Revista Mexicana de Ciencias Forestales Vol. 13 (73)

Septiembre – Octubre (2022)

Logotipo, nombre de la empresa

Descripción generada automáticamente

DOI: https://doi.org/10.29298/rmcf.v13i73.1187

Artículo

Modelación de las estructuras diamétricas en bosques naturales de Pueblo Nuevo, Durango

Modelling diameter distribution of natural forests in Pueblo Nuevo, Durango State

 

Alondra Anahi Vega1, Sacramento Corral Rivas1*, José Javier Corral Rivas2, Ulises Diéguez Aranda3

Fecha de recepción/Reception date: 13 julio de 2021

Fecha de aceptación/Acceptance date: 18 de julio de 2022

_______________________________

1Tecnológico Nacional de México. Instituto Tecnológico de El Salto. México.

2Facultad de Ciencias Forestales, Universidad Juárez del Estado de Durango. México.

3Departamento de Ingeniería Agroforestal. Escuela Politécnica Superior de Lugo. Universidad de Santiago de Compostela. España.

 

*Autor para correspondencia; correo-e: sacramento.cr@salto.tecnm.mx

*Corresponding author; e-mail: sacramento.cr@salto.tecnm.mx

 

Resumen

Las distribuciones diamétricas son un factor importante en la caracterización del rodal, ya que el diámetro, generalmente, está correlacionado con otras variables de interés como la altura, volumen, biomasa, etcétera, esto permite conocer el tipo de productos que pueden obtenerse del bosque. El objetivo de la presente investigación fue desarrollar una estrategia para ajustar las FDP Weibull, Beta y SB Johnson, así como reconstruir (modelación) la distribución diamétrica futura con el método de recuperación de parámetros. En una primera etapa, se estudió comparativamente la calidad de ajuste de tres funciones de distribución de probabilidad (FDP: Weibull, SB Johnson y Beta) mediante los métodos de momentos y máxima verosimilitud para recuperar los parámetros y describir la distribución diamétrica de 2 252 parcelas temporales de muestreo ubicadas en bosques naturales de Pueblo Nuevo, Durango, México. En general, los mejores resultados en términos de precisión y parsimonia en la etapa de ajuste, evaluados mediante el sesgo medio y la Raíz del Error Medio Cuadrático, se obtuvieron con la FDP Weibull ajustada con el método de los momentos; mientras que las distribuciones SB Johnson y Beta se ubicaron en segundo y tercer lugar, respectivamente. Por tanto, la FDP Weibull biparamétrica fue seleccionada para modelar las distribuciones diamétricas de los rodales estudiados. La técnica de la recuperación de parámetros evidenció que 62 % de las parcelas modeladas siguen una distribución teórica tipo Weibull con 20 % de nivel de significancia en la prueba de Kolmogorov-Smirnov.

Palabras clave: Distribución diamétrica, función Weibull biparamétrica, masas mixtas, método de momentos, recuperación de parámetros, sitios de muestreo.

Abstract

Diameter distributions are an important factor in stand characterization because the diameter is generally correlated with other variables such height, volume, and biomass, and this makes it possible to know what kind products can be harvested from forests. The objective of this research was to develop a strategy to fit the Weibull, Beta and SB Johnson PDFs and reconstruct (modeling) the future diameter distribution with the parameter recovery method. In the first phase, the goodness-of-fit of three probability distribution functions, or PDFs, (Weibull, Johnson’s SB, and Beta) was evaluated using the moments and the maximum likelihood methods to estimate the distribution parameters of 2 252 temporary sampling plots distributed in natural forests in Pueblo Nuevo, Durango, Mexico. In general, the best results in terms of accuracy and parsimony during the model fitting evaluated with the average bias and the root mean square error were obtained with Weibull’s PDF, fitted with the moments method was the best, while Johnson’s SB and Beta were ranked in second and third position, respectively. Therefore, the two-parameter Weibull’s PDF was selected to describe the diameter distributions of the studied forest stands. The parameter recovery method suggested that 62 % of evaluated sampling plots followed a Weibull distribution with a significance level of 20 % in the Kolmogorov-Smirnov test.

Key words: Diametric distribution, two-parameter Weibull function, mixed stands, moments method, parameter recovery, sampling plots.

 

Introducción

 

 

Los bosques naturales de clima templado frío del estado de Durango se ubican en la Sierra Madre Occidental (SMO), ocupan una extensa franja territorial que cubre casi medio estado desde el noroeste hasta el sureste, y han aportado en promedio 30.2 % (2.5 millones de m3) del total de la producción maderable en México durante los años 2017 y 2018 (Semarnat, 2021). De acuerdo a González-Elizondo et al. (2012), en estos bosques se registran 21 especies del género Pinus, que representan aproximadamente 20 % de todos los taxones de pino existentes en el mundo y 43 taxa de Quercus. En menor proporción, se presentan especies de Cupressus, Juniperus, Fraxinus, Arbutus, Abies, Pseudtsuga y Alnus. La mayoría de las masas forestales corresponden a una estructura irregular, con una mezcla de taxa de Pinus y Quercus, principalmente.

