Revista Mexicana de Ciencias Forestales Vol. 13 (73)

Septiembre – Octubre (2022)

Logotipo, nombre de la empresa

Descripción generada automáticamente

DOI: https://doi.org/10.29298/rmcf.v13i73.1188

Artículo

Modelos predictivos de producción de resina en Pinus pseudostrobus Lindl.,en Michoacán, México

Predictive models of resin production in Pinus pseudostrobus Lindl., in Michoacán State, Mexico

 

 

Hipólito Jesús Muñoz-Flores1, Jonathan Hernández-Ramos2*, José Trinidad Sáenz-Reyes1, Roberto Reynoso-Santos3, Rubén Barrera-Ramírez4

 

Fecha de recepción/Reception date: 14 julio de 2021

Fecha de aceptación/Acceptance date: 16 de agosto de 2022

_______________________________

1Campo Experimental Uruapan. INIFAP. México.

2Campo Experimental Chetumal. INIFAP. México.

3Campo Experimental Centro de Chiapas. INIFAP. México.

4Universidad Autónoma de Nuevo León. México.

 

*Autor para correspondencia; correo-e: forestjonathanhdez@gmail.com

*Corresponding author; e-mail: forestjonathanhdez@gmail.com

 

Resumen

Pinus pseudostrobus es una conífera ampliamente aprovechada en el estado de Michoacán para la extracción de resina; sin embargo, los métodos actuales de resinación son empíricos y sin conocimiento de la producción potencial. A partir de variables dasométricas y con el uso del método de mínimos cuadrados ordinarios (MCO) y modelos de efectos mixtos (MEM), se evaluó un modelo de predicción para estimar la producción de resina. A 215 árboles resineros, se les midió el diámetro normal, diámetro de copayaltura total, además se cuantificó la producción de resina por cara (2 186 caras) en un intervalo altitudinal de 2 226 a 2 785 m. Posterior a depurar la base de datos y a construir la variable combinada (d2At), se ajustó un modelo lineal de tipo logarítmico en el programa R® bajo dos enfoques estadísticos: MCO y MEM. Al incluir la covariable de altitud en los MEM como variable de agrupación, se tiene una ganancia estadística promedio de 17 % con respecto a MCO. No hubo incumplimiento de los supuestos de regresión de normalidad y homocedasticidad. Se propone un modelo con parámetros globales para estimar el rendimiento de resina promedio y tres variantes con parámetros aleatorios, en las cuales la altitud de 2 500 m presenta la mayor producción. La productividad estimada y su relación con los intervalos altitudinales puede utilizarse para el establecimiento de plantaciones forestales resineras o en la elaboración de planes de gestión forestal para la especie en la Comunidad Indígena de Nuevo San Juan Parangaricutiro, Michoacán.

Palabras clave: Manejo forestal, modelo matemático, Pinus pseudostrobus Lindl., predicción, producción, resina de pino.

Abstract

Pinus pseudostrobus is a conifer widely used in the state of Michoacán for the extraction of resin; however, current resin extraction methods are empirical and without knowledge of the potential production. Based on mensuration variables and using the ordinary least squares (OLS) method and mixed effects models (MEM), a predictive model for estimating resin production was evaluated. The normal diameter, crown diameter and total height of 215 resin trees were measured; in addition, the resin production per face (2 186 faces) was quantified in an altitudinal range of 2 226 to 2 785 m. After debugging the database and constructing the combined variable (d2tH), a logarithmic linear model was adjusted under two statistical approaches OLS and MEM, using the R® software. By including the altitude covariate in the MEM as a grouping variable, there is an average statistical gain of 17 % with respect to the OLS approach. No issues of non-compliance with the normality regression or homoscedasticity assumptions were observed. A model with global parameters is proposed to estimate the average resin yield for the region and three variants with random parameters, where the altitude of 2 500 m has the highest production. The estimated productivity and its relationship with the altitudinal ranges can be a guideline for the establishment of forest plantations for resin extraction purposes or the development of forest management plans for the species in the Indigenous Community of Nuevo San Juan Parangaricutiro, Michoacán.

Key words: Forest management, mathematical model, Pinus pseudostrobus Lindl., prediction, production, pine resin.

 

 

Introducción

 

 

A nivel mundial, se registra una extracción de 1 300 000 t de resina de pino, la cual se utiliza, principalmente, como resina, colofonia y trementina en el mercado (Cunningham, 2009). La producción resinífera se concentra en tres países: China, Brasil e Indonesia (92 %), mientras que 8 % del total procede de Argentina, Rusia, India, México, Portugal, España, Vietnam y Fiyi (Cunningham, 2009; Conafor, 2013). En México, el aprovechamiento de resina se realiza en los estados de Jalisco, Oaxaca, Estado de México y Michoacán, este último ocupa el primer lugar con 22 408 t anuales, que equivalen a 82.7 % de la producción nacional (Semarnat, 2016).

En el país, después de los productos maderables, la resina de pino es el ingreso más seguro y permanente para la población rural más pobre de las zonas con bosques de pino y pino-encino, en particular en las entidades antes citadas (Ayala, 2011).

La resinación de pino en México se ha practicado desde la época Prehispánica (Mas y Prado, 1981); sin embargo, su aprovechamiento con fines comerciales inició en 1920. En la actualidad, se realiza de acuerdo con la NOM-026-Semarnat-1996 y la normatividad vigente que comprende la Ley General de Desarrollo Forestal Sustentable y su Reglamento (Semarnat, 2016).

El sistema de resinación utilizado corresponde al Método Tradicional Francés modificado para México e implementado en 1937 por disposiciones oficiales; en el estado de Michoacán inició su aplicación en 1954 (Reyes-Ramos et al., 2019). Este sistema es aplicable para árboles mayores a 30 centímetros de diámetro (d), el cual determina el número de cortes (caras) que puede soportar el árbol, cuya apertura se inicia a partir de los 20 años de edad del arbolado (Romahn, 1992).

