of biomass of the various components must comply (Cunia, 1986; Parresol, 1999; Antonio et al., 2007), namely, that the sum of the estimates of the weights of all components or fractions must be equal to the estimated total weight of the tree. This is achieved through the simultaneous adjustment of the different mathematical models proposed for each fraction. The technique is based on the adjustment of a system of seemingly unrelated equations formed by the regression functions of the k tree components along with the total biomass (Álvarez-González et al., 2007).
. . . . |
Where:
= Estimated biomass
= Set of explanatory variables
In this system, the equations of the tree fractions need not all have the same mathematical expression or the same predictive variables. The independent variables in the total biomass model are all regressor variables that appear in the mathematical expressions of each component. The parameters of the equations were obtained simultaneously with the Three-Stage Least Squares methodology (3SLS); the MODEL procedure model of the SAS/ETSTM was utilized for this purpose (SAS, 2009). In the adjustment of biomass models it is important to check the constancy of the variance of the residuals (Picard et al., 2012) in order to rule out problems of heteroskedasticity; that is to say, that the variance of the errors will not be constant (Parresol, 2001). White (1980) contrast was applied in order to analyze the presence of heteroskedasticity. The heteroskedasticity is corrected during adjustment of the equations, through the weighing of each observation by the inverse of its variance (). Because this variance is unknown, it is assumed that it can be modeled with a potential function , where xi is a function of one or more of the independent variables of the model. The k-value of the exponent and the variables to be included (xi) are determined by the errors of the adjusted model without weights (êi), as the dependent variable in the potential model of variance of the error (Park, 1966; Harvey, 1976), and by testing different combinations of variables and exponents, in order to optimize the result of the linear adjustment derived from taking logarithms in the following expression:
Criteria for the selection of models
The criteria for determining the best model were the graphic analysis of the residuals; the coefficient of determination (R2), which reflects the total explained variability, and the square root of the mean square error (RMSE), which analyzes the accuracy of the estimates, according to the following equations:
