Revista Mexicana de Ciencias Forestales Vol. 9 (46)
Marzo-Abril (2018)
DOI:https://doi.org/10.29298/rmcf.v9i46.119 Artículo Desarrollo de ecuaciones alométricas de biomasa para la regeneración de cuatro especies en Durango, México Development of biomass allometric equations for the regeneration of four species in Durango, Mexico Favian Flores Medina1, Daniel José Vega-Nieva1*, José Javier Corral-Rivas1, Juan Gabriel Álvarez-González2, Ana Daria Ruiz-González2, Carlos Antonio López-Sánchez1 y Artemio Carillo Parra1 |
Fecha de recepción/Reception date: 25 de octubre de 2017
Fecha de aceptación/Acceptance date: 19 de febrero de 2018
_______________________________
1Universidad Juárez del Estado de Durango. México.
2Escuela Politécnica Superior, Universidad de Santiago de Compostela. España.
*Autor por correspondencia, correo-e: danieljvn@gmail.com
Abstract:
The objective of this work was to develop allometric equations in order to estimate the biomass by thickness fractions of the regeneration of Arbutus arizonica, Juniperus deppeana, Quercus sideroxyla and Pinus cooperi trees of the Forest Management Unit (1008 Umafor) in the state of Durango. The data of 114 individuals (25, 29, 30 and 30, respectively) was used, collected through a destructive sampling, for adjusting the models. The additivity of the equations used to estimate the biomass is assured by the simultaneous adjustment of all equations, with the statistical procedure called 3SLS (Three-Stage Least Squares). The developed models make it possible to estimate the biomass in dry weight of the components, total weight, leaves, twigs (< 0.5 cm), thin branches (0.51 - 2.5 cm), thick branches and trunk (> 2.51 cm). The allometric equations with the best fit corresponded to the total weight, with adjusted coefficient of determination values of 0.97, 0.94, 0.95 and 0.97 for Arbutus, Juniperus, Quercus and Pinus cooperi, respectively. In general, the equations showed a satisfactory adjustment in each of the fractions; they allow non-destructive estimates of biomass by category of thickness of the regeneration of the four studied species, which will improve the predictions of biomass and carbon storehouse by fractions in the forests with the presence of the four studied taxa.
Key words: Biomass, carbon, allometric models, thickness fraction, regeneration.
Resumen:
El objetivo del trabajo consistió en el desarrollo de ecuaciones alométricas para estimar la biomasa aérea por fracciones de grosor de la regeneración de Arbutus arizonica, Juniperus deppeana, Quercus sideroxyla y Pinus cooperi en la Unidad de Manejo Forestal (Umafor 1008) en el estado de Durango. Se utilizaron datos provenientes de 114 individuos (25, 29, 30 y 30, respectivamente), colectados mediante un muestreo destructivo para ajustar los modelos. La aditividad de las ecuaciones de estimación de biomasa se aseguró mediante el ajuste simultáneo de todas las ecuaciones, con el procedimiento estadístico denominado 3SLS (Three-Stage Least Squares). Los modelos desarrollados permiten estimar la biomasa en peso seco de los componentes, peso total, hojas, ramillas (< 0.5 cm), ramas finas (0.51 – 2.5 cm), ramas gruesas y tronco (> 2.51 cm). Las ecuaciones alométricas con mejor ajuste correspondieron al peso total, con valores de coeficiente de determinación ajustado de 0.97, 0.94, 0.95 y 0.97 para Arbutus, Juniperus, Quercus y Pinus cooperi, respectivamente. En general las ecuaciones mostraron un ajuste satisfactorio en cada una de las fracciones; con ellas se podrán hacer estimaciones no destructivas de la biomasa por categoría de grosor de la regeneración de las cuatro especies estudiadas, lo que mejorará las predicciones de biomasa y almacén de carbono por fracciones en los bosques con presencia de los cuatro taxa estudiados.
Palabras clave: Biomasa, carbono, modelos alométricos, fracción de grosor, regeneración.
Introducción
Los modelos alométricos son herramientas importantes para estimar, de una manera adecuada, la biomasa y el carbono de los bosques, además son empleados en los inventarios de combustibles para el cálculo de las cargas de distintas fracciones de arbolado tanto adulto como regenerado.
Los trabajos de alometría, generalmente, consideran las fracciones de biomasa de hojas, tronco y ramas según su grosor; las categorías de ramillas (<0.5 cm), ramas finas (generalmente de 0. 5 a 2.5 cm), así como ramas medias y gruesas (>2.5 y 7.5 cm, respectivamente) son las más frecuentes (Reed y Toméb, 1998; Álvarez et al., 2005; Antonio et al., 2007; Muñoz et al., 2008; Pérez-Cruzado et al., 2011a, 2011b; González-García et al., 2013; Jiménez et al., 2013; Vega-Nieva et al., 2015).
La alocación de la biomasa en fracciones cambia en relación al diámetro normal (Fontes et al. 2006; Antonio et al. 2007; Vega-Nieva et al., 2015), lo que hace necesario evaluarla en diferentes estadios del desarrollo de las masas arbóreas. Por ejemplo, en el trabajo de Antonio et al. (2007) se registraron diferencias en las alometrías desarrolladas para Eucalyptus globulus Labill., según el estado de desarrollo de la masa, y sus modelos específicos para árboles jóvenes con pequeñas dimensiones. En México, se ha observado que, en individuos con diámetros menores a 15 cm, la biomasa de las fracciones de hojas, ramillas y ramas representa hasta 55 %; en cambio con diámetros superiores a 20 cm, la concentración de la biomasa se encuentra en mayor proporción en el fuste (Soriano-Luna at al., 2015; Vargas-Larreta et al., 2017).
El modelado de la cantidad de biomasa en cada una de estas fracciones a lo largo de diferentes edades es importante para los sistemas de contabilidad de carbono (Pérez-Cruzado et al., 2011b; González-García et al., 2013). Asimismo, es relevante conocer la biomasa presente en distintas fracciones, por los diferentes patrones de acumulación de nutrientes entre fracciones y edades, lo cual es importante para evaluar la sostenibilidad nutricional del manejo de las masas forestales, a partir de las prácticas de manejo, tales como la extracción de fracciones más finas o las edades de rotación en el balance de nutrientes de las masas arbóreas (Brañas et al., 2000; Dambrine et al., 2000; Laclau et al., 2000; Merino et al., 2003, 2005).