Históricamente, la producción de resina en Michoacán ha tenido una destacada participación con un valor entre 70 000 t anuales en la década de los años 30 (Cofom, 2007), y 22 408 t en 2016 (Semarnat, 2016); en el 2017, se registró un repunte en la producción de poco más de 90 %; de tal manera que, en la actualidad, el estado ocupa el primer lugar nacional con una producción de 24 141 t (Semarnat, 2017). Las especies de mayor producción resinera en la entidad son: Pinus oocarpa Schiede ex Schltdl., P. leiophylla Schiede ex Schltdl. & Cham., P. lawsonii Roezl ex Gordon, P. teocote Schltdl. & Cham., P. herrerae Martínez, Pinus tenuifolia L., P. montezumae Lamb., P. ponderosa Douglas ex C. Lawson, P. pringlei Shaw y P. pseudostrobus Lindl. (Instituto Nacional de Investigaciones Forestales, 1973).

Algunas industrias y organizaciones han retomado la tarea de incrementar la producción de resina de pino a través de reforestaciones productivas en bosques resineros y plantaciones forestales comerciales no maderables, según lo permite la normatividad vigente, como es el caso de la Comunidad Indígena de Nuevo San Juan Parangaricutiro (CINSJP), donde 70 % de la población se dedica a las actividades forestales, entre las que destacan aquellas relacionadas con la industria del aserrío, el transporte y la resinación. La superficie con valor comercial para madera y resina que posee la CINSJP es de 18 132 ha de bosques; de ella, entre el 40 y 50 % se destina a la producción de resina, cuya extracción se centra en tres especies: Pinus leiophylla (pino chino), P. pseudostrobus (pino canis o pino blanco) y P. oocarpa (pino trompillo o artigo) (Arias y Chávez, 2006). Además, la CINSJP tiene una planta destiladora de resina, con una capacidad de 750 t año-1 (Aguilar, 2008).

En los últimos años, se ha generado información cuantitativa para algunos recursos forestales no maderables (RFNM). Entre los estudios publicados, sobresalen algunos modelos para la estimación de la producción de hongos silvestres comestibles (Tricholoma magnivelare (Peck) Redhead y Cantharellus formosus Corner) en Tlaxcala (Zamora-Martínez et al., 2009; Velasco et al., 2010); rendimiento para agaves mezcaleros (Agave karwinskii Zucc. y A. potatorum Zucc.) en Oaxaca (Velasco et al., 2009b); palma camedor (Chamaedorea oblongata Mart.) en Escárcega, Campeche (Zamora-Martínez et al., 2011); agave lechuguilla (Agave lechuguilla Torr.) en San Luis Potosí (Velasco et al., 2009a); resina en especies de P. pseudostrobus y P. leiophylla en Michoacán (Zamora-Martínez et al., 2013) y P. oocarpa en Chiapas (Reynoso-Santos et al.,2018; Cadena-Iñiguez et al., 2019).

A la fecha, el aprovechamiento de la resina de pino se ha realizado de manera empírica, y no se cuenta con estudios sobre la validación de modelos predictivos que estimen el potencial de producción. Por ello, es necesario tener un método estandarizado con técnicas cuantitativas que permita al productor conocer el potencial de recolecta por unidad de superficie y a los técnicos forestales evaluar el proceso de extracción de una manera práctica y confiable. Si existiera una relación entre la dendrometría del árbol (altura, diámetro normal y porcentaje de copa viva) y el rendimiento de resina, estos parámetros podrían utilizarse para la generación de un modelo matemático, ya que requiere menos esfuerzo que las mediciones directas del flujo de resina.

La hipótesis del estudio plantea que ciertas características dasométricas del árbol están relacionadas con su potencial de rendimiento de resina, lo que permite obtener estimaciones más precisas. Debido a lo anterior, se planteó como objetivo ajustar un modelo de predicción para la producción de resina por árbol a partir de las variables como el diámetro normal (d,cm), diámetro de copa (dc,m) y altura total (At,m) para bosques de P. pseudostrobus de la CINJSP, Michoacán, México. Los resultados se discuten en términos de identificar el mejor modelo matemático que estime con mayor precisión el rendimiento de resina en los rodales de P. pseudostrobus.

 

 

  

Materiales y Métodos

 

 

El estudio se realizó en las áreas productoras de resina dentro de los bosques naturales de la CINSJP, Michoacán, la cual se ubica entre las coordenadas 19°25′00″de latitud norte y 102°17’46’’ de longitud oeste. El intervalo altitudinal donde se llevó a cabo la investigación fue de 2 226—2 785 m; el relieve es de tipo Sierra, de geología ígnea extrusiva y suelo de tipo Andosol; el clima es templado húmedo (Cw), con precipitación de 1 500 mm y temperatura de 15 °C (INEGI, 2010; Inegi, 2017).

A través de recorridos de campo, se eligieron árboles productores de resina en 12 parajes. Los individuos seleccionados fueron representativos de los cuarteles de resinación de cada localidad, a los cuales se les medió el d, dc y At. El rendimiento de resina se midió por cara (PredResina[g]) de 215 árboles (2 186 caras de resinación), con una periodicidad de 45 días, durante los periodos 2009—2010, 2010—2011, 2016—2017 y 2018—2019. Cabe mencionar que los individuos evaluados en los distintos años no fueron los mismos y presentaron diferente etapa de aprovechamiento.

Una vez capturada la información en una base de datos en Excel®, se auditaron para descartar los puntos aberrantes a la muestra y se agrupó el dc a cada metro de longitud (5, 6  y 18 m) para generar la variable de clasificación por dimensión o clase de copa (ClasCop), esto con la finalidad de reducir la variabilidad al incluirse en un ajuste bajo modelos de efectos mixtos. Posteriormente, se calculó la estadística básica de la muestra, en la cual los valores de Curtosis y asimetría debieron estar entre el intervalo de 3 y -3 para considerar la información con distribución normal (Martínez et al., 2006).