Where:
yi, , and = Observed value, estimated value and average of the dependent value
n = the total number of observations used to adjust the model
p = Number of parameters of the model
In addition to the statistics described above, one of the most efficient ways to assess the capacity of adjustment of a model is visual inspection; for this reason the residual plots were analyzed against predicted values of the dependent variable.
Results and Discussion
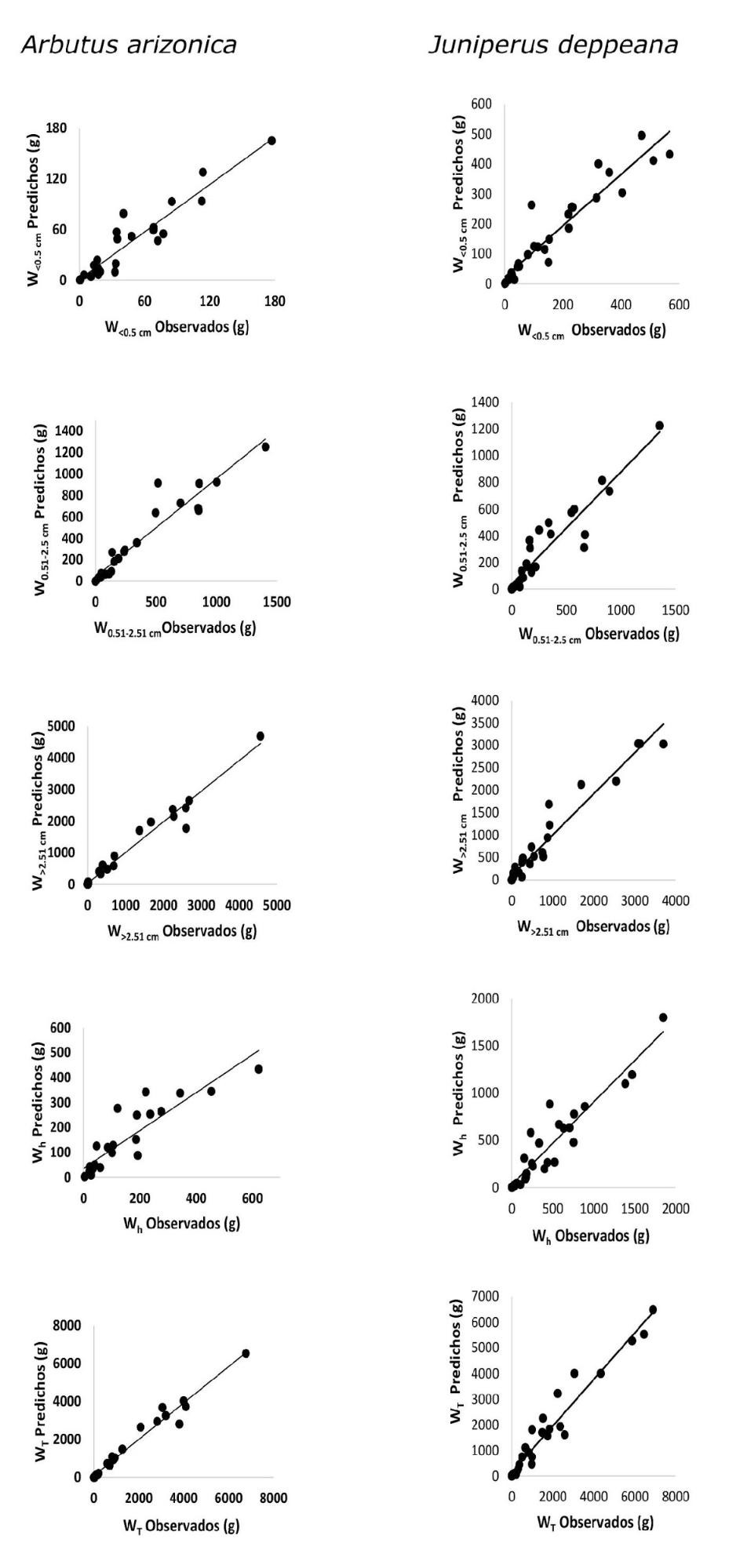
Figure 1 shows the graphic representation of the values of the biomass of fractions by component against the independent variable that had the greatest influence on the allometric equations for Arbutus arizonica, Juniperus deppeana sideroxyla, Quercus and Pinus cooperi.
db = Base diameter (bd); h = Total height; lcs = Length of the dry crown (ldc);lcv = Length of the living crown (llv); W<0.5 cm = Weight of the thin branches; W0.51-2.5 cm = Weight of the thick branches; W>2.51 cm = Weight of the main stem; Wh = Weight of the leaves (Wl); WT = Total weight.
Figure. 1. Relationship between the biomass in grams of the different components and the most influential explanatory variables of the model by species.
Table 1 shows the expression of the models that exhibited the best results in the individual adjustment per component for the estimation of the biomass by thickness fraction and total thickness of the studied species.
Table 1. Selected models for the estimation of the biomass by thickness fraction and total thickness of Juniperus deppeana Steud., Arbutus arizonica Sarg., Quercus sideroxyla Humb. & Bonpl. and Pinus cooperi C.E. Blanco at the regeneration stage.
W<0.5 cm = Dry weight of the twigs (g); W0.51-2.5 cm = Dry weight of the thin branches (g); W>2.51 cm = Dry weight of thick branches and main stem (g); Wl = dry weight of leaves (g); WT =Total Weight (g); bd = Base diameter of each plant (cm); h = total height of each plant (cm); cd = Crown diameter of each plant (cm); llc = Length of the living crown of each plant (cm); ldc = Length of the dry crown of each plant (cm).
Table 2 shows the estimates of the parameters obtained by means of simultaneous adjustment, the approximate standard errors and the statistical goodness of fit, as well as the weights used in the weighting to correct the heterosckedasticity in the fractions that exhibited this problem.
Table 2. Estimation of the parameters, and statistical goodness-of-fit obtained for the equations of the biomass per thickness fraction through simultaneous adjustment by 3SLS.