En México, los modelos alométricos se han desarrollado para diferentes necesidades (Morfín-Ríos et al. 2012; Ruiz-Díaz et al. 2014), y la mayoría de los estudios disponibles en alometrías de biomasa se enfocan en arbolado adulto (Acosta-Mireles et al. 2002; Díaz-Franco et al. 2007; Návar-Chaídez, 2009; Aguirre-Calderón y Jiménez-Pérez, 2011), con pocos trabajos orientados a la estimación de biomasa en la etapa de regeneración (Vargas-Larreta et al. 20017; Montes de Oca-Cano et al. 2009; Montes de Oca-Cano et al. 2012). Esta información es de especial interés, debido a la necesidad de conocer los montos de carbono capturado en los bosques durante todas sus etapas de crecimiento y fracciones del arbolado (Vargas-Larreta et al. 2017).
El objetivo del presente estudio fue desarrollar ecuaciones alométricas para estimar la biomasa por fracciones de grosor de cuatro especies en etapa de regeneración en los ecosistemas mezclados e irregulares de Durango.
Materiales y Métodos
El estudio se llevó a cabo en la Unidad de Manejo Forestal Regional (Umafor) 1008, ubicada al suroeste del estado de Durango, en las coordenadas geográficas 23°06´59´´ y 24°11´38´´ latitud norte y 105°55´56´´ y 105°10´31´´ longitud oeste. Comprende parte de los municipios Durango, San Dimas y Pueblo Nuevo; tiene una extensión superficial de 558 mil hectáreas, aproximadamente. En el área existen siete tipos de clima según la clasificación de Köpen modificada por García (1988), de los cuales predominan el templado subhúmedo C(w2), semicálido subhúmedo (A) C(w2) y semifrío subhúmedo Cb´(w2); con precipitaciones de 800 a 1 200 mm anuales (SRNyMA-Conafor, 2007). Las comunidades vegetales más importantes de la región están compuestas por bosque de pino, seguido de asociaciones pino-encino y en menor proporción las selvas bajas caducifolias, pastizales y el área de agricultura temporal (INEGI, 2012).
Toma de muestras para el análisis destructivo
Se seleccionaron 114 individuos regenerados: 30 de Pinus cooperi C.E. Blanco, 30 de Quercus sideroxyla Humb. & Bonpl., 29 de Juniperus deppeana Steud. y 25 de Arbutus arizonica Sarg. Los ejemplares estaban libres de plagas, enfermedades, de defectos físicos y mecánicos; fueron elegidos aleatoriamente para que representaran la categoría de la etapa de regeneración y monte bravo, con diámetro de la base no mayor a 10 cm. Las variables dendrométricas que se midieron en campo, para cada árbol, fueron: diámetro de la base (db), diámetro a la altura del pecho (dap) y diámetro de copa (dc), con dos mediciones en cruz. Una vez derribados, se obtuvo la altura total (h), la altura de copa seca (hcs), la altura de copa viva (hcv), la longitud de copa seca (lcs) y la longitud de copa viva (lcv), como recomiendan Gómez-García et al. (2013). Todas las medidas se consideraron en centímetros.
Cada individuo fue derribado y guardado en bolsas herméticas de plástico con el fin de evitar la pérdida de humedad. Cada una se etiquetó con una clave de identificación integrada por el número del espécimen y la fecha de recolecta.
Análisis de laboratorio
Cada árbol fue separado en las siguientes fracciones de grosor: hojas, ramillas (<0.5 cm), ramas finas (>0.51 – 2.5 cm), tronco y ramas gruesas de > 2.51 cm. El peso total por fracción se obtuvo en verde, con una báscula con precisión (Ohaus explorer EX4202) de 0.001 g; para el peso de biomasa de ramillas y de hojas; mientras que para las fracciones ramas finas, ramas gruesas y tronco la precisión fue de 0.01 g. Las fracciones individuales se embolsaron y etiquetaron para, posteriormente, introducirlas en una estufa de secado (Felisa FE-294A), durante 8 a 10 días, a una temperatura de 75 °C hasta obtener el peso seco constante.
Ajuste de ecuaciones de biomasa
Se realizó un análisis de regresión no lineal entre las variables medidas en campo (db, h, hcs, hcv, dc, dap lcs y lcv) y las mediciones de carga por fracción (ramillas, ramas finas, ramas gruesas y tronco, hojas y total) efectuadas en laboratorio. Para la estimación del peso seco se probaron diferentes ecuaciones no lineales, con distintas combinaciones de variables predictivas, los mejores resultados se ajustaron por mínimos cuadrados, mediante el procedimiento MODEL del programa SAS/ETS® (SAS, 2009).
Las ecuaciones por fracción de grosor y total se ajustaron, simultáneamente, para garantizar la aditividad (Álvarez-González et al., 2007). Esta es unas de las propiedades más importantes que deben de cumplir las ecuaciones de biomasa de los distintos componentes (Cunia, 1986; Parresol, 1999; Antonio et al. 2007); consiste en que la suma de las estimaciones de los pesos de todos los componentes o fracciones deben ser iguales a la estimación del peso total del árbol. Lo anterior se logra a través del ajuste simultáneo de los diferentes modelos matemáticos propuestos para cada fracción. La técnica se basa en el ajuste de un sistema de ecuaciones, aparentemente, no relacionadas y formado por las funciones de regresión de los k componentes arbóreos junto con el de biomasa total (Álvarez-González et al. 2007).
. . . . |
Donde:
= Biomasa estimada
= Conjunto de variables explicativas
En este sistema, no es necesario que las ecuaciones de cada fracción arbórea presenten la misma expresión matemática, ni las mismas variables predictivas. Las variables independientes del modelo de biomasa total son todas las regresoras que aparecen en las expresiones matemáticas de cada componente. Los parámetros de las ecuaciones se obtuvieron de forma simultánea con la metodología Three-Stage Least Squares (3SLS); para ello, se utilizó el procedimiento MODEL del programa SAS/ETS® (SAS, 2009). En el ajuste de modelos de biomasa es importante verificar la constancia de la varianza de los residuos (Picard et al., 2012), para descartar problemas de heterocedasticidad; es decir, que la varianza de los errores no sea constante (Parresol, 2001).