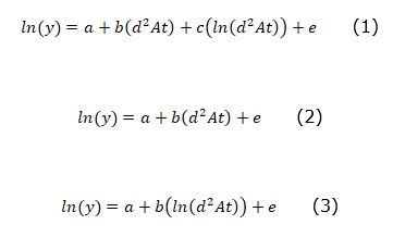
Construida y depurada la base de datos, se incluyó una variable combinada que se construyó al elevar el d al cuadrado y multiplicarlo por la At (d2At). Posterior a ello, se transformaron a logaritmo natural las variables de d2At y PredResina (ln[d2At] y ln[PredResina]). En un primer ajuste fueron incluidas a un modelo lineal (1) (Ayala et al., 1992) y dos de sus variantes, (2) y (3), mediante mínimos cuadrados ordinarios (MCO) en el programa de licencia libre R® con el procedimiento lm (R Core Team, 2016).

 

    

 

Donde:

y = Producción de resina por cara (g)

d = Diámetro normal (cm)

At = Altura total (m)

ln = Logaritmo natural

a, b y c =Parámetros por estimar

e = Término de error

 

En un segundo enfoque de ajuste, y al no corregir el modelo por el efecto de la media como lo propone Ayala et al. (1992), se incluyeron las variables de clasificación o agrupación de ClasCop, altitud y mes de colecta dentro de un modelo de efectos mixtos (MEM: ]; además de todas sus variantes) al variar la inclusión en cada uno de sus parámetros (+u). El intervalo de altitud se agrupó como 2 300 m (2 200—2 400 m), 2 500 m (2 401—2 600 m) y 2 700 m (2 601—2 800 m).

Esta modelación bajo MEM con la inclusión de las variables de agrupación, asume varianza específica para cada grupo de clasificación y generaliza el ajuste para la información empleada (Santana y Mateos, 2014; R Core Team, 2016); además ajusta de forma simultánea los valores de los parámetros específicos de cada nivel especifico; por lo cual, el error, varianza y valor serán únicos para cada grupo (Pinheiro et al., 1994; Castedo et al., 2006). En la modelación se asumió una varianza cero y distribución normal, sin embargo, se incluyó una matriz varianza-covarianza para cada nivel como lo proponen Littell et al. (2006), aplicado mediante la técnica EBLUP´S por Corral et al. (2019). También, se verifico de forma gráfica la normalidad de los residuales mediante una prueba gráfica (SAS Institute Inc., 2014).

Como criterio paramétrico de selección del mejor modelo, se utilizaron los de Akaike (4) y Bayesiano (5) (AIC y BIC, respectivamente), además del valor de verosimilitud del modelo (logLik), los cuales evalúan la verosimilitud y parsimonia de cada expresión, donde el de menor valor representa el modelo más adecuado, además de la significancia de todos sus parámetros (p=0.05) (Bolker et al., 2009; Cayuela, 2014; Correa y Salazar, 2016; R Core Team, 2016).

 

    

 

Donde:

AIC y BIC = Criterios de información de Akaike y Bayesiano

logLik =Valor de log-verosimilitud del modelo

k = Valor de penalización por el exceso de parámetros

n = Número de parámetros del modelo

log = Logaritmo base diez

 

 

Resultados y Discusión

 

 

La estadística descriptiva de la muestra final obtuvo 1 761 registros de producción de resina por cara e indicó que el intervalo de los datos fue de 37 a 109 cm en el d, mientras que la At varió de 19 a 45 m y el dc promedio fue de 10 m. Además, las tres variables mostraron una distribución mesocúrtica y simétrica de la información. Sin embargo, el rendimiento de resina por cara presentó una distribución leptocúrtica (Curtosis=16.153) y una asimetría positiva (Coeficiente de Asimetría=3.339), situación que se corrigió con la transformación logarítmica de esta variable (Cuadro 1).

 

Cuadro 1. Estadística descriptiva de la muestra utilizada para ajustar los modelos predictivos de resina en Pinus pseudostrobus Lindl., en la Comunidad Indígena de Nuevo San Juan Parangaricutiro, Michoacán.

Estadísticos/Variables

Diámetro normal

(cm)

Altura total

(m)

Diámetro de copa

(m)

Rendimiento resina

(g cara-1)

ln Rendimiento resina

(g cara-1)

Mínimo

37.00

19.00

4.65

250.00

5.52

Máximo

109.00

45.00

18.25

1 420.00

7.91

Media

66.43

35.38

10.38

518.81

6.15

Desviación estándar

13.849

5.481

2.837

293.245

0.415

Varianza de la muestra

191.803

30.042

8.047

85 992.900

0.172

Curtosis

-0.876

-0.054

-0.569

16.153

1.689

Coeficiente de Asimetría

0.147

-0.318

0.379

3.339

1.062

 

En el ajuste bajo MCO se observó que al incluir la variable combinada por si sola (sin la transformación logarítmica), el parámetro b resultaba no significativo (p>0.05), además solo la expresión (1) mostró resultados adecuados. En el enfoque de MEM, el valor del intercepto (a) resultó ser de cero y el parámetro relacionado a esta variable de igual forma no fue significativo en todas sus combinaciones de inclusión de las variables de clasificación en sus parámetros. De igual manera, el valor de AIC, BIC y logLik, fueron superiores al modelo ajustado por MCO, lo cual indicó que no hubo ninguna mejora de ajuste (Cuadro 2).

 


 

Cuadro 2. Modelos, parámetros estimados y estadísticos de bondad de ajuste para los modelos predictivos de resina en su forma logarítmica (ln(PredResina)) en Pinus pseudostrobus Lindl., en la Comunidad Indígena de Nuevo San Juan Parangaricutiro, Michoacán.