Species | Component | Param | Estimate | S.E | RMSE (g) | Weights | R2 |
J. deppeana | Twigs | a1 | 0.1957 | 0.0863 | 55.64 | 0.88 | |
a2 | 1.0708 | 0.2112 | |||||
Thin branches | a3 | 0.1441 | 0.0778 | 123.27 | 0.86 | ||
a4 | 1.1372 | 0.2534 | |||||
Thick branches | a5 | 3.7E-6 | 4.8E-6 | 305.20 | 0.92 | ||
a6 | 2.5272 | 0.2181 | |||||
Leaves | a7 | 0.2847 | 0.1387 | 162.94 | 0.88 | ||
1.2422 | 0.2522 | ||||||
Total weight | 507.94 | 0.94 | |||||
A. arizonica | Twigs | a1 | 0.0073 | 0.0158 | 15.19 | 0.87 | |
a2 | 1.6580 | 0.3734 | |||||
Thin branches | a3 | 0.2060 | 0.0556 | 120.63 | 0.90 | ||
a4 | 1.1329 | 0.1420 | |||||
Thick branches | a5 | 0.0032 | 0.0040 | 268.43 | 0.95 | ||
a6 | 1.9222 | 0.2058 | |||||
Leaves | a7 | 0.3732 | 0.4947 | 69.95 | 0.78 | ||
a8 | 0.7810 | 0.2361 | |||||
Total weight | 322.40 | 0.97 | |||||
Q. sideroxyla | Twigs | a1 | 0.0396 | 0.0174 | 80.93 | 0.93 | |
a2 | 1.9577 | 0.2044 | |||||
Thin branches | a3 | 0.3768 | 0.0827 | 237.06 | 0.88 | ||
a4 | 1.2930 | 0.1181 | |||||
Thick branches | a5 | 0.0683 | 0.0291 | 598.09 | 0.94 | ||
2.6210 | 0.2022 | ||||||
Leaves | a7 | 0.1640 | 0.0901 | 132.58 | 0.79 | ||
a8 | 1.3279 | 0.2562 | |||||
Total weight | 905.08 | 0.95 | |||||
P. cooperi | Twigs | a1 | 0.1024 | 0.0652 | 35.75 | 0.69 | |
a2 | 0.8569 | 0.2690 | |||||
Thin branches | a3 | 8.2417 | 1.6303 | 129.95 | 0.79 | ||
a4 | 2.0242 | 0.1038 | |||||
Thick branches | a5 | 0.0817 | 0.0394 | 397.83 | 0.96 | ||
a6 | 1.3391 | 0.0731 | |||||
Leaves | a7 | 0.0255 | 0.0439 | 82.21 | 0.84 | ||
a8 | 1.1890 | 0.3194 | |||||
a9 | 1.3917 | 0.3716 | |||||
Total weight | 354.47 | 0.97 | |||||
Param = Model parameters by component; S.E = Approximate Standard Error; RMSE = Root of the mean square error; R2 = Coefficient of determination.
Simultaneous adjustment with the 3SLS technique provided an estimate of the statistical goodness-of-fit that is very similar to that of the individual adjustment. The majority of the species exhibited heteroskedasticity in most of their biomass fractions. This problem was corrected by weighted regression as in other tree biomass estimations (Parresol, 2001; Álvarez-González et al., 2007). Some fractions exhibited no heteroskedasticity according to White’s test, possibly because of the relatively small range of diameters and weights sampled, as the trees were young.