Para analizar la presencia de heterocedasticidad se realizó el contraste de White (1980). La heterocedasticidad se corrige durante el ajuste de las ecuaciones, al pesar cada observación por la inversa de su varianza (). Al desconocerse dicha varianza, se asume que es factible modelarla con una función potencial , donde xi es una función de una o más de las variables independientes del modelo El valor k del exponente y las variables a incluir (xi) se determinan con los errores del modelo ajustado sin pesos (êi), como variable dependiente en el modelo potencial de varianza del error (Park, 1966; Harvey 1976), y mediante la prueba de diferentes combinaciones de variables y exponentes, hasta optimizar el resultado del ajuste lineal derivado de tomar logaritmos en la siguiente expresión:
Criterios de selección de modelos
Los criterios para determinar el mejor modelo fueron el análisis gráfico de los residuos; el coeficiente de determinación (R2), que refleja la variabilidad total que es explicada; y la raíz cuadrada del error medio cuadrático (REMC) que analiza la precisión de las estimaciones, cuyas ecuaciones son las siguientes:
Donde:
yi, , e = Valor observado, estimado y promedio de la variable dependiente
n = Número total de observaciones utilizadas para ajustar el modelo
p = Número de parámetros del modelo
Además de los estadísticos descritos, una de las maneras más eficientes de evaluar la capacidad de ajuste de un modelo es la inspección visual, por lo que se analizaron los gráficos de residuos frente a valores predichos de la variable dependiente.
Resultados y Discusión
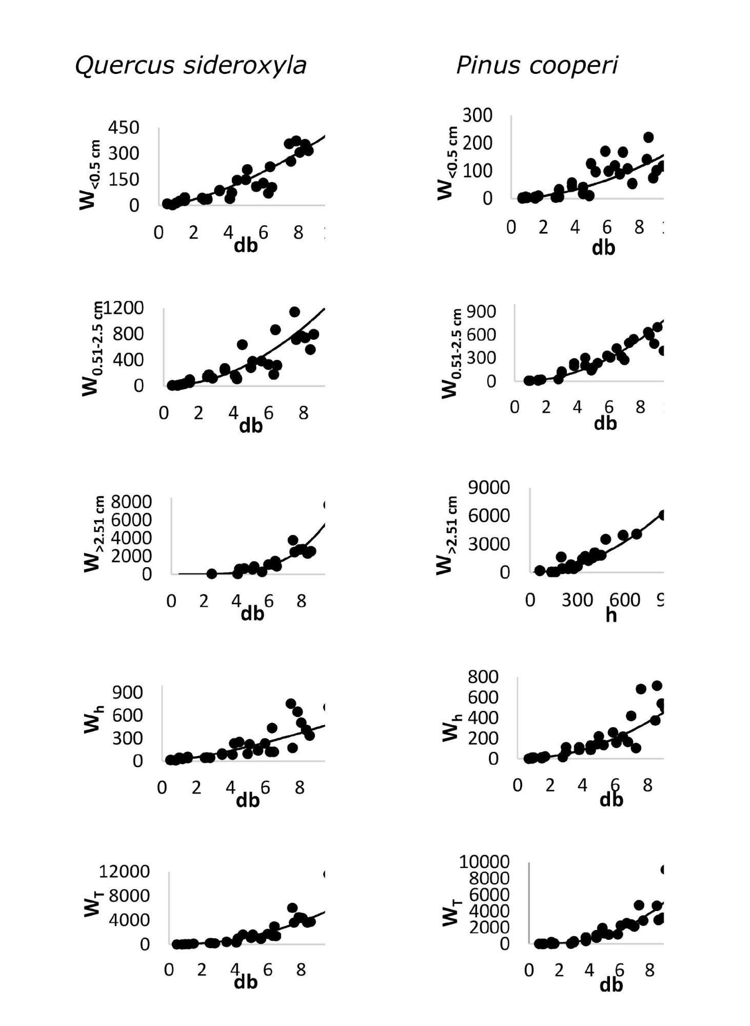
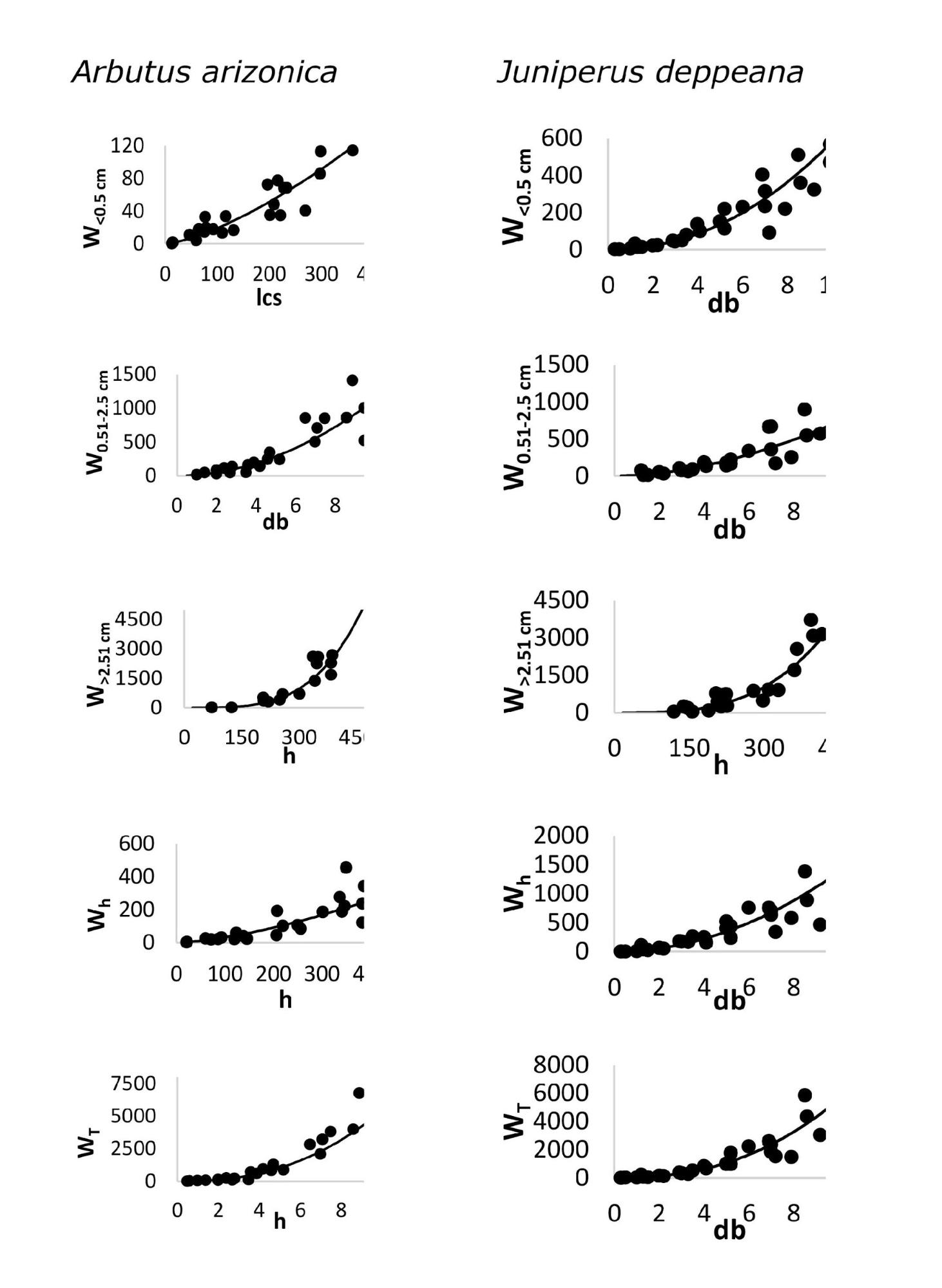
La representación gráfica de los valores de biomasa de fracciones por componente contra la variable independiente que mayor influencia tuvo en las ecuaciones alométricas se muestra en la Figura 1 para Arbutus arizonica, Juniperus deppeana, Quercus sideroxyla y Pinus cooperi.
db = Diámetro de la base; h = Altura total; lcs = Longitud de copa seca; lcv = Longitud de copa viva; W<0.5 cm= Peso ramas finas; W0.51-2.5 cm = Peso ramas gruesas; W>2.51 cm = Peso tronco, Wh = Peso hojas; WT.= Peso total.
Figura. 1. Relación entre la biomasa en gramos de los diferentes componentes con las variable explicativas con mayor influencia en el modelo por especies.
La expresión de los modelos que mejores resultados mostraron en el ajuste individual por componente para la estimación de la biomasa por fracción de grosor y total para las especies estudiadas, se muestra en el Cuadro 1.
Cuadro 1. Modelos seleccionados para la estimación de la biomasa por fracción y total para la regeneración de Juniperus deppeana Steud., Arbutus arizonica Sarg., Quercus sideroxyla Humb. & Bonpl. y Pinus cooperi C.E. Blanco.