Modelo

Variable de clasificación

Parámetro de efecto

Parámetro

Estimación

Eea

Valor t

Pr>|t|

AIC

BIC

logLik

(1)

a

3.4370000

8.71E-01

3.948

<0.0001

1 290.54

1 310.90

-641.27

b

0.2502000

8.01E-02

3.124

0.00183

c

-0.0000016

5.11E-07

-3.050

0.00234

(3)

a

5.9686200

2.63E-01

22.733

<0.0001

1 297.83

1 313.09

-645.91

b

0.0153000

2.20E-02

0.694

0.48800

(1)

Altitud

b

a

5.1963720

8.13E-01

6.393

<0.0001

1 095.79

1 131.40

-540.89

b

-0.0000010

5.00E-07

-1.314

0.18890

c

0.1060970

7.28E-02

1.457

0.14540

(3)

a

a

5.7304590

2.81E-01

20.380

<0.0001

1 068.47

1 098.99

-528.23

b

0.0527240

2.00E-02

2.634

0.00860

(1)

Clase de copa

b

a

3.4303940

8.98E-01

3.822

0.00010

1 325.09

1 360.70

-655.55

b

-0.0000020

5.00E-07

-2.859

0.00430

c

0.2499670

8.24E-02

3.033

0.00250

c

a

3.3335510

8.75E-01

3.808

0.00010

1 327.47

1 363.08

-656.74

b

-0.0000020

5.00E-07

-3.223

0.00130

c

0.2597660

8.05E-02

3.227

0.00130

(3)

a

a

6.0033800

3.42E-01

17.533

<0.0001

1 307.76

1 338.29

-647.88

b

0.0119820

2.83E-02

0.423

0.67230

(1)

Mes de colecta

b

a

4.1428180

8.77E-01

4.722

<0.0001

1 287.60

1 323.21

-636.80

b

-0.0000010

5.00E-07

-2.149

0.03190

c

0.1846210

8.05E-02

2.294

0.02200

Eea = Error estándar aproximado; Pr>|t| = Probabilidad p=0.05; AIC y BIC = Criterios de información de Akaike y Bayesiano; logLik = Valor de log-verosimilitud del modelo; a, b y c = Parámetros estimados.

 

En el ajuste de MEM al emplear la variable ln(PredResina) e incluir los distintos efectos por variable de clasificación, se obtienen valores no significativos en algunos parámetros (i.e.,[1] > variable de clasificación=altitud > Parámetro de efecto=b > parámetro no significativo=b y c; y [3] > variable de clasificación=Clase de copa > Parámetro de efecto=a > parámetro no significativo=b), y en el caso de la inclusión de los efectos por clase de copa, los valores de AIC, BIC y logLik no mejoraron (aumento del valor) por lo cual se descartaron para su elección (Cuadro 2). Al incluir las variables de clasificación en el parámetro b(relacionado a la variable independiente) de altitud y mes de colecta, evidenciaron mejoras en los valores de los criterios paramétricos de selección del mejor modelo en el que disminuyeron los valores de AIC, BIC y logLik, fue superior estadísticamente la expresión con efectos aleatorios por altitud de colecta de resina por cara en árboles de P. pseudostrobus (Cuadro 2).

El modelo seleccionado como el mejor ajustado por MEM=[3] > variable de clasificación=altitud > Parámetro de efecto=a(Cuadro 2) presentó una mejora estadística de 17.21 % (222.07), 16.16 % (211.90) y 17.63 % (113.04) en los valores de los criterios paramétricos de selección de AIC, BIC y logLik, respectivamente, y con respecto al ajuste tradicional por MCO. Además, al verificar de forma gráfica los supuestos de regresión de normalidad y homocedasticidad de los residuales, la gráfica de cuartiles tiende a la línea recta, lo que es deseable (Martínez et al., 2006); y los residuales no aumentan con respecto al incremento de la variable explicativa, por lo que no se observan problemas de incumplimiento de los supuestos de regresión (Martínez et al., 2006) (Figura 1 y 2). Por tal motivo, se afirma que el modelo es estadísticamente robusto y superior a los demás.

 

Figura 1. Cumplimiento de los supuestos de normalidad (a) y homocedasticidad de los residuales (b) en el modelo seleccionado para predecir la resina en Pinus pseudostrobus Lindl., en la Comunidad Indígena de Nuevo San Juan Parangaricutiro, Michoacán.

 

Figura 2. Proyección del rendimiento resinero (g cara-1 por árbol) por categoría diamétrica a una altura estándar de 25 m para Pinus pseudostrobus Lindl., en la Comunidad Indígena de Nuevo San Juan Parangaricutiro, Michoacán.

 

Una vez elegido el mejor modelo y mediante la función summary(coef()) del programa R®, se extrajeron los valores específicos de la ordenada al origen (parámetro a) para cada nivel de agrupación en el que se obtuvieron valores de 5.440657, 5.945814 y 5.804905en las altitudes de 2 300, 2 500 y 2 700 m, respectivamente; mientras que el parámetro relacionado con la variable d2At fue constante en todos los casos (b=0.05272409). Las expresiones propuestas y la forma de implementación fue la siguiente:

 

 

 

Donde:

y = Producción de resina por cara (g)

d = Diámetro normal (cm)

At = Altura total (m)

ln = Logaritmo natural

exp = Función exponencial

e = Término de error

 

Al sustituir los valores de los parámetros por altitud especifica en la expresión (3) y aplicarlos en árboles con una altura promedio de 25 m y categorías diamétricas de 30 a 110 cm, se observaron valores más altos en la mejor producción de resina (g cara-1): en los árboles de P. pseudostrobus fue a los 2 500 m de altitud, posterior 2 700 m y la más baja a 2 300 m. Además, en un árbol de 60 cm de d y una At de 25 m, al considerar por lo menos cinco colectas por año de producción, y que solo tenga una cara, el rendimiento varió de 2 103.90 g cara-1 por árbol a 2 300 m de altitud a 3 486.68 g cara-1 por árbol a 2 700 m (Figura 2).

A la luz de las evidencias observadas en la Figura 2 y con la finalidad de verificar si los resultados eran estadísticamente diferentes, se decidió realizar un análisis de varianza (ANOVA) entre las tres estimaciones de productividad de resina por categoría diamétrica a una altura estándar de 25 m, esto al considerarlas como poblaciones independientes. Para ello, se utilizó un ANOVA para comparar las medias mediante la prueba de t con un nivel de confiabilidad del 99 % (p=0.01) (Martínez et al.,2006) en el que se plantearon las hipótesis de igualdad de medias (hipótesis nula: Ho) y que por lo menos una es distinta a las demás (hipótesis alternativa: Ha).

Los resultados del ANOVA mostraron diferencias significativas entre las estimaciones (F=387.5, p=<0.001), por lo cual se rechaza Ho y se acepta Ha. Al realizar la separación de medias con la prueba de t y graficarla se ratificó que la producción de resina fue superior a una altitud de 2 500 m, seguida de los individuos en el intervalo que considera 2 700 m, y el área de menor productividad correspondió a la altitud de 2 300 m (Figura 3). En la Figura 3, se observa que el modelo general (producción media) sobrestima el rendimiento de 2 300 m y subestima la producción de resina de los intervalos altitudinales de 2 500 y 2 700 m.