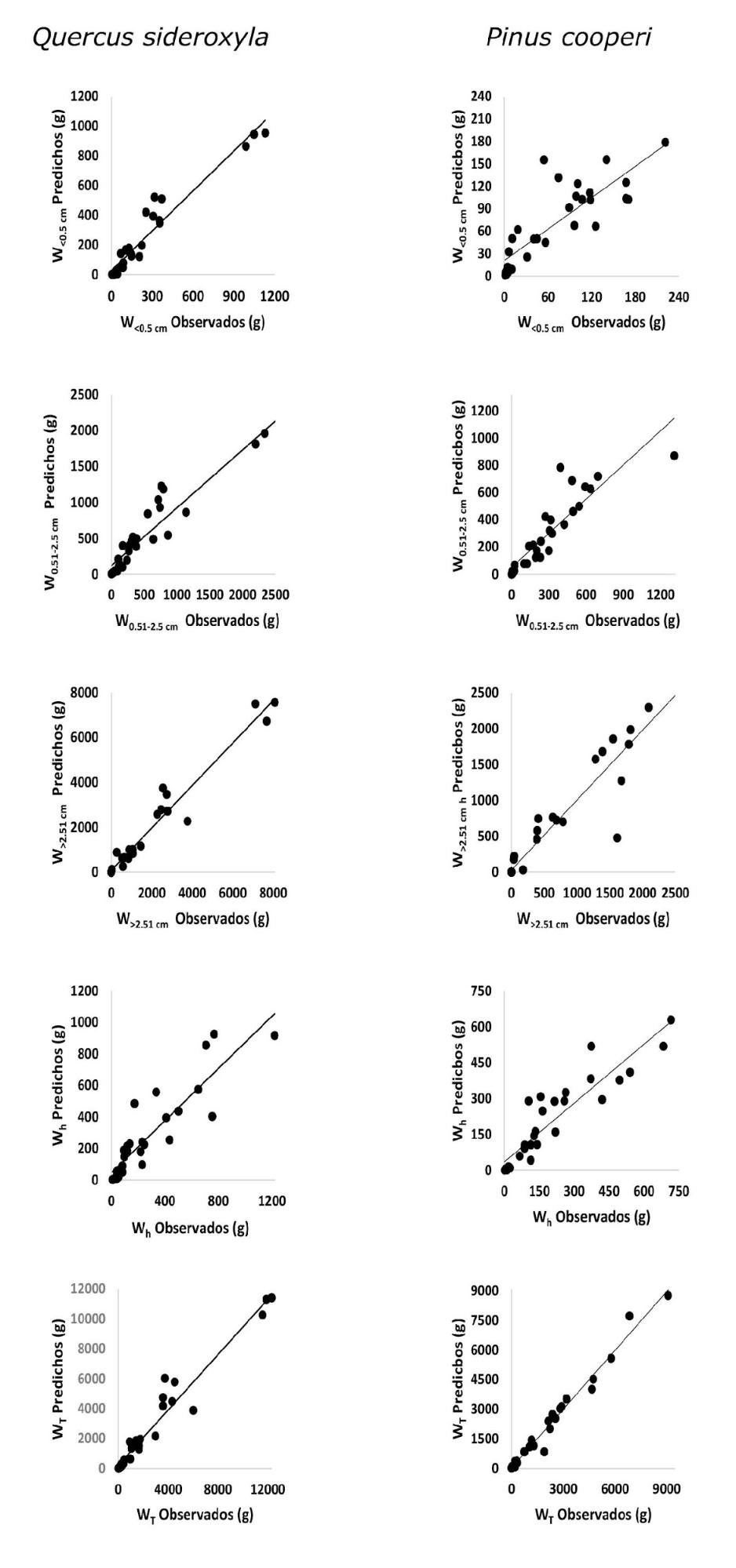
Figure 2 shows the observed values compared to those predicted for the different thickness fractions, for the leaves and for the total weight. The distribution of the cloud of dots on the diagonal line indicates that the models provide estimates with a low bias.
In general, the equations had a satisfactory adjustment and account at least for 69 % of the variability observed. The biomass of the fractions of the leaves and twigs exhibited fair to good adjustments, possibly due to the variability of the structures of the crown and the number of branches (Pardé, 1980). For the fractions of the leaves and twigs, the coefficients of determination were 0.84-0.69, 0.78-0.87, 0.88-0.88 and 0.79-0.93 for P. cooperi, A. arizonica, J. deppeana and Q. sideroxyla, respectively. The fractions of the crown were generally considered as the most difficult to model (Muñoz et al., 2008).
The goodness-of-fits for Pinus are similar to those reported by previous nationwide studies for biomass allometries for this genus (Montes de Oca-Cano et al. 2009; Montes de Oca-Cano et al., 2012; Vargas-Larreta et al., 2017). Montes de Oca-Cano et al. (2009) adjusted the equations of biomass per component for Pinus durangensis trees aged 3 to 10 years; according to their results, the stem had the best statistical adjustment, with an R2 = 0.86, while the coefficients of determination of the branches and leaves were 0.74 and 0.74, respectively; Montes de Oca-Cano et al. (2012) documented similar values, with a R2 of 0.73 for the leaves. Vargas-Larreta et al. (2017) reported values of R2 = 0.74 for the fraction of the leaves of Pinus cooperi, with the variables diameter and height. In the present study, the value of R2 was 0.84 for the leaves of Pinus cooperi, which improved the adjustment by adding the diameter of the crown to the utilized model.