El manejo forestal sustentable requiere información referente a la distribución del número de árboles por clase diamétrica del rodal, la cual es necesaria para predecir el volumen y su distribución por tipo de productos. Además, provee información sobre la estabilidad y estructura del rodal, características útiles en la prescripción de tratamientos silvícolas (Gorgoso-Varela et al., 2020).

El uso de las funciones de densidad de probabilidad (FDP) para estimar el número de árboles por clase diamétrica, junto con la medición de algunas variables del rodal (altura dominante, altura media, área basal, etcétera), son de utilidad para reducir los costos de los inventarios forestales y mejorar las predicciones de los modelos de crecimiento existentes. Algunas FDP han sido adecuadamente usadas para describir y predecir la estructura diamétrica de rodales forestales: Beta, Gamma, Normal, Weibull, SB Johnson y en años recientes, Logit-Logistic (Ogana, 2020). Ahora bien, si se considera que en estas funciones se usan diferentes técnicas de estimación de parámetros, diversos estadísticos para medir la bondad de ajuste y distintos datos, es muy probable que todo ello haya contribuido a diferentes conclusiones. Por tanto, no hay una razón teórica por la que deba existir una sola FDP para todas las situaciones posibles (Wang y Rennolls, 2005).

El propósito de modelar con precisión la distribución diamétrica del rodal, es estimar los parámetros de la FDP que determina la frecuencia por clase de diámetro en un momento específico de tiempo (edad o un año en particular). Por lo tanto, los parámetros de la FDP pueden estimarse por dos métodos: (i) en forma explícita mediante la predicción de parámetros, por ejemplo, a partir de modelos lineales; y (ii) con la técnica indirecta de recuperación de parámetros, la cual no predice directamente los parámetros de la FDP, sino que las funciones estiman parámetros que están directamente relacionados con la distribución, por ejemplo, momentos centrales, no centrales o un conjunto de percentiles (Hyink y Moser, 1983).

En la actualidad, existen estudios que comparan la precisión lograda con los métodos de predicción y recuperación de parámetros (Maldonado y Návar, 2002; Cao, 2004; Palahí et al., 2006; Jiang y Brooks, 2009); sin embargo, se han desarrollado en plantaciones y masas forestales con una o dos especies. Por ello, para los bosques naturales de la Sierra Madre Occidental donde existe una mezcla alta de especies son escasos los trabajos citados (Corral-Rivas et al., 2015); de ahí la importancia de estudiar las metodologías para evaluar diferentes alternativas de modelación implícita del crecimiento y rendimiento en volumen por unidad de superficie en los bosques naturales del suroeste de Durango, México.

El objetivo de la contribución fue desarrollar una estrategia para ajustar las FDP Weibull, Beta y SB Johnson,además de reconstruir (modelación) la distribución diamétrica futura con el método de recuperación de parámetros.

 

 

Materiales y Métodos

 

 

Área de estudio

 

 

El área de estudio fue el ejido La Victoria, localizado al suroeste del estado de Durango, México, entre las coordenadas geográficas 105°25'39.465" longitud oeste y 23°43'53.022" latitud norte. La altura sobre el nivel del mar fluctúa entre 2 400 y 2 850 m. El clima predominante es templado semifrío, con lluvias en verano. La precipitación media anual varia de 900 a 1 200 mm, y la temperatura media anual varia de 5 a 18 °C (García, 2004). Los bosques están constituidos por especies de los géneros Pinus, Quercus, Juniperus, Cupressus, Pseudotsuga, Arbutus y Alnus que forman estructuras mixtas e irregulares.

 

 

Datos

 

 

Los datos provinieron de 2 252 sitios temporales de muestreo de forma circular de 0.10 ha ubicados en el ejido La Victoria, municipio Pueblo Nuevo, Durango, y obtenidos en 2017 mediante un diseño de muestreo sistemático estratificado, durante el inventario de manejo forestal maderable. Se cubrió una superficie de 10 876 ha divididas en 518 unidades de manejo (rodales). En la base de datos se registraron ocho especies de coníferas: Pinus cooperi C. E. Blanco, P. durangensis Martínez, P. leiophylla Schiede ex Schltdl. & Cham., P. teocote Schied. ex Schltdl. & Cham., P. engelmannii Carrière, P. strobiformis Engelm., P. herrerae Martínezy Juniperus deppeana Steud.; y ocho de latifoliadas: Alnus acuminata Kunth, Arbutus bicolor S. González, M. González & P. D. Sørensen, Quercus durifolia Seemen ex Loes., Q. sideroxyla Bonpl., Q. obtusata Bonpl., Q. coccolobifolia Trel., Q. viminea Trel. y Q. candicans Née.