 

Figura 3. Separación de medias (t) para las estimaciones realizadas entre las categorías diamétricas de 30 a 110 cm a una altura estándar de 25 m con los distintos modelos propuestos.

 

Con la validación del ANOVA, se observó que las pruebas de Shapiro-Wilk y de Bartlett indicaron falta de evidencia suficiente para rechazar la hipótesis nula (Moore, 2005), la normalidad de los residuos y que las varianzas son iguales, respectivamente, a un nivel de significancia de p=0.01(99 %), debido a que W=0.9623 y p=0.3759, mientras que K2=3.9137 y p=0.2709. Lo anterior se ratifica con las gráficas q-q plot de normalidad (Figura 4a) y de homocedasticidad de residuales por grupo (Figura 4b).

 

Figura 4. Pruebas gráficas de validación del análisis de varianza (ANOVA) de normalidad (a) y homocedasticidad (b).

 

La distribución altitudinal muestreada para P. pseudostrobus en la CINSJP fue de 2 200—2 800 m, con intervalos altitudinales de 200 m, incluido el óptimo de desarrollo de la especie (2 400—2 600 m) que se consideró como el de la más alta producción de resina (g cara-1), la cual se obtuvo a 2 500 m de altitud, la siguiente a 2 700 m, y la más baja en altitudes de 2 300 m. En trabajos similares con P. oocarpa, los árboles seleccionados como buenos productores de resina se registraron en altitudes de 1 192—1 789 m (Reyes et al., 2019). Cabe mencionar que para esta especie, su óptimo desarrollo se registra en altitudes de 1 200—1 800 m (Dvorak et al., 2000a). Al respecto, existen pocos estudios que sustenten cual es la altitud ideal para tener una mejor producción de resina; no obstante, algunos autores (Nanos et al., 2001; Calama et al., 2010; Rodríguez-García et al., 2014) reconocen que la combinación de factores ambientales en espacio y tiempo, y su interacción con la dinámica del rodal, han sido identificadas como causas de variabilidad en el rendimiento de la resina. Estos resultados pueden explicarse por las diferentes condiciones de índice de sitio presentes a diferentes altitudes. El índice de sitio constituye el principal impulsor de los modelos empíricos de crecimiento y rendimiento, dedicados a la producción de madera, la cual está relacionada con variables dasométricas como el d y la At (Calama et al., 2010).

La producción de resina mensual promedio obtenida (0.250—1.420 kg, en promedio 0.518 kg) fue menor a lo citado por Plesníková (2014) en P. pringlei, con 0.3 a 4.3 kg de resina mensual, en una distribución altitudinal de 1 500 a 2 500 m (Dvorak et al., 2000b). Así como a lo documentado por Reyes-Ramos et al. (2019), quienes obtuvieron de 0.5 kg a 4.5 kg de resina mensual promedio para P. oocarpa. Sin embargo, la producción de resina mensual se comportó de manera similar a lo indicado por el Instituto Nacional de Investigaciones Forestales (1973), con una producción promedio anual para P. oocarpa de 5.5 kg (0.4 kg mes-1) y para Pinus pinaster Aiton, con valores estimados de 3.5—3.8 kg árbol-1 año-1 (Tadesee et al., 2001; Rodríguez-García et al., 2014).

Únicamente para las variables de clasificación de altitud y mes de colecta, los valores de los criterios paramétricos de selección del mejor modelo mostraron mejoras, y el mejor modelo fue el (3) al incluir la altitud y por ser estadísticamente robusto y óptimo a los demás; destacó que los árboles con una altura promedio de 25 m y categorías diamétricas de 30—110 cm presentaron mejor producción de resina (g cara-1), en comparación a otras altitudes (2 300 y 2 700 m).

En trabajos similares con otras especies de pino se ha señalado que la altura de fuste limpio y el número de caras vivas por individuo, son variables que determinan la producción de resina (Reyes et al., 2019). Así, Reynoso-Santos et al. (2018) consignan que los modelos desarrollados a partir de la variable combinada d y At, explican en una buena proporción la producción de resina de pino. Otras de las variables seleccionadas por el modelo fueron la clase de copa y la época de colecta, esto es comprensible, si se considera que al aumentar el tamaño de la copa y en función de la época o temporada de colecta puede aumentar o disminuir la producción de resina (Rodríguez-García et al., 2014).

De acuerdo con la Conafor (2013), la producción de resina se realiza en dos temporadas del año: la temporada alta de marzo a junio, y la baja de julio a febrero. La producción mensual en la estación seca es de 2.2 t mes-1 y de 1 t mes-1 en la temporada baja. Para Michoacán, la temporada seca (especialmente de marzo a junio) es la época más recomendable para la recolecta y, en promedio, un pino resinero produce un kilogramo de resina al mes; cantidad que puede variar en función del número de cortes verticales o caras que se realizan en el tronco (Zamora-Martínez et al., 2013).

Dvorak et al. (2002) registran para P. tecunumanii F. Schwerdtf. ex Eguiluz & J. P. Perryenáreas resinadas, una producción promedio de 0.599 kg árbol-1 mes-1; durante la época seca en especies de P. caribaea var. hondurensis (Sénécl.) W. H. Barrett & Golfari y P. oocarpa obtuvo una producción promedio mensual de 0.476 kg árbol-1 mes-1.

La producción de resina en las diferentes especies presentan rendimientos no constantes durante el transcurso del año, estos están condicionados a diversos factores como la influencia del clima (temperatura, precipitación, humedad, principalmente), factores naturales (procesos fisiológicos complejos tales como la asignación de carbohidratos para el crecimiento), o propios del árbol que se relacionan con las características genéticas de la especie, y entre ellas, la variabilidad dentro del árbol propiamente (Nanos et al., 2001; Tadesse et al.,2001; Calama et al.,2010), así mismo, la edad de los árboles, diámetro de copa, diámetro del fuste, distribución y densidad de los canales resiníferos, la fertilidad del suelo, entre otros (Tadesse et al.,2001; Reynoso-Santos et al., 2018; Reyes-Ramos et al., 2019).