Geudens et al. (2004) obtained the best fit for the aerial biomass in Pinus sylvestris trees aged 1 to 4 years, for the variables diameter and height (dbh2h), with a R2 of 0.95; these results are similar to those reported in the present document, with a coefficient of determination R2 of 0.97. Vargas-Larreta et al. (2017) cite values of R2 of 0.94 and 0.90, respectively, for the best model of total biomass of the regeneration of Pinus cooperi and P. leiophylla; these values are very similar to those estimated in this study for P. cooperi.
The goodness of fits of the adjustments for Quercus are also similar to those cited in the literature. González (2008) estimated the biomass for Quercus spp. in selected trees within the categories of natural regeneration of seedlings with heights of 2 m and trees at pole stage with heights of up to 21 m. The best model for estimating the total biomass included the normal diameter as an independent variable, with a coefficient of determination of 0.96. In the present work, in which simultaneous adjustments were utilized, a similar R2 of 0.96 was obtained. In northwestern Spain, Gómez-García et al. (2013) estimated the biomass of Quercus robur L. by fractions and by total weight; the best fit for the fraction of the leaves, R2 = 0.78, was obtained by using the dbh as the explanatory variable. This is consistent with the coefficient of determination estimated for the leaves of Quercus (0.79) in Durango, through the use of the predictive variables bd and cd.
For the genus Juniperus, the use of the base diameter generated good results in previous works. Thus, in Texas, Reemts (2013) points out that, in small Juniperus ashei J.Buchholz trees (with a basal diameter of < 15 cm), the allometric equations based on the bd and dbh2h had a better adjustment for the total biomass than the equations based only on the height of the tree and the volume of the canopy (R2= 0.95-0.97 versus R2=0.71-0.77). Rodríguez-Laguna et al. (2009) calculated coefficients of determination of 0.97 for Juniperus flaccida Schltdl. using a potential model whose predictive variable was the normal diameter.
In general, the coefficients of determination for Arbutus arizonica were good, and the best was for the total weight, with a R2 value of 0.97. This result is similar to that obtained by Harrington et al. (1984), who estimated the total biomass for Arbutus menziesii Pursh using the normal diameter as the explanatory variable, with a coefficient of determination of 0.97. Another study, conducted by Vargas-Larreta et al. (2017), obtained coefficients of determination of 0.74 and 0.92 for the leaves and for the total weight of Arbutus bicolor S. González,M. González & P.D. Sørensen, respectively, using as predictive variables diameter and height. Ter-Mikaelian and Korzukhin (1997) obtained coefficients of determination of 0.83 for the biomass of the leaves of Arbutus menziesii by using the diameter at breast height as a predictive variable. In the study documented herein, the adjustment for the leaves accounted for 78 % of the variability observed.
Observados = Observed; Predichos = Predicted
Figure 2. Graphics of observed values compared to predicted values of biomass per thickness fraction, for the leaves and for the total biomass of the four studied species.
Although the base diameter was the best explanatory variable for all components of the biomass, the height and length of the living and dry crown improved the allometric models for the fractions of the branches and leaves —similarly to what has been observed in other studies (Williams et al., 2005; Antonio et al., 2007; Paul et al., 2008; Vega-Nieva et al., 2015) —, but at the expense of a greater sampling effort in order to apply the models (Gómez-García et al., 2013).
Conclusions
Systems of equations were developed for estimating the biomass per thickness fraction and for the total thickness of individuals of the species Arbutus arizonica, Juniperus, Quercus sideroxyla and Pinus cooperi at the regeneration stage. These equations allow performing non-destructive estimations of the biomass of the four studied species and improve the estimates of the allocation of biomass, carbon and nutrients by fractions at the different stages of the forest masses. It is important to continue to work with and improve this type of models and to study the biomass of the regenerations of other relevant species.
Acknowledgments
The authors wish to express our gratitude to Conacyt for the financial support granted to the first author for studying the Master's Degree Program in Agricultural and Forest Sciences at the Universidad Juárez del Estado de Durango (Juárez University of the State of Durango). They also appreciate the support provided by the project "Characterization and classification of fuels for generating and validating models of forest fuels for Mexico", code No. 251694, of the Conafor-Conacyt fund. They are equally grateful for the support received from the project "Development of models for the prediction of forest loads in Durango", of the Programa para el Desarrollo del Personal Docente de Tipo Superior, PRODEP (Program for the Development of the Teaching Staff for Higher Education) 2015.
Conflict of interest
The authors declare no conflict of interest.