Para cada árbol con diámetro normal igual o mayor a 7.5 cm se obtuvo el diámetro normal medido a 1.3 m (d, cm) con cintas diamétricas Ben Meadows® modelo 122450; la altura total del árbol (h, m) y del fuste sin ramas (h, m) se midió con el clinómetro SUUNTO® modelo Pm5/360pc. Con estos datos se estimaron las variables: número de árboles por hectárea (N, árboles ha-1), área basal (G, m2 ha-1), diámetro medio cuadrático (dg, cm), altura y diámetro dominantes, estimados como el promedio de los 100 árboles de mayor dimensión por hectárea (H0, m y D0, cm, respectivamente) (Assmann, 1970). En el Cuadro 1 se muestran los principales estadísticos descriptivos de la base de datos usada en el ajuste de las FDP.

 

Cuadro 1. Resumen de la base de datos empleada en el ajuste y modelización de las distribuciones diamétricas.

Variable

Media

Intervalo

Diámetro normal (d, cm)

19.6

7.9‒64.9

Altura total (h, m)

10.2

6.5‒15.0

Coeficiente de asimetría del diámetro normal (cm)

1.2

-0.2‒4.0

Coeficiente de Curtosis del diámetro normal (cm)

4.4

1.5‒22.6

Altura dominante (H0, m)

17.9

12.7‒25.4

Diámetro dominante (D0, m)

39.1

28‒50.3

Diámetro medio cuadrático (dg)

22.3

15.8‒28.6

Área basal por hectárea (G, m2)

24.5

13‒38.3

Número de árboles por hectárea (N)

630.6

400‒1 303

 

 

Modelos

 

 

Ajuste de las FDP

 

 

Se probó la bondad de ajuste de tres de las FDP de más amplio uso en el campo forestal (Gorgoso et al., 2012; Ogana, 2020), las cuales se describen enseguida.

 

 

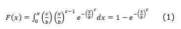
FDP Weibull de dos parámetros

 

 

La FDP Weibull de dos parámetros tiene la expresión siguiente (Bailey y Dell, 1973):

 

    

 

Donde:

F(x) = Frecuencia relativa acumulada de la variable aleatoria x

b y c = Parámetros de escala y forma, respectivamente

 

Los parámetros de la FDP Weibull se estimaron por dos métodos: (i) máxima verosimilitud, y (ii) momentos.

 

 

Máxima Verosimilitud (ML)

 

 

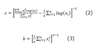
El método comúnmente usado para estimar los parámetros de la FDP Weibull con buenas estimaciones es ML, en comparación con otros procedimientos (Sghaier et al., 2016). De acuerdo a Nanos y Montero (2002), los parámetros b y c se resuelven con las expresiones siguientes:

 

    

 

Donde:

n = Número de observaciones

xi = Diámetro normal de cada árbol

 

El valor del parámetro c se calculó con la Ecuación 2 mediante un procedimiento iterativo, posteriormente el valor del parámetro b se obtuvo con la Ecuación 3.

 

 

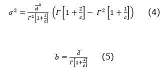
Método de Momentos (MM)

 

 

El MM consiste en relacionar los parámetros b y c de la FDP Weibull con el primer y el segundo momento de la distribución diamétrica (diámetro promedio y varianza). Lei (2008) indica que los parámetros b y c se resuelven con las expresiones siguientes:

 

    

 

Donde:

 

El valor del parámetro c en la Ecuación 4 se estimó con un procedimiento iterativo, posteriormente el valor del parámetro b se obtuvo con la Ecuación 5.

 

 

FDP SB Johnson

 

 

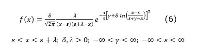
La FDP SB Johnson tiene la expresión siguiente (Johnson, 1949):

 

    

 

Donde:

 

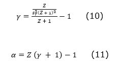
Los parámetros de la FDP SB Johnson se determinaron por el método de momentos (MM) (Soares et al., 2003); se consideró el valor del parámetro de localización () como el diámetro mínimo de la distribución y el valor del parámetro de escala () como la diferencia entre al valor máximo y mínimo de la distribución (intervalo); en tanto que los parámetros de forma () se estimaron con las expresiones siguientes:

 

    

 

Donde:

 

 