W<0.5 cm = Peso seco de ramillas (g); W0.51-2.5 cm = Peso seco de ramas finas (g); W>2.51 cm = Peso seco de ramas gruesas y tronco (g); Wh = Peso seco de hojas (g); WT =Peso total (g); db = Diámetro de la base de cada planta (cm); h = Altura total de cada planta (cm); dc = Diámetro de copa de cada planta (cm); lcv = Longitud de copa viva de cada planta (cm); lcs = Longitud de copa seca de cada planta (cm).
En el Cuadro 2 se presentan las estimaciones de los parámetros obtenidos mediante el ajuste simultáneo, los errores estándar aproximados y los estadísticos de bondad del ajuste. Así como, los pesos utilizados en la ponderación para corregir la heterocedasticidad en las fracciones que presentaron este problema.
Cuadro 2. Estimación de los parámetros, y estadísticos de bondad del ajuste obtenidos para las ecuaciones de biomasa por fracción de grosor mediante el ajuste simultaneo por 3SLS.
Especie | Componente | Parám | Estimación | E.E | REMC (g) | Pesos | R2 |
J. deppeana | Ramillas | a1 | 0.1957 | 0.0863 | 55.64 | 0.88 | |
a2 | 1.0708 | 0.2112 | |||||
Ramas finas | a3 | 0.1441 | 0.0778 | 123.27 | 0.86 | ||
a4 | 1.1372 | 0.2534 | |||||
Ramas gruesas | a5 | 3.7E-6 | 4.8E-6 | 305.20 | 0.92 | ||
a6 | 2.5272 | 0.2181 | |||||
Hojas | a7 | 0.2847 | 0.1387 | 162.94 | 0.88 | ||
a8 | 1.2422 | 0.2522 | |||||
Peso Total | 507.94 | 0.94 | |||||
A. arizonica | Ramillas | a1 | 0.0073 | 0.0158 | 15.19 | 0.87 | |
a2 | 1.6580 | 0.3734 | |||||
Ramas finas | a3 | 0.2060 | 0.0556 | 120.63 | 0.90 | ||
a4 | 1.1329 | 0.1420 | |||||
Ramas gruesas | a5 | 0.0032 | 0.0040 | 268.43 | 0.95 | ||
a6 | 1.9222 | 0.2058 | |||||
Hojas | a7 | 0.3732 | 0.4947 | 69.95 | 0.78 | ||
a8 | 0.7810 | 0.2361 | |||||
Peso Total | 322.40 | 0.97 | |||||
Q. sideroxyla | Ramillas | a1 | 0.0396 | 0.0174 | 80.93 | 0.93 | |
a2 | 1.9577 | 0.2044 | |||||
Ramas finas | a3 | 0.3768 | 0.0827 | 237.06 | 0.88 | ||
a4 | 1.2930 | 0.1181 | |||||
Ramas gruesas | a5 | 0.0683 | 0.0291 | 598.09 | 0.94 | ||
a6 | 2.6210 | 0.2022 | |||||
Hojas | a7 | 0.1640 | 0.0901 | 132.58 | 0.79 | ||
a8 | 1.3279 | 0.2562 | |||||
Peso Total | 905.08 | 0.95 | |||||
P. cooperi | Ramillas | a1 | 0.1024 | 0.0652 | 35.75 | 0.69 | |
a2 | 0.8569 | 0.2690 | |||||
Ramas finas | a3 | 8.2417 | 1.6303 | 129.95 | 0.79 | ||
a4 | 2.0242 | 0.1038 | |||||
Rama gruesas | a5 | 0.0817 | 0.0394 | 397.83 | 0.96 | ||
a6 | 1.3391 | 0.0731 | |||||
Hojas | a7 | 0.0255 | 0.0439 | 82.21 | 0.84 | ||
a8 | 1.1890 | 0.3194 | |||||
a9 | 1.3917 | 0.3716 | |||||
Peso Total | 354.47 | 0.97 | |||||
Parám = Parámetros del modelo por componente; E.E = Error estándar aproximado; REMC = Raíz del error medio cuadrático; R2 = Coeficiente de determinación.