Contribution by author
Favián Flores Medina: Field work and drafting of the manuscript; Daniel José Vega-Nieva: experimental design, review of the manuscript and coordination of the revisions; Juan Gabriel Álvarez-González, Ana Daria Ruiz-González, Carlos Antonio López-Sánchez, José Javier Corral-Rivas and Artemio Carillo Parra: review of the manuscript and statistical analysis.
References
Acosta-Mireles, M., J. Vargas-Hernández, A. Velásquez-Martínez y J. D. Etchevers-Barra. 2002. Estimación de la biomasa aérea mediante el uso de relaciones alométricas en seis especies arbóreas en Oaxaca, México. Agrociencia 36(6): 725-736.
Aguirre-Calderón, O. A. y J. Jiménez-Pérez. 2011. Evaluación del contenido de carbono en bosque del sur de Nuevo León. Revista Mexicana de Ciencias Forestales 2(6): 73-84.
Álvarez-González, J. G., R. Rodríguez-Soalleiro y A. Rojo-Alboreca. 2007. Resolución de problemas del ajuste simultáneo de sistemas de ecuaciones: heterocedasticidad y variables dependientes con distinto número de observaciones. Cuadernos de la Sociedad Española de Ciencias Forestales 23: 35-42
Álvarez G., J. G., M. A. Balboa M., A. Merino y R. Rodríguez S. 2005. Estimación de la biomasa arbórea de Eucalyptus globulus y Pinus pinaster en Galicia. Recursos Rurais 1(1):21-30.
Antonio, N., M. Tomé, J. Tomé, P. Soares and L. Fontes. 2007. Effect of tree, stand, and site variables on the allometry of Eucalyptus globulus tree biomass. Canadian Journal of Forest Research 37:895–906.
Brañas, J., F. González-Río y A. Merino. 2000. Contenido y distribución de nutrientes en plantaciones de Eucalyptus globulus del Noroeste de la Península Ibérica. Investigación Agraria: Sistemas y Recursos Forestales 9:316–335.
Cunia, T. 1986. Construction of tree biomass tables by linear regression techniques. In: Wharton, E. H. (comp.). Estimating tree biomass regressions and their error. Proceedings of the Workshop on tree biomass regression functions and their contribution to the error of forest inventory estimates. 27-37 May. Syracuse, NY, USA. 30 p.
Dambrine, E., J. A.Vega, T. Taboada, L. Rodríguez, C. Fernández, F. Macías and J. M. Gras. 2000. Bilans d´eléments minéraux dans de petits bassins versants forestiers de Galice (NW Espagne). Annals of Forest Science 57(1): 23–38.
Díaz-Franco, R., M. Acosta-Mireles, F. Carrillo-Anzures, E. Buendía-Rodríguez, E. Flores-Ayala y J. D. Etchevers-Barra. 2007. Determinación de ecuaciones alométricas para estimar biomasa y carbono en Pinus patula Schl. et Cham. Madera y Bosques 13(1): 25-34.
Fontes, L., J. Landsberg, J. Tome, M. Tome, C. A. Pacheco, P. Soares and C. Araujo. 2006. Calibration and testing of a generalized process-based model for use in Portuguese eucalyptus plantations. Canadian Journal of Forest Research 36(12): 3209–3221.
García, E. 1988. Modificaciones al Sistema de Clasificación Climática de Köppen. 4a ed. Instituto de Geografía. Universidad Nacional Autónoma de México. México, D.F., México. 217 p.
Geudens, G., J. Staelens, V. Kint, R. Goris and N. Lust. 2004. Allometric biomass equations for Scots pine (Pinus sylvestris L.) seedlings during the first years of establishment in dense natural regeneration. Annals of Forest Science 61(7):653-659.
Gómez-García, E., F. Crecente-Campo y U. Diéguez-Aranda. 2013. Tarifa de biomasa aérea para abedul (Betula pubescens Ehrh.) y roble (Quercus robur L.) en el noroeste de España. Madera y Bosques 19(1):71-91.
González, Z. M. 2008. Estimación de la biomasa aérea y la captura de carbono en regeneración natural de Pinus maximinoi H.E. Moore, Pinus oocarpa var. ochoterenai Mtz. y Quercus sp. en el norte del Estado de Chiapas, México. Tesis de Magister Scientiae en Manejo y Conservación de Bosques Naturales y Biodiversidad. Centro Agronómico Tropical de Investigación y Enseñanza. Turrialba, Costa Rica. 97 p.