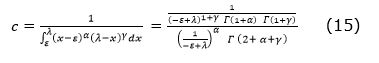
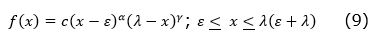
FDP Beta

 

 

La expresión general de la FDP Beta para una variable aleatoria continua sigue la expresión siguiente:

 

 

Donde:

 

Los parámetros de la FDP Beta se calcularon por el método de momentos (Loetsch et al., 1973). Los parámetros se obtienen del primer y segundo momento de la distribución (diámetro medio aritmético  y la varianza , respectivamente) mediante las expresiones siguientes:

 

    

 

Donde:

 

     

 

El parámetro c se calcula como:

 

    

 

Donde:

 

Los parámetros de las FDP se obtuvieron usando la función mledist del paquete fitdistrplus (Delignette-Muller y Dutang, 2015) implementado en R (R Core Team, 2020).

 

 

Evaluación de las FDP

 

 

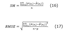
El análisis de la capacidad de ajuste de las FDP se basó en comparaciones numéricas y gráficas de los errores (residuos). Los estadísticos utilizados para evaluar la bondad de ajuste fueron: (i) Sesgo medio (SM), cuyo valor óptimo es cero, lo que implica que las desviaciones entre los valores reales y predichos se compensan para el total de los datos analizados; y (ii) Raíz del Error Medio Cuadrático (REMC), el cual es un indicador de la precisión: cuanto menor sea su valor, menor será la diferencia entre los valores reales y los predichos (Gorgoso-Varela et al., 2020). Las expresiones matemáticas son las siguientes:

 

    

 

Donde:

 

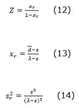
Los valores del SM y REMC se estimaron para cada FDP como el promedio de las frecuencias relativas de cada clase diamétrica (se tabuló en clases de 2 cm) para cada sitio de muestreo y rodal. Para validar si las frecuencias acumuladas empíricas y teóricas son similares, se usó la prueba de Kolmogorov-Smirnov (KS) (Sokal y Rohlf, 2012). La diferencia máxima en valor absoluto más notable entre ambas frecuencias estará dada por el valor Dnde la expresión siguiente:

 

    

 

Donde:

F(xi) y F*(xi) = Distribución empírica y teórica acumulada, respectivamente

 

El valor de Dn se compara con el obtenido de una tabla en función del número de datos (n) y el nivel de significancia escogido (α=20 %).

 

 

Modelación de los parámetros de las FDP

 

 

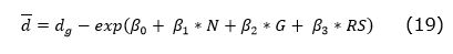
Para estimar los parámetros de la distribución futura se utilizó la metodología de los momentos de Shifley y Lentz (1985), de modo que los parámetros de la FDP están directamente relacionados con los momentos de primer y segundo orden respecto al origen, es decir, el diámetro promedio  y la varianza (). A su vez, esta última se relaciona con el diámetro medio cuadrático del rodal (dg). El valor del dg del rodal a cualquier edad (años) se puede estimar a partir de los valores de densidad (N, árboles ha-1) y de área basal (G, m2 ha-1) [], que se obtienen de los modelos que se construyan para las especies presentes en el rodal. Sin embargo, debido a que el valor del  no se puede obtener directamente a partir de las variables del rodal, se ajustó una relación entre el dg y las variables del rodal.

Dado que el dg siempre es igual o mayor que el , se utilizó un modelo matemático para reducir el sesgo que genera utilizar el dg originalmente estimado [], donde X es una matriz de las variables de rodal que caracterizan el estado del mismo a cualquier edad y que pueden obtenerse de un modelo de rodal estático o dinámico;  es el vector de parámetros por estimar. Una vez conocido el valor de  y  del rodal, la varianza () (momento de segundo orden de la distribución respecto a la media) se calcula mediante la relación matemática:  (Frazier, 1981).

En el caso de las FDP SB Johnson y Beta, la metodología de recuperación de parámetros por el método de momentos requirió ajustar otra ecuación que relacionó el diámetro máximo de la distribución con las variables del rodal y que se estiman a partir de los modelos de crecimiento []. Con estas ecuaciones será posible emplear las relaciones para estimar ,  y  asumiendo que el parámetro de localización  corresponde al diámetro mínimo inventariable, que para este caso es igual a cero (Gorgoso et al., 2012).

 

 

Resultados y Discusión

 

 

Ajuste y evaluación de las FDP

 

 

En el Cuadro 2 se presentan los estadísticos usados para evaluar la calidad del ajuste, así como el número y porcentaje de sitios de muestreo que superaron la prueba de KS para las FDP evaluadas.

 

Cuadro 2. Bondad de ajuste de las funciones de densidad de probabilidad (FDP) evaluadas en la etapa de ajuste.