El ajuste simultáneo con la técnica 3SLS proporcionó una estimación de los estadísticos de bondad del ajuste muy similar al ajuste individual. La mayoría de las especies evidenciaron heterocedasticidad en la mayor parte de sus fracciones de biomasa. Problema que se corrigió mediante regresión ponderada, como en otros trabajos de estimación de biomasa arbórea (Parresol, 2001; Álvarez-González et al. 2007). En algunas fracciones no se observó heterocedasticidad según la prueba de White; posiblemente, por el intervalo relativamente reducido de diámetros y pesos muestreados, ya que eran árboles jóvenes.
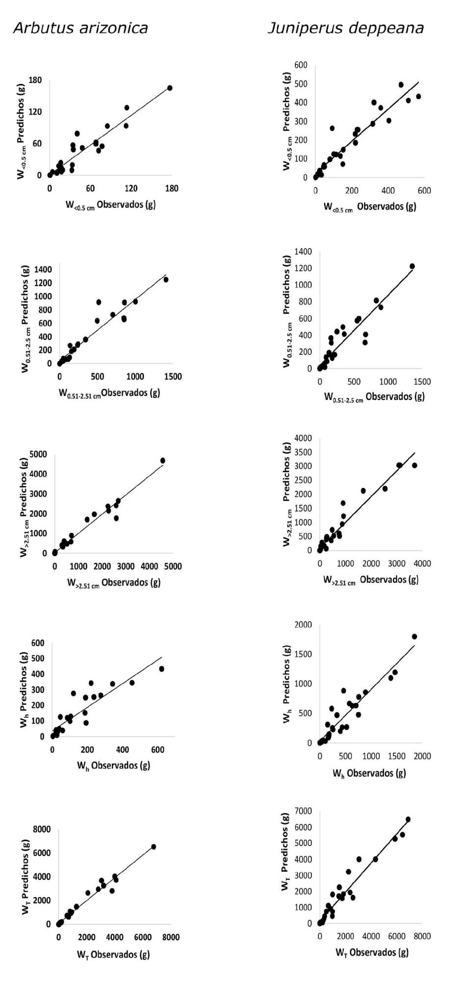
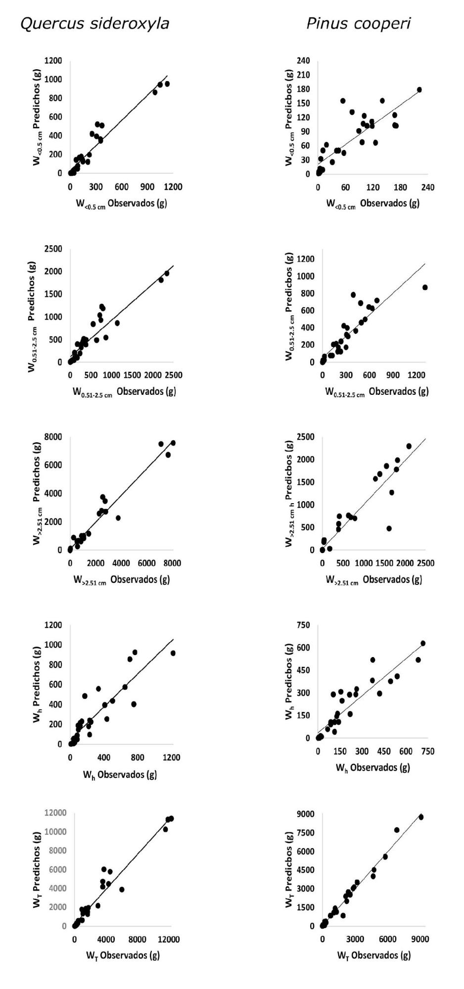
En la Figura 2 se presentan los valores observados frente a los predichos para las distintas fracciones de grosor, para las hojas y el peso total. La distribución de la nube de puntos sobre la diagonal indica que los modelos proporcionan estimaciones con bajo sesgo.
En general, las ecuaciones tuvieron un ajuste satisfactorio y explican como mínimo 69 % de la variabilidad observada. La biomasa de las fracciones de hojas y ramillas presentaron ajustes de buenos a regulares, lo que posiblemente se deba a la variabilidad de las estructuras de la copa y del número de ramas (Pardé, 1980). Para las fracciones de hojas y ramillas, los coeficientes de determinación fueron 0.84-0.69, 0.78-0.87, 0.88-0.88 y 0.79-0.93 para P. cooperi, A. arizonica, J. deppeana y Q. sideroxyla, respectivamente. Las fracciones de copa se consideraron las más difíciles de modelar (Muñoz et al., 2008).