Si se considera que a nivel nacional la producción media anual de resina es de 2.0 kg árbol-1, y para especies netamente resineras como P. oocarpa es de 3.5 kg (Reyes-Ramos et al., 2019), los árboles de P. pseudostrobus localizados en el estrato altitudinal de 2 500 m en la CINSJP son individuos que por su alta productividad en la zona, pueden considerarse como una variable de selección en la etapa inicial de un programa orientado al mejoramiento genético para la producción de resina.

Los modelos generados difieren a los elaborados para otros productos forestales no maderables tales como agaves mezcaleros (A. karwinskii y A. potatorum) (Velasco et al., 2009b); producción de hongos silvestres comestibles (Zamora-Martínez et al., 2009; Velasco et al., 2010); palma comedor en Escárcega, Campeche (Zamora-Martínez et al., 2011); agave lechuguilla (Agave lechuguilla) en San Luis Potosí (Velasco et al., 2009a); resina de P. pseudostrobus y P. leiophylla en Michoacán (Zamora-Martínez et al., 2013) y P. oocarpa en Chiapas (Reynoso-Santos et al.,2018; Cadena-Iñiguez et al., 2019), porque en este estudio se integró al análisis el intervalo altitudinal de distribución de la especie en Michoacán, ubicada en la Sierra Purépecha donde se localiza la CINSJP. Esta última se presenta en altitudes de 2 200 hasta 3 000 m (Madrigal, 1982).

 

Conclusiones

 

 

El modelo propuesto, al considerar variables dasométricas de fácil medición como el diámetro normal y la altura total del arbolado, así como los parámetros globales resultado de la regresión bajo el enfoque de modelos de efectos mixtos, es robusto y estadísticamente confiable para estimar la producción de resina por cara y posteriormente por individuo, en el cual al utilizar los valores aleatorios de sus parámetros por nivel de agrupación, puede emplearse de manera específica por gradiente altitudinal.

La altitud con producciones resineras aparentemente más altas se ubica entre 2 400 y 2 600 m, de tal manera que a medida que disminuye o incrementa el nivel sobre el mar de la topografía, el rendimiento es menor. Por lo tanto, esta información puede emplearse para la planeación de la gestión forestal no maderable en los bosques de la Comunidad Indígena de Nuevo San Juan Parangaricutiro, Michoacán, en donde crece y se desarrolla P. pseudostrobus. Además, constituye una herramienta para determinar el potencial de producción por unidad de superficie o en el establecimiento de plantaciones forestales comerciales no maderables para la producción de resina.

 

Agradecimientos

 

Al INIFAP por la autorización del proyecto fiscal “Mejoramiento genético de Pinus pseudostrobus Lindl., para la producción de resina en Michoacán, México” y por el apoyo en campo del personal de la Dirección Técnica y resineros de la Comunidad Indígena de Nuevo San Juan Parangaricutiro, Michoacán.

 

Conflicto de intereses

 

Los autores declaran no tener conflicto de intereses.

 

Contribución por autor

 

Hipólito Jesús Muñoz-Flores: trabajo de campo y elaboración del manuscrito; Jonathan Hernández-Ramos: análisis estadístico de datos; José Trinidad Sáenz-Reyes: revisión y corrección del manuscrito; Roberto Reynoso-Santos: revisión general y corrección del manuscrito; Rubén Barrera-Ramírez: revisión general.

 

Referencias

Aguilar, S. D. 2008. Programa de manejo forestal persistente para el aprovechamiento de los recursos forestales maderables para el predio denominado Comunidad Indígena de Nuevo San Juan Parangaricutiro, Michoacán. Nuevo Parangaricutiro, Mich., México. 271 p.

Arias T., A. A. y A. Chávez L. 2006. Resina: entre la madera y el desarrollo comunitario integral. Biodiversitas 65:1-7. https://bioteca.biodiversidad.gob.mx/janium/Documentos/7165.pdf. (12 de julio de 2016).

Ayala S., J. C. 2011. Diagnóstico de la situación actual y perspectivas de desarrollo en la producción de la resina de pino en México. In: Foro de intercambio de experiencias: Manejo, aprovechamiento y comercialización de los principales productos forestales no maderables (PFNM) en ecosistemas de bosques templados. Secretaría del Medio Ambiente y Recursos Naturales (Semarnat) y Comisión Nacional Forestal (Conafor). 29 y 30 de septiembre de 2011. Guadalajara, Jal., México. 37 p.

Ayala S., J. C., M. A. Galeote R. y F. J. Zamudio S. 1992. Factibilidad de los aprovechamientos resineros en una plantación joven de Pinus caribea var. Honduresis. Agrociencia 2(3): 47-61. https://www.academia.edu/16250067/1992_FACTIBILIDAD_DE_APROVECHAMIENTOS_RESINEROS_EN_UNA_PLANTACION_JOVEN_DE_PINUS_CARIBAEA_VAR_HONDURENSIS. (12 de julio de 2016).

Bolker, B. M., M. E. Brooks, C. J. Clark, S. W. Geange, … and J. S. S. White. 2009. Generalized linear mixed models: a practical guide for ecology and evolution. Trends in Ecology and Evolution 24(3):127-135. Doi: 10.1016/j.tree.2008.10.008.

Cadena-Iñiguez, P., R. Reynoso-Santos, J. Hernández-Ramos, H. J. Muñoz-Flores and E. Cruz-Santos. 2019. Transfer of a predictive model for the production of pine resin Pinus spp. a small producers in Ejido Jorge de la Vega Domínguez, Cintalapa, Chiapas. International Journal of Agriculture, Environment and Bioresearch 4(4):137-148. Doi: 10.35410/IJAEB.2019.4414.

Calama, R., M. Tomé, M. Sánchez-González, J. Miina, K. Spanos and M. Palahí. 2010. Modelling non-wood forest products in Europe: a review. Forest Systems 49(SI):69-85. Doi: 10.5424/fs/201019S-9324.