FDP

SM

REMC

KS (n)

KS (%)

Weibull (MM)

0.10

0.29

1 595

70.8

Weibull (ML)

0.10

0.30

1 509

67.0

SB Johnson

0.11

0.30

1 351

60.0

Beta

0.16

0.96

742

32.9

SM = Sesgo medio (cm); REMC = Raíz del Error Medio Cuadrático; KS (n) y KS (%) = Número y porcentaje de parcelas que superaron la prueba de Kolmogorov-Smirnov de un total de 2 252, respectivamente; MM = Método de Momentos; ML = Método de Máxima Verosimilitud.

 

Los estadísticos revelan una diferencia significativa entre la capacidad del ajuste de la FDP Weibull respecto a las FDP Beta y SB Johnson. Lo anterior se demostró en los valores más bajos del SM y la REMC en todas las clases diamétricas, además presentó el porcentaje más alto de sitios de muestreo que superaron la prueba de KS para un nivel de significancia de 20 %; lo que da una idea clara de la validez del uso de esta distribución para describir adecuadamente el amplio intervalo de formas que muestran las distribuciones diamétricas para este tipo de masas forestales. Pece et al. (2000) sugieren que el nivel de significancia de 20 % de la prueba de KS es el más exigente al reducir las desviaciones mínimas para el no rechazo de la concordancia.

Los resultados reflejan la flexibilidad y parsimonia de la FDP Weibull debido a que solo requiere la estimación de dos parámetros, en comparación a cuatro que se tiene que estimar en las FDP Beta y SB Johnson. Diversos autores también citan la flexibilidad de la FDP Weibull para describir un amplio intervalo de distribuciones unimodales (j-invertida, exponencial y normal), además, resaltan su capacidad para ser expresada en su forma cerrada, como función de distribución acumulada (simplicidad matemática) (Bailey y Dell, 1973; Reynolds et al., 1998; Maldonado y Návar, 2002; Liu et al., 2004; Palahí et al., 2006; Lei, 2008; Pogoda et al., 2019).

Al analizar las metodologías de ajuste de la FDP Weibull, se observó una ganancia marginal en el número de parcelas que superaron la prueba de KS mediante el uso del MM (70.8 %), en contraste con el ML (67.0 %). Al respecto, trabajos como el de Corral-Rivas et al. (2015) confirman la idoneidad del ajuste de la FDP Weibull por el MM, en relación a cuatro metodologías alternativas evaluadas para los bosques mixtos e irregulares del noroeste de Durango. Por su parte, Sun et al. (2019) recomiendan estimar los parámetros de esta distribución con el método de momentos y regresión no lineal para masas mixtas e irregulares en China.

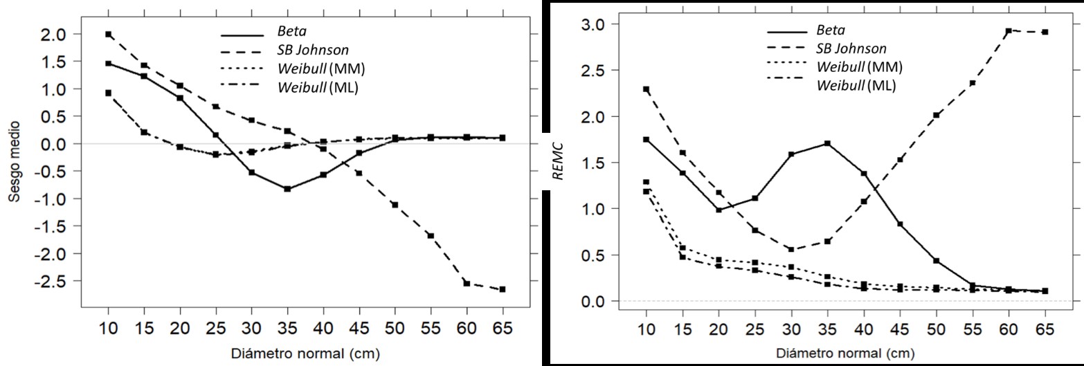
Para la detección de algún tipo de patrón sistemático, se analizó el comportamiento de las FDP con base en la evolución del SM y la REMC en la predicción del número de árboles por clase diamétrica (Figura 1).

 

Figura 1. Evolución del sesgo medio y Raíz del Error Medio Cuadrático (REMC) en la predicción de árboles por clase diamétrica de las FDP evaluadas en la etapa de ajuste.