Las bondades de los ajustes para Pinus son similares a las registradas en trabajos previos a nivel nacional en alometrías de biomasa para este género (Montes de Oca-Cano et al. 2009; Montes de Oca-Cano et al., 2012; Vargas-Larreta et al., 2017). Montes de Oca-Cano et al. (2009) realizaron el ajuste de ecuaciones de biomasa por componente para árboles de Pinus durangensis, cuyas edades eran de 3 a 10 años; sus resultados indicaron que el fuste tuvo los mejores estadísticos de ajuste, con un R2 de 0.86, mientras que los coeficientes de determinación en las ramas y hojas fueron de 0.74 y 0.74, respectivamente. Valores similares documentaron Montes de Oca-Cano et al. (2012), con R2 de 0.73 para las hojas; Vargas-Larreta et al. (2017) consignaron valores de R2 de 0.74 para la fracción de hojas de Pinus cooperi, con las variables diámetro y altura. En el presente estudio, el valor de R2 fue de 0.84 para las hojas de Pinus cooperi, lo que mejoró el ajuste, al agregar el diámetro de copa al modelo empleado.
Geudens et al. (2004), en Pinus sylvestris con edades de 1 a 4 años y las variables diámetro y altura (dap2h) obtuvieron el mejor ajuste para la biomasa aérea con una R2 de 0.95; resultados que se asemejan a los señalados en el presente documento, con un coeficiente de determinación R2 de 0.97. Vargas-Larreta et al. (2017) citan valores de R2 para el mejor modelo de biomasa total de 0.94 y 0.90, respectivamente en la regeneración de Pinus cooperi y P. leiophylla, los cuales son muy similares a los de P. cooperi en este estudio.
Las bondades de los ajustes de Quercus concuerdan con lo registrado en la literatura. González (2008) estimó la biomasa para Quercus spp. en árboles seleccionados dentro de las categorías de regeneración natural de brinzales, con alturas de 2 m y latizales de hasta 21 m. El mejor modelo para estimar biomasa total incluyó como variable independiente el diámetro normal, con un coeficiente de determinación de 0.96. En el presente trabajo con ajuste simultáneo, el valor de R2 fue igual (0.96). En el noroeste de España, Gómez-García et al. (2013), para Quercus robur L. estiman la biomasa por fracciones y peso total; el mejor ajuste para la fracción hojas lo obtuvieron al usar como variable explicativa el dap, R2 = 0.78. Lo anterior concuerda con el coeficiente de determinación para las hojas de Quercus (0.79) calculado para Durango, mediante el uso de las variables predictoras db y dc.
En el género Juniperus, el uso del diámetro de base generó buenos resultados en trabajos previos. Así en Texas, Reemts (2013) con árboles pequeños (< 15 cm de diámetro basal) de Juniperus ashei J.Buchholz señala que las ecuaciones alométricas basadas en el db y db2h ajustaron mejor la biomasa total que las expresiones generadas con base en la altura del árbol y el volumen de dosel (R2= 0.95-0.97 versus R2=0.71-0.77). Rodríguez-Laguna et al. (2009) obtuvieron coeficientes de determinación de 0.97 para Juniperus flaccida Schltdl., a partir de un modelo potencial, cuya variable predictora fue el diámetro normal.
En general, los coeficientes de determinación para Arbutus arizonica fueron buenos, y el mejor correspondió al peso total, con un valor de R2 de 0.97. Resultado similar al de Harrington et al. (1984), quienes estimaron la biomasa total para Arbutus menziesii Pursh con la variable explicativa de diámetro normal y un coeficiente de determinación de 0.97. Vargas-Larreta et al. (2017) registran coeficientes de determinación de 0.74 y 0.92 para hojas y peso total, respectivamente para Arbutus bicolor S. González, M. González & P.D. Sørensen, sus variables predictoras fueron el diámetro y la altura. Ter-Mikaelian y Korzukhin (1997) consignan coeficientes de determinación de 0.83 para Arbutus menziesii en la biomasa de las hojas, cuando se usó como variable predictora el diámetro a la altura del pecho. En el estudio que aquí se documenta, el ajuste para las hojas explicó 78 % de la variabilidad observada.
Figura 2. Gráficos de valores observados frente a predichos de biomasa por fracción de grosor, hojas y biomasa total de las cuatro especies estudiadas.
Aunque el diámetro de la base fue la mejor variable explicativa para todos los componentes de la biomasa, la altura y la longitud de copa viva y muerta mejoraron los modelos alométricos para las fracciones de ramas y hojas; similarmente, a lo observado en otros trabajos (Williams et al., 2005; Antonio et al., 2007; Paul et al., 2008; Vega-Nieva et al., 2015), pero a expensas de un mayor esfuerzo de muestreo para aplicar los modelos (Gómez-García et al., 2013).
Conclusiones
Se desarrollaron sistemas de ecuaciones para estimar biomasa por fracción de grosor y total para individuos en la etapa de regeneración de las especies Arbutus arizonica, Juniperus, Quercus sideroxyla y Pinus cooperi. Estas ecuaciones permitirán realizar estimaciones no destructivas de la biomasa de las cuatro especies estudiadas, y mejorar las estimaciones de alocación de biomasa, carbono y nutrientes por fracciones en los diferentes estadíos de las masas forestales. Es importante continuar con el trabajo y mejora de este tipo de modelos, así como estudiar la biomasa de masas regeneradas de otras especies de relevancia.
Agradecimientos
Se agradece al Conacyt por el apoyo financiero otorgado al primer autor para estudiar en el programa de Maestría en Ciencias Forestales y Agropecuarias de la Universidad Juárez del Estado de Durango. Se agradece el apoyo del proyecto “Caracterización y Clasificación de Combustibles para Generar y Validar Modelos de Combustibles Forestales para México”, clave 251694, del fondo Conafor-Conacyt. Se agradece el apoyo del proyecto “Desarrollo de Modelos para la Predicción de Cargas Forestales en Durango” del Programa para el Desarrollo del Personal Docente de Tipo Superior (PRODEP) 2015.
Conflicto de intereses
Los autores declaran no tener conflicto de intereses.
Contribución por autor
Favian Flores Medina: trabajo de campo y elaboración del manuscrito; Daniel José Vega-Nieva: diseño experimental, revisión del manuscrito y coordinación de las revisiones; Juan Gabriel Álvarez-González, Ana Daria Ruiz-González, Carlos Antonio López-Sánchez, José Javier Corral-Rivas y Artemio Carillo Parra: revisión del manuscrito y análisis estadístico.
Referencias
Acosta-Mireles, M., J. Vargas-Hernández, A. Velásquez-Martínez y J. D. Etchevers-Barra. 2002. Estimación de la biomasa aérea mediante el uso de relaciones alométricas en seis especies arbóreas en Oaxaca, México. Agrociencia 36(6): 725-736.