Castedo D., F., U. Diéguez-Aranda, M. Barrio A., M. Sánchez R. and K. von Gadow. 2006. A generalized height-diameter model including random components for radiata pine plantations in northwestern Spain. Forest Ecology and Management 229(1-3):202–213. Doi: 10.1016/j.foreco.2006.04.028.

Cayuela, L. 2014. Modelos lineales mixtos (LMM) y modelos lineales generalizados mixtos (GLMM) en R. Universidad Rey Juan Carlos. Madrid, MD, España. 66 p.

Comisión Forestal del Estado de Michoacán (Cofom). 2007. Programa de Desarrollo Forestal Sustentable 2030 Tomo III Anexo de Información Estadística. Cofom. Morelia, Mich., México. 284 p. http://www.conafor.gob.mx:8080/documentos/docs/12/184Programa%20Estrat%c3%a9gico%20Forestal%20del%20Estado%20de%20Michoacan%20Tomo%20III.pdf. (20 de mayo de 2022).

Comisión Nacional Forestal (Conafor). 2013. La producción de resina de pino en México. Secretaría de Medio Ambiente y Recursos Naturales (Semarnat). Zapopan, Jal., México. 101 p. http://www.conafor.gob.mx:8080/documentos/docs/43/6046La%20producci%C3%B3n%20de%20resina%20de%20pino%20en%20M%C3%A9xico.pdf. (12 de julio de 2016).

Corral R., S., A. M. Silva A. y G. Quiñonez B. 2019. Modelo generalizado no-lineal altura-diámetro con efectos mixtos para siete especies de Pinus en Durango, México. Revista Mexicana de Ciencias Forestales 10(53):86-117. Doi: 10.29298/rmcf.v10i53.500.

Correa M., J. C. y J. C. Salazar U. 2016. Introducción a los modelos mixtos. Universidad Nacional de Colombia. Medellín, ANT, Colombia. 257 p.

Cunningham, A. P. 2009. Estado actual de la resinación. Trabajo presentado en el XIII Congreso Forestal Mundial. Buenos Aires, Argentina. 7 p. https://www.academia.edu/4010228/Estado_actual_de_la_resinaci%C3%B3n_en_el_mundo. (15 abril de 2022).

Dvorak, W. S., E. A. Gutiérrez, L. F. Osorio, G. R. Hodge and J. T. Brawner. 2000a. Pinus oocarpa. In: CAMCORE Cooperative. Conservation and testing of tropical and subtropical forest tree species. Grow Graphics. Raleight, NC, USA. pp. 129-147.

Dvorak, W. S., G. R. Hodge y J. L. Romero. 2002. Resultados de veinte años de investigación sobre el Pinus tecunumanii por la Cooperativa de CAMCORE. Recursos Genéticos Forestales No. 29. Roma, RM, Italia. https://www.fao.org/3/y2316s/y2316s02.htm#bm02. (22 de febrero de 2021).

Dvorak, W. S., P. Kikuti and I. Fier. 2000b. Pinus pringlei. In: CAMCORE Cooperative. Conservation and testing of tropical and subtropical forest tree species. Grow Graphics. Raleight, NC, USA. pp. 174-187.

Instituto Nacional de Estadística y Geografía (INEGI). 2009. Compendio de información geográfica municipal 2010. Nuevo Parangaricutiro, Michoacán de Ocampo. INEGI. Cuauhtémoc, México D. F., México. 10 p. http://www3.inegi.org.mx/contenidos/app/mexicocifras/datos_geograficos/16/16058.pdf. (30 de septiembre de 2019).

Instituto Nacional de Estadística y Geografía (Inegi). 2017. Anuario estadístico y geográfico de Michoacán de Ocampo 2017. INEGI. Aguascalientes, Ags., México. 723 p. https://www.inegi.org.mx/contenidos/productos/prod_serv/contenidos/espanol/bvinegi/productos/nueva_estruc/anuarios_2017/702825092092.pdf. (30 de septiembre de 2019).

Instituto Nacional de Investigaciones Forestales (INIF). 1973. Situación de la industria resinera en México. Publicación Especial Núm. 11. Secretaría de Agricultura y Recursos Hidráulicos. Coyoacán, México D. F., México. 138 p.

Littell, R. C., G. A. Milliken, W. W. Stroup, R. D. Wolfinger and O. Schabenberger. 2006. SAS for mixed models. SAS Institue Inc. Cary, NC, USA. 834 p.

Madrigal S., X. 1982. Claves para la identificación de las coníferas silvestres del Estado de Michoacán. Instituto Nacional de Investigaciones Forestales. Coyoacán, México, D. F., México. 100 p.

Martínez G., M. A., A. Sánchez V. y F. J. Faulin F. 2006. Bioestadística amigable. Editorial Díaz de Santos, S. A. Madrid, Mad., España. 936 p.

Mas P., J. y A. Prado. 1981. Comparación del método de resinación de pica de corteza con estimulantes contra el método francés. Boletín Técnico Núm. 35. Instituto Nacional de Investigaciones Forestales. Coyoacán, D. F., México. 20 p.

Moore, D. S. 2005. Estadística aplicada básica. Antoni Bosch. Trujillo, LL, Perú. 874 p.

Nanos, N., W. Tadesse, G. Montero, L. Gil and R. Alia. 2001. Spatial stochastic modeling of resin yield from pine stands. Canadian Journal of Forest Research 31(7):1140-1147. Doi: 10.1139/cjfr-31-7-1140.

Pinheiro, J. C., D. M. Bates and M. J. Lindstrom. 1994. Model building for nonlinear mixed effects model. University of Wisconsin. Madison, WI, USA. 11 p.

Plesníková, I. F. 2014. Variación genética en un ensayo de progenies de Pinus pringlei Shaw ex Sargent., procedentes de árboles superiores en producción de resina. Tesis de Maestría. Instituto de Investigaciones Agropecuarias y Forestales, Universidad Michoacana de San Nicolás de Hidalgo (IIAF-UMSNH). Morelia, Mich., México. 67 p.

R Core Team. 2016. The R Project for Statistical Computing. Vienna, W., Austria. R Foundation for Statistical Computing. www.R-project.org/. (30 de octubre de 2020).