 

A la vista de la Figura 1, se observa que la FDP SB Johnson presentó los valores de SM y REMC más altos en las clases diamétricas menores, indicativo de que subestima las frecuencias en las clases diamétricas más pequeñas y sobreestima en las clases diamétricas a partir de 45 cm. La FDP Beta también subestima las frecuencias más pequeñas y sobreestima las frecuencias intermedias (30–40 cm), mejora su precisión a partir de la clase diamétrica de 45 cm. Finalmente, la estimación de las frecuencias con mejor precisión en todo el intervalo de las clases diamétricas observadas con una tendencia muy similar, se logró con el ajuste de la FDP Weibull mediante el MM y ML.

Al comparar las metodologías de ajuste MM y ML de la FDP Weibull, se observó que no existen diferencias significativas entre los valores de los estadísticos de bondad de ajuste y su comportamiento en la predicción de las frecuencias en todo el intervalo de las clases diamétricas. Gorgoso et al. (2012) y Quiñonez et al. (2015) en sus estudios en el noroeste de Durango, México y en el noroeste de España, respectivamente, obtienen los mejores resultados con la metodología de ajuste de MM y ML. Por tanto, para seleccionar la metodología de ajuste de la FDP Weibull, se analizó el número de parcelas excluidas con la prueba de KS, se determinó que el MM fue ligeramente mayor (70.8 %), por lo que el resto de los análisis se limitan a dicha función con los parámetros estimados mediante el MM para la modelación de las distribuciones diamétricas del rodal a cualquier intervalo de tiempo.

 

 

Modelación de la distribución diamétrica

 

 

La estimación de los parámetros (escala y forma) de la FDP Weibull mediante la metodología de recuperación de parámetros con el MM, presentó simplicidad y resultados deseables de acuerdo a los valores de los estadísticos de bondad de ajuste evaluados. Del total de los sitios de muestreo, 62 % superaron la prueba de KS para un nivel de significancia de 20 % (1 394 sitios de muestreo). Este resultado da validez e idoneidad a la FDP Weibull para describir adecuadamente el amplio intervalo de formas que se observan en las distribuciones diametrales de los bosques sometidos a manejo forestal en cualquier etapa de su desarrollo. Resultados similares obtuvieron Siipilehto y Mehtätalo (2013), quienes comparan las metodologías de recuperación y predicción de los parámetros de la FDP Weibull de dos parámetros en rodales de Pinus sylvestris L. en Finlandia; demostraron que la recuperación de parámetros proporciona mejor compatibilidad con las características del rodal, especialmente al estimar el volumen por clase diamétrica con mayor precisión. Además, Quiñonez et al. (2015) demuestran que para las masas incoetáneas con una mezcla de especies, la recuperación de los parámetros por el MM de la FDP Weibull resulta ser más precisa.

Puesto que el diámetro promedio de un rodal siempre es menor o igual que su diámetro promedio cuadrático, la relación al ajustar debe cumplir esta condición de compatibilidad. Para ello, se determinó que el modelo matemático que cumple tal restricción tiene la estructura siguiente:

 

    

 

Donde:

dg = Diámetro promedio cuadrático (cm)

N = Número de árboles por hectárea

G = Área basal (m2 ha-1)

RS = Índice de espaciamiento relativo (%)

βi = Parámetros a ser estimados

 

El ajuste de la Ecuación 19 fue bueno, ya que los valores del coeficiente de determinación (R2) y de la REMC fueron de 0.933 y 0.722 cm, respectivamente. En el Cuadro 3 se presentan los valores estimados de los parámetros con la Ecuación 19.

 

Cuadro 3. Parámetros estimados con el modelo de predicción del diámetro promedio del rodal.

Parámetro

Estimadores

Error estándar

t para H0

(Parámetro=0)

Prob>F

β0

0.69223

0.06014

11.51

0.0001

β1

-0.00085

0.00008

-11.08

0.0001

β2

0.01293

0.00217

5.96

0.0001

β3

0.02963

0.00379

7.82

0.0001

 

El proceso de validación derivado de la representación de la evolución del sesgo medio y la Raíz del Error Medio Cuadrático por clases diamétricas obtenidos en la etapa de ajuste y modelación de la FDP Weibull,se muestra en la Figura 2.

 

Figura 2. Evolución del sesgo medio y Raíz del Error Medio Cuadrático (REMC) por clase diamétrica con la FDP Weibull en la fase de ajuste y modelación.

 

La Figura 2 compara el error en términos del número de árboles predichos por clase de diámetro, se observa que las mayores desviaciones sobreestiman y se localizan en las clases diamétricas inferiores a 15 cm. La razón puede ser el resultado de la influencia que tienen las intervenciones silvícolas y el efecto de la competencia sobre las masas jóvenes con diferentes mezclas de especies. Este mismo comportamiento fue observado por Corral-Rivas et al. (2015) para masas de coníferas y latifoliadas en el noreste de Durango, México. Entonces, al tratarse de masas con el mayor número de árboles por unidad de superficie, cualquier cambio en su estructura incrementa su variación. Al respecto, Sandoval et al. (2012) concluyen que la precisión en la predicción de estructuras diamétricas con la FDP Weibull aumenta con la edad de la plantación de tres especies dendroenergéticas en Chile.