Aguirre-Calderón, O. A. y J. Jiménez-Pérez. 2011. Evaluación del contenido de carbono en bosque del sur de Nuevo León. Revista Mexicana de Ciencias Forestales 2(6): 73-84.
Álvarez-González, J. G., R. Rodríguez-Soalleiro y A. Rojo-Alboreca. 2007. Resolución de problemas del ajuste simultáneo de sistemas de ecuaciones: heterocedasticidad y variables dependientes con distinto número de observaciones. Cuadernos de la Sociedad Española de Ciencias Forestales 23: 35-42
Álvarez G., J. G., M. A. Balboa M., A. Merino y R. Rodríguez S. 2005. Estimación de la biomasa arbórea de Eucalyptus globulus y Pinus pinaster en Galicia. Recursos Rurais 1(1):21-30.
Antonio, N., M. Tomé, J. Tomé, P. Soares and L. Fontes. 2007. Effect of tree, stand, and site variables on the allometry of Eucalyptus globulus tree biomass. Canadian Journal of Forest Research 37:895–906.
Brañas, J., F. González-Río y A. Merino. 2000. Contenido y distribución de nutrientes en plantaciones de Eucalyptus globulus del Noroeste de la Península Ibérica. Investigación Agraria: Sistemas y Recursos Forestales 9:316–335.
Cunia, T. 1986. Construction of tree biomass tables by linear regression techniques. In: Wharton, E. H. (comp.). Estimating tree biomass regressions and their error. Proceedings of the Workshop on tree biomass regression functions and their contribution to the error of forest inventory estimates. 27-37 May. Syracuse, NY, USA. 30 p.
Dambrine, E., J. A.Vega, T. Taboada, L. Rodríguez, C. Fernández, F. Macías and J. M. Gras. 2000. Bilans d´eléments minéraux dans de petits bassins versants forestiers de Galice (NW Espagne). Annals of Forest Science 57(1): 23–38.
Díaz-Franco, R., M. Acosta-Mireles, F. Carrillo-Anzures, E. Buendía-Rodríguez, E. Flores-Ayala y J. D. Etchevers-Barra. 2007. Determinación de ecuaciones alométricas para estimar biomasa y carbono en Pinus patula Schl. et Cham. Madera y Bosques 13(1): 25-34.
Fontes, L., J. Landsberg, J. Tome, M. Tome, C. A. Pacheco, P. Soares and C. Araujo. 2006. Calibration and testing of a generalized process-based model for use in Portuguese eucalyptus plantations. Canadian Journal of Forest Research 36(12): 3209–3221.
García, E. 1988. Modificaciones al Sistema de Clasificación Climática de Köppen. 4a ed. Instituto de Geografía. Universidad Nacional Autónoma de México. México, D.F., México. 217 p.
Geudens, G., J. Staelens, V. Kint, R. Goris and N. Lust. 2004. Allometric biomass equations for Scots pine (Pinus sylvestris L.) seedlings during the first years of establishment in dense natural regeneration. Annals of Forest Science 61(7):653-659.
Gómez-García, E., F. Crecente-Campo y U. Diéguez-Aranda. 2013. Tarifa de biomasa aérea para abedul (Betula pubescens Ehrh.) y roble (Quercus robur L.) en el noroeste de España. Madera y Bosques 19(1):71-91.
González, Z. M. 2008. Estimación de la biomasa aérea y la captura de carbono en regeneración natural de Pinus maximinoi H.E. Moore, Pinus oocarpa var. ochoterenai Mtz. y Quercus sp. en el norte del Estado de Chiapas, México. Tesis de Magister Scientiae en Manejo y Conservación de Bosques Naturales y Biodiversidad. Centro Agronómico Tropical de Investigación y Enseñanza. Turrialba, Costa Rica. 97 p.
González-García, M., A. Hevia, J. Majada and M. Barrio-Anta. 2013. Above-ground biomass estimation at tree and stand level for short rotation plantations of Eucalyptus nitens (Deane & Maiden) Maiden in Northwest Spain. Biomass and Bioenergy 54: 147–57.
Harrington, T. B., J. C. Tappeiner II and J. D. Walstad. 1984. Predicting leaf area and biomass of 1-to 6-year-old tanoak (Lithocarpus densiflorus) and Pacific madrone (Arbutus menziesii) sprout clumps in southwestern Oregon. Canadian Journal of Forest Research 14(2):209-213.
Harvey, A. C. 1976. Estimating regression models with multiplicative heteroscedasticity. Econometrica 44: 461-465.
Instituto Nacional de Estadística y Geografía (INEGI). 2012. Uso del Suelo y Vegetación Escala 1: 250 000 Serie V, Información vectorial. México, D.F., México. s/p.
Jiménez, E., J. A. Vega, J. M. Fernández-Alonso, D. Vega-Nieva, J. G. Álvarez-González and A. D. Ruiz-González. 2013. Allometric equations for estimating canopy fuel load and distribution of pole-size maritime pine trees in five Iberian provenances. Canadian Journal of Forest Research 43(2): 149–158.
Laclau, J. P., B. Jean-Pierre and J. Ranger. 2000. Dynamics of biomass and nutrient accumulation in a clonal plantation of Eucalyptus in Congo. Forest Ecology and Management 128(3):181–196.
Merino, A., C. Rey, J. Brañas y R. Rodríguez-Soalleiro. 2003. Biomasa aérea y acumulación de nutrientes en plantaciones de Pinus radiata D. Don en Galicia. Investigación Agraria: Sistemas y Recursos Forestales 12 (2): 85-89.
Merino, A., M. A. Balboa, R. Rodríguez-Soalleiro and J. G. Álvarez-González. 2005. Nutrient exports under different harvesting regimes in fast-growing forest plantations in southern Europe. Forest Ecology and Management 207(3): 325–339.
Montes de Oca-Cano, E., P. García-Ramírez, J. A. Nájera-Luna y J. Méndez-González. 2009. Ajuste de ecuaciones de biomasa para Pinus durangensis (Martínez M.) en la región de El Salto, Durango. Revista Chapingo. Serie Ciencias Forestales y del Ambiente 15(1): 65-71.