Reyes-Ramos, A., J. Cruz de León, A. Martínez-Palacios, P. C. M. Lobit, J. E. Ambríz-Parra y N. M. Sánchez-Vargas. 2019. Caracteres ecológicos y dendrométricos que influyen en la producción de resina en Pinus oocarpa de Michoacán, México. Madera y Bosques 25(1):1-13. Doi: 10.21829/myb.2019.2511414.

Reynoso-Santos, R., J. Hernández-Ramos, H. J. Muñoz-Flores, W. López-Báez, P. Cadena-Iñiguez, E. Cruz S. y E. A. Rodríguez C. 2018. Modelo para predecir la producción de resina de Pinus oocarpa Schiede ex Schltdl. en el ejido Jorge de la Vega, Chiapas, México. In: Martínez H., J., M. Á. Ramírez G. y J. Cámara-Córdoba (Edit.). Investigaciones Científicas y Agrotecnológicas para la Seguridad Alimentaria. Universidad Juárez Autónoma de Tabasco e Instituto Nacional de Investigaciones Forestales, Agrícolas y Pecuarias. Villahermosa, Tab., México. pp. 546-551.

Rodríguez-García, A., R. López, J. A. Martín, F. Pinillos and L. Gil. 2014. Resin yield in Pinus pinaster is related to tree dendrometry, stand density and tapping-induced systemic changes in xylem anatomy. Forest Ecology and Management 313(2):47-54. Doi: 10.1016/j.foreco.2013.10.038.

Romahn de la V., C. F.1992. Principales productos forestales no maderables de México. Universidad Autónoma Chapingo. Texcoco de Mora, Edo. Méx, México. 561 p.

Santana, J. S. y E. Mateos F. 2014. El arte de programar en R: un lenguaje para la estadística. Instituto Mexicano de Tecnología del Agua IMTA, Organización de las Naciones Unidas para la Educación, la Ciencia y la Cultura UNESCO y Comité Nacional Mexicano del Programa Hidrológico Internacional. Jiutepec, Mor., México. 193 p.

SAS Institute Inc. 2014. SAS/ETS 13.2 User’s Guide High-Performance Procedures. SAS Institute Inc. Cary, NC, USA. 413 p.

Secretaria de Medio Ambiente y Recursos Naturales (Semarnat). 2016. Anuario Estadístico de la Producción Forestal 2016. Semarnat. Miguel Hidalgo, CdMx, México. 228 p. https://www.gob.mx/cms/uploads/attachment/file/282951/2016.pdf. (30 de noviembre de 2019).

Secretaria de Medio Ambiente y Recursos Naturales (Semarnat). 2017. Anuario Estadístico de la Producción Forestal 2017. Semarnat. Miguel Hidalgo, CdMx, México. 284 p. https://dsiappsdev.semarnat.gob.mx/datos/portal/publicaciones/2020/2017.pdf. (25 de enero de 2022).

Tadesse, W., F. J. Auñón, J. A. Pardos, L. Gil y R. Alía. 2001. Evaluación precoz de la producción de miera en Pinus pinaster Ait. Investigación Agraria: Sistemas y Recursos Forestales 10(1):141-150. https://1library.co/document/qvp7d8gq-evaluacion-precoz-produccion-miera-pinus-pinaster-ait.html. (28 de noviembre de 2019).

Velasco B., E., A. Arredondo G., M. C. Zamora-Martínez y F. Moreno S. 2009a. Modelos predictivos para la producción de productos forestales no maderables: Lechuguilla. Manual Técnico Núm. 2. INIFAP-Centro Nacional de Investigación Disciplinaria en Conservación y Mejoramiento de Ecosistemas Forestales. Coyoacán, México D. F., México. 56 p.

Velasco B., E., M. C. Zamora-Martínez, C. Nieto de Pascual P., J. I. Martínez-Valdez y A. Montoya. 2010. Modelos predictivos de la producción de hongos silvestres comestibles en bosques de coníferas, Tlaxcala, México. Revista Mexicana de Ciencias Forestales 1(1):95-104. Doi: 10.29298/rmcf.v1i1.657.

Velasco B., E., M. C. Zamora-Martínez, H. Espinosa P., C. Sampayo B. y F. Moreno S. 2009b. Modelos predictivos para la producción de productos forestales no maderables: Agaves Mezcaleros. Manual Técnico Núm. 3. INIFAP-Centro Nacional de Investigación Disciplinaria en Conservación y Mejoramiento de Ecosistemas Forestales. Coyoacán, México D. F., México. 60 p.

Zamora-Martínez, M. C., E. Velasco B., A. González H. y G. Hernández G. 2011. Modelos predictivos para la producción de productos forestales no maderables: Palma Camedor. Manual Técnico Núm. 4. INIFAP-Centro Nacional de Investigación Disciplinaria en Conservación y Mejoramiento de Ecosistemas Forestales. Coyoacán, México D. F., México. 64 p.

Zamora-Martínez, M. C., E. Velasco B., A. González H., C. Nieto de Pascual P., F. Moreno S., M. E. Romero S. y A. Flores G. 2009. Modelos predictivos para la producción de productos forestales no maderables: Hongos. Manual Técnico Núm. 1. INIFAP-Centro Nacional de Investigación Disciplinaria en Conservación y Mejoramiento de Ecosistemas Forestales. Coyoacán, México D. F., México. 56 p.

Zamora-Martínez, M. C., E. Velasco B., H. J. Muñoz F. y M. E. Romero S. 2013. Modelos predictivos para la producción de productos forestales no maderables: Resina de Pino. Manual Técnico Núm. 9. INIFAP-Centro Nacional de Investigación Disciplinaria en Conservación y Mejoramiento de Ecosistemas Forestales. Coyoacán, México D. F., México. 44 p.

 

 

 

 

        

Todos los textos publicados por la Revista Mexicana de Ciencias Forestales sin excepción– se distribuyen amparados bajo la licencia Creative Commons 4.0 Atribución-No Comercial (CC BY-NC 4.0 Internacional), que permite a terceros utilizar lo publicado siempre que mencionen la autoría del trabajo y a la primera publicación en esta revista.