Los resultados del presente estudio son muy similares a los documentados por Sun et al. (2019) para masas mixtas e irregulares en China, donde las cortas intermedias de Pinus tabuliformis Carrière resultaron en masas con una distribución bimodal.

 

 

Conclusiones

 

 

La metodología seleccionada para estimar los parámetros de la FDP Weibull (bi-paramétrica) permite estimar con adecuada precisión el número de árboles por categoría diamétrica a nivel de unidad de superficie. La recuperación de parámetros de la FDP Weibull por el método de momentos es eficiente y sugiere que las estructuras diamétricas tienen un comportamiento unimodal y puede usarse para estimar los productos que se obtendrán del bosque en un determinado momento (edad), por lo que representa una herramienta silvícola útil para planificar el manejo forestal sustentable de las masas mixtas e irregulares del suroeste de Durango, México. La parsimonia (simplicidad) de la FDP representa una característica deseable para implementarse en un modelo empírico con suficiente potencial para que sea de uso práctico en el área de estudio.

Se advierte que en la etapa de modelación un porcentaje de las masas estudiadas (38 %) no superaron la prueba de KS, lo que representa una oportunidad para trabajos futuros sobre el estudio de funciones de distribución bimodal para cubrir este tipo de estructuras.

 

Agradecimientos

 

Se agradece a CONACYT por el apoyo financiero otorgado al primer autor para estudiar en el programa de Maestría en El Instituto Tecnológico de El Salto / Tecnológico Nacional de México.

 

Conflicto de intereses

 

Los autores declaran no tener conflicto de intereses.

 

Contribución por autor

 

Alondra Anahi Vega y Sacramento Corral Rivas: diseño de manuscrito, análisis de datos y redacción del documento; José Javier Corral Rivas y Ulises Diéguez Aranda: redacción parcial y revisión del escrito.

 

 

Referencias

Assmann, E. 1970. The principles of forest yield study: studies in the organic production, structure, increment and yield of forest stands. Pergamon Press. New York, NY, USA. 506 p.

Bailey T., R. L. and R. Dell. 1973. Quantifying diameter distributions with the Weibull function. Forest Science 19(2):97‑104. Doi: 10.1093/forestscience/19.2.97.

Cao, Q. V. 2004. Predicting parameters of a Weibull function for modeling diameter distribution. Forest Science50(5):682‑685. Doi: 10.1093/forestscience/50.5.682.

Corral-Rivas, S., J. G. Álvarez-González, J. J. Corral-Rivas and C. A. López-Sánchez. 2015. Characterization of diameter structures of natural forests of northwest of Durango, Mexico. Revista Chapingo Serie Ciencias Forestales y del Ambiente 21(2):221‑236. Doi: 10.5154/r.rchscfa.2014.10.046.

Delignette-Muller, M. L. and C. Dutang. 2015. fitdistrplus: An R package for fitting distributions. Journal of Statistical Software 64(4):1‑34. Doi: 10.18637/jss.v064.i04.

Frazier, J. R. 1981. Compatible whole-stand and diameter distribution models for loblolly pine plantations. PhD thesis. School of Forestry and Wildlife, Virginia Polytechnic Institute and State University. Blackburg, VA, USA. 125 p.

García, M. E. 2004. Modificaciones al sistema de clasificación climática de Köppen. Instituto de Geografía, Universidad Nacional Autónoma de México. Coyoacán, México, D. F., México. 91 p.

González-Elizondo, M. S., M. González-Elizondo, J. A. Tena-Flores, L. Ruacho-González e I. L. López-Enríquez. 2012. Vegetación de la sierra madre occidental, México: Una síntesis. Acta Botánica Mexicana 100:351‑403. Doi: 10.21829/abm100.2012.40.

Gorgoso, J. J., A. Rojo, A. Camara-Obregon and U. Dieguez-Aranda. 2012. A comparison of estimation methods for fitting Weibull, Johnson’s SB and beta functions to Pinus pinaster, Pinus radiata and Pinus sylvestris stands in northwest Spain. Forest Systems 21(3):446‑459. Doi: 10.5424/fs/2012213-02736.

Gorgoso-Varela, J. J., F. N. Ogana and P. O. Ige. 2020. A comparison between derivative and numerical optimization methods used for diameter distribution estimation. Scandinavian Journal of Forest Research 35(3‑4):1‑9. Doi: 10.1080/02827581.2020.1760343.