Montes de Oca-Cano, E., M. Rojas-Ascensión, P. García-Ramírez, J. A. Nájera-Luna, J. Méndez-González y J. J. Graciano-Luna. 2012. Estimación de carbono almacenado en la regeneración natural de Pinus durangensis Martínez en el Salto, Durango. Colombia Forestal 15(2):151-159
Morfín-Ríos, J. E., E. J. Jardel-Peláez, E. Alvarado-Celestino y J. M. Michel-Fuentes. 2012. Caracterización y cuantificación de combustibles forestales. Comisión Nacional Forestal-Universidad de Guadalajara. Guadalajara, Jal., México. 94 p.
Muñoz, F., R. Rubilar, M. Espinosa, J. Cancino, J. Toro and M. Herrera. 2008. The effect of pruning and thinning on above ground aerial biomass of Eucalyptus nitens (Deane & Maiden) Maiden. Forest Ecology and Management 255(3-4): 365–73.
Návar-Cháidez, J. J. 2009. Allometric equations and expansion factors for tropical dry trees of eastern Sinaloa, Mexico. Tropical and Subtropical Agroecosystems 10: 45-52.
Pardé, J. 1980. Forest biomass. Forestry Abstracts 41(8): 343–362.
Park, R. E. 1966. Estimation with Heteroscedastic Error Terms. Econometrica 34(4):888.
Parresol, B. R. 1999. Assessing tree and stand biomass: a review with examples and critical comparisons. Forest Science 45: 573-593.
Parresol, B. R. 2001. Additivity of nonlinear biomass equations. Canadian Journal of Forest Research 31: 865-878.
Paul, K. I., K. Jacobsen, V. Koul, P. Leppert and J. Smith. 2008. Predicting growth and sequestration of carbon by plantations growing in regions of low-rainfall in southern Australia. Forest Ecology and Management 254(2):205–216.
Pérez-Cruzado, C. and R. Rodríguez-Soalleiro. 2011a. Improvement in accuracy of aboveground biomass estimation in Eucalyptus nitens plantations: effect of bole sampling intensity and explanatory variables. Forest Ecology and Management 261(11):2016-2028.
Pérez-Cruzado, C., A. Merino and R. Rodríguez-Soalleiro. 2011b. A management tool for estimating bioenergy production and carbon sequestration in Eucalyptus globulus and Eucalyptus nitens grown as short rotation woody crops in north-west Spain. Biomass and Bioenergy 35(7): 2839–2851.
Picard, N., L. Saint-André y M. Henry. 2012. Manual de construcción de ecuaciones alométricas para estimar el volumen y la biomasa de los árboles. Del trabajo de campo a la predicción. Las Naciones Unidas para la Alimentación y la Agricultura y el Centre de Coopération Internationale en Recherche Agronomique pour le Développement. Rome, Montpellier. 223 p.
Reed, D. and M. Toméb. 1998. Total aboveground biomass and net dry matter accumulation by plant component in young Eucalyptus globulus in response to irrigation. Forest Ecology and Management 103(1): 21-32
Reemts, C. M. 2013. Allometric equations for ashe juniper (Juniperus ashei) of small diameter. The Sounthwestern Naturalist 58(3): 359-363.
Rodríguez-Laguna, R., J. Jiménez-Pérez, O. A. Aguirre-Calderón, E. J. Treviño-Garza y R. Rozo-Zárate. 2009. Estimación de carbono almacenado en el bosque de pino-encino en la reserva de la biosfera el cielo, Tamaulipas, México. Ra Ximhai 5 (3): 317-327.
Ruiz-Díaz, C., G. Rodríguez-Ortiz, J. C. Leyva-López y J. Enríquez-del Valle. 2014. Metodologías para estimar biomasa y carbono en especies forestales en México. Naturaleza y Desarrollo 12(1): 28-45.
Secretaría de Recursos Naturales y Medio Ambiente-Comisión Nacional Forestal (SRNyMA-Conafor). 2007. Plan Estratégico Forestal 2030. Gobierno del estado de Durango. Durango, Dgo., México. 198 p.
Static Analysis System (SAS). 2009. SAS/STAT® Ver. 9.2. User’s Guide 2nd ed. SAS Institute Inc. Cary, NC, USA. 7869 p.
Soriano-Luna, M. A., G. Ángeles-Pérez, T. Martínez-Trinidad, F. O. Plascencia-Escalante y R. Razo-Zárate. 2015. Estimación de biomasa aérea por componente estructural en Zacaultipán, Hidalgo, México. Agrociencia 49(4): 423-438.
Ter-Mikaelian, M. T. and M. D. Korzukhin. 1997. Biomass equations for sixty-five North American tree species. Forest Ecology and Management 97(1):1-24.
Vargas-Larreta, B., C. A. López-Sánchez, J. J. Corral-Rivas, J. O. López Martínez, C. G. Aguirre-Calderón and J. G. Álvarez-González. 2017. Allometric equations for estimating biomass and carbon stocks in the temperate forest of North-Western Mexico. Forests 8, 269. doi: 10.3390/f8080269.
Vega-Nieva, D., E. Valero, J. Picos and E. Jiménez. 2015. Modeling the above and belowground biomass of planted and coppiced Eucalyptus globulus stands in NW Spain. Annals of Forest Science 72(7):967-980.
Williams, R. J., A. Zerihun, K. D. Montagu, M. Hoffman, L. B. Hutley and X. Chen. 2005. Allometry for estimating aboveground tree biomass in tropical and subtropical eucalypt woodlands: towards general predictive equations. Australian Journal of Botany 53:607–619.
White, H. 1980. A Heteroskedasticity-Consistent Covariance Matrix Estimator and a Direct Test for Heteroskedasticity. Econometrica 48(4): 817-838.
Todos los textos publicados por la Revista Mexicana de Ciencias Forestales–sin excepción– se distribuyen amparados bajo la licencia Creative Commons 4.0 Atribución-No Comercial (CC BY-NC 4.0 Internacional), que permite a terceros utilizar lo publicado siempre que mencionen la autoría del trabajo y a la primera publicación en esta revista.