González-García, M., A. Hevia, J. Majada and M. Barrio-Anta. 2013. Above-ground biomass estimation at tree and stand level for short rotation plantations of Eucalyptus nitens (Deane & Maiden) Maiden in Northwest Spain. Biomass and Bioenergy 54: 147–57.
Harrington, T. B., J. C. Tappeiner II and J. D. Walstad. 1984. Predicting leaf area and biomass of 1-to 6-year-old tanoak (Lithocarpus densiflorus) and Pacific madrone (Arbutus menziesii) sprout clumps in southwestern Oregon. Canadian Journal of Forest Research 14(2):209-213.
Harvey, A. C. 1976. Estimating regression models with multiplicative heteroscedasticity. Econometrica 44: 461-465.
Instituto Nacional de Estadística y Geografía (INEGI). 2012. Uso del Suelo y Vegetación Escala 1: 250 000 Serie V, Información vectorial. México, D.F., México. s/p.
Jiménez, E., J. A. Vega, J. M. Fernández-Alonso, D. Vega-Nieva, J. G. Álvarez-González and A. D. Ruiz-González. 2013. Allometric equations for estimating canopy fuel load and distribution of pole-size maritime pine trees in five Iberian provenances. Canadian Journal of Forest Research 43(2): 149–158.
Laclau, J. P., B. Jean-Pierre and J. Ranger. 2000. Dynamics of biomass and nutrient accumulation in a clonal plantation of Eucalyptus in Congo. Forest Ecology and Management 128(3):181–196.
Merino, A., C. Rey, J. Brañas y R. Rodríguez-Soalleiro. 2003. Biomasa aérea y acumulación de nutrientes en plantaciones de Pinus radiata D. Don en Galicia. Investigación Agraria: Sistemas y Recursos Forestales 12 (2): 85-89.
Merino, A., M. A. Balboa, R. Rodríguez-Soalleiro and J. G. Álvarez-González. 2005. Nutrient exports under different harvesting regimes in fast-growing forest plantations in southern Europe. Forest Ecology and Management 207(3): 325–339.
Montes de Oca-Cano, E., P. García-Ramírez, J. A. Nájera-Luna y J. Méndez-González. 2009. Ajuste de ecuaciones de biomasa para Pinus durangensis (Martínez M.) en la región de El Salto, Durango. Revista Chapingo. Serie Ciencias Forestales y del Ambiente 15(1): 65-71.
Montes de Oca-Cano, E., M. Rojas-Ascensión, P. García-Ramírez, J. A. Nájera-Luna, J. Méndez-González y J. J. Graciano-Luna. 2012. Estimación de carbono almacenado en la regeneración natural de Pinus durangensis Martínez en el Salto, Durango. Colombia Forestal 15(2):151-159
Morfín-Ríos, J. E., E. J. Jardel-Peláez, E. Alvarado-Celestino y J. M. Michel-Fuentes. 2012. Caracterización y cuantificación de combustibles forestales. Comisión Nacional Forestal-Universidad de Guadalajara. Guadalajara, Jal., México. 94 p.
Muñoz, F., R. Rubilar, M. Espinosa, J. Cancino, J. Toro and M. Herrera. 2008. The effect of pruning and thinning on above ground aerial biomass of Eucalyptus nitens (Deane & Maiden) Maiden. Forest Ecology and Management 255(3-4): 365–73.
Návar-Cháidez, J. J. 2009. Allometric equations and expansion factors for tropical dry trees of eastern Sinaloa, Mexico. Tropical and Subtropical Agroecosystems 10: 45-52.
Pardé, J. 1980. Forest biomass. Forestry Abstracts 41(8): 343–362.
Park, R. E. 1966. Estimation with Heteroscedastic Error Terms. Econometrica 34(4):888.
Parresol, B. R. 1999. Assessing tree and stand biomass: a review with examples and critical comparisons. Forest Science 45: 573-593.
Parresol, B. R. 2001. Additivity of nonlinear biomass equations. Canadian Journal of Forest Research 31: 865-878.
Paul, K. I., K. Jacobsen, V. Koul, P. Leppert and J. Smith. 2008. Predicting growth and sequestration of carbon by plantations growing in regions of low-rainfall in southern Australia. Forest Ecology and Management 254(2):205–216.
Pérez-Cruzado, C. and R. Rodríguez-Soalleiro. 2011a. Improvement in accuracy of aboveground biomass estimation in Eucalyptus nitens plantations: effect of bole sampling intensity and explanatory variables. Forest Ecology and Management 261(11):2016-2028.
Pérez-Cruzado, C., A. Merino and R. Rodríguez-Soalleiro. 2011b. A management tool for estimating bioenergy production and carbon sequestration in Eucalyptus globulus and Eucalyptus nitens grown as short rotation woody crops in north-west Spain. Biomass and Bioenergy 35(7): 2839–2851.
Picard, N., L. Saint-André y M. Henry. 2012. Manual de construcción de ecuaciones alométricas para estimar el volumen y la biomasa de los árboles. Del trabajo de campo a la predicción. Las Naciones Unidas para la Alimentación y la Agricultura y el Centre de Coopération Internationale en Recherche Agronomique pour le Développement. Rome, Montpellier. 223 p.
Reed, D. and M. Toméb. 1998. Total aboveground biomass and net dry matter accumulation by plant component in young Eucalyptus globulus in response to irrigation. Forest Ecology and Management 103(1): 21-32
Reemts, C. M. 2013. Allometric equations for ashe juniper (Juniperus ashei) of small diameter. The Sounthwestern Naturalist 58(3): 359-363.
Rodríguez-Laguna, R., J. Jiménez-Pérez, O. A. Aguirre-Calderón, E. J. Treviño-Garza y R. Rozo-Zárate. 2009. Estimación de carbono almacenado en el bosque de pino-encino en la reserva de la biosfera el cielo, Tamaulipas, México. Ra Ximhai 5 (3): 317-327.
Ruiz-Díaz, C., G. Rodríguez-Ortiz, J. C. Leyva-López y J. Enríquez-del Valle. 2014. Metodologías para estimar biomasa y carbono en especies forestales en México. Naturaleza y Desarrollo 12(1): 28-45.
Secretaría de Recursos Naturales y Medio Ambiente-Comisión Nacional Forestal (SRNyMA-Conafor). 2007. Plan Estratégico Forestal 2030. Gobierno del estado de Durango. Durango, Dgo., México. 198 p.
Static Analysis System (SAS). 2009. SAS/STAT® Ver. 9.2. User’s Guide 2nd ed. SAS Institute Inc. Cary, NC, USA. 7869 p.
Soriano-Luna, M. A., G. Ángeles-Pérez, T. Martínez-Trinidad, F. O. Plascencia-Escalante y R. Razo-Zárate. 2015. Estimación de biomasa aérea por componente estructural en Zacaultipán, Hidalgo, México. Agrociencia 49(4): 423-438.
Ter-Mikaelian, M. T. and M. D. Korzukhin. 1997. Biomass equations for sixty-five North American tree species. Forest Ecology and Management 97(1):1-24.
Vargas-Larreta, B., C. A. López-Sánchez, J. J. Corral-Rivas, J. O. López Martínez, C. G. Aguirre-Calderón and J. G. Álvarez-González. 2017. Allometric equations for estimating biomass and carbon stocks in the temperate forest of North-Western Mexico. Forests 8, 269. doi: 10.3390/f8080269.
Vega-Nieva, D., E. Valero, J. Picos and E. Jiménez. 2015. Modeling the above and belowground biomass of planted and coppiced Eucalyptus globulus stands in NW Spain. Annals of Forest Science 72(7):967-980.
Williams, R. J., A. Zerihun, K. D. Montagu, M. Hoffman, L. B. Hutley and X. Chen. 2005. Allometry for estimating aboveground tree biomass in tropical and subtropical eucalypt woodlands: towards general predictive equations. Australian Journal of Botany 53:607–619.
White, H. 1980. A Heteroskedasticity-Consistent Covariance Matrix Estimator and a Direct Test for Heteroskedasticity. Econometrica 48(4): 817-838.
All the texts published by Revista Mexicana de Ciencias Forestales–with no exception– are distributed under a Creative Commons License Attribution-NonCommercial 4.0 International (CC BY-NC 4.0), which allows third parties to use the publication as long as the work’s authorship and its first publication in this journal are mentioned.