Hyink, D. M. and J. W. Moser. 1983. A generalized framework for projecting forest yield and stand structure using diameter distributions. Forest Science 29(1):85‑95. Doi: 10.1093/forestscience/29.1.85.

Jiang, L. and J. R. Brooks. 2009. Predicting diameter distributions for young longleaf pine plantations in Southwest Georgia. Southern Journal of Applied Forestry 33(1):25‑28. Doi: 10.1093/sjaf/33.1.25.

Johnson, N. L. 1949. Systems of frequency curves generated by methods of translation. Biometrika 36(1-2):149‑176. Doi: 10.2307/2332539.

Lei, Y. 2008. Evaluation of three methods for estimating the Weibull distribution parameters of Chinese pine (Pinus tabulaeformis). Journal of Forest Science 54(12):566‑571. Doi: 10.17221/68/2008-JFS.

Liu, C., S. Y. Zhang, Y. Lei, P. F. Newton and L. Zhang. 2004. Evaluation of three methods for predicting diameter distributions of black spruce (Picea mariana) plantations in central Canada. Canadian Journal of Forest Research 34(12):2424‑2432. Doi: 10.1139/x04-117.

Loetsch, F., K. E. Haller and F. Zöhrer. 1973. Forest inventory 2. Inventory data collected by terrestrial measurements and observations, data processing in forest inventory. The sample plot, plotless sampling and regeneration survey. List sampling with unequal probabilities and planning, performan. Verlagsgesellschaft BLV. Munich, BY, Germany. 469 p.

Maldonado A., D., y J. Návar C. 2002. Ajuste y predicción de la distribución Weibull a las estructuras diamétricas de plantaciones de pino de Durango, México. Madera y Bosques 8(1):61‑72. Doi: 10.21829/myb.2002.811306.

Nanos, N. and G. Montero. 2002. Spatial prediction of diameter distributions models. Forest Ecology and Management 161(1‑3):147‑158. Doi: 10.1016/S0378-1127(01)00498-4.

Ogana, F. N. 2020. A percentile-based estimator for the log-logistic function: Application to forestry. Forestry Studies|Metsanduslikud Uurimused 72(1):107‑120. Doi: 10.2478/fsmu-2020-0009.

Palahí, M., T. Pukkala and A. Trasobares. 2006. Modelling the diameter distribution of Pinus sylvestris, Pinus nigra and Pinus halepensis forest stands in Catalonia using the truncated Weibull function. Forestry: An International Journal of Forest Research 79(5):553‑562. Doi: 10.1093/forestry/cpl037.

Pece, M. G., C. G. de Benítez y M. J. de Galíndez. 2000. Uso de la función Weibull para modelar distribuciones diamétricas en una plantación de Melia azedarach. Revista Forestal Venezolana 44(2):49‑52. http://www.saber.ula.ve/bitstream/handle/123456789/24167/articulo44_2_5.pdf?sequence=1&isAllowed=y. (25 de junio de 2022).

Pogoda, P., W. Ochal and S. Orzel. 2019. Modeling diameter distribution of Black Alder (Alnus glutinosa (L.) Gaertn.) Stands in Poland. Forests 10(5):1‑16. Doi: 10.3390/f10050412.

Quiñonez B., G., H. M. De los Santos P., F. Cruz C., A. Velázquez M., G. Ángeles P. y G. Ramírez V. 2015. Modelación dinámica de distribuciones diamétricas en masas mezcladas de Pinus en Durango, México. Madera y Bosques21(2):59‑71. Doi: 10.21829/myb.2015.212445.

R Core Team. 2020. R: A language and environment for statistical computing. Vienna, Austria. R Foundation for Statistical Computing. https://www.r-project.org/. (12 de mayo de 2020).

Reynolds, M. R., T. E. Burk and W-C. Huang. 1998. Goodness-of-fit tests and model selection procedures for diameter distribution models. Forest Science 34(2):373‑399. Doi: 10.1093/forestscience/34.2.373.

Sandoval, S., J. Cancino, R. Rubilar, E. Esquivel, E. Acuña, F. Muñoz and M. Espinosa. 2012. Probability distributions in high-density dendroenergy plantations. Forest Science 58(6):663‑672. Doi: 10.5849/forsci.11-028.

Soares S., J. R., F. C. Vitti T., R. L. Grisi de M., F. W. Acerbi Jr. and A. L. de Assis. 2003. SB distribution´s accuracy to represent the diameter distribution of Pinus taeda, through five fitting methods. Forest Ecology and Management 175(1‑3):489‑496. Doi: 10.1016/S0378-1127(02)00183-4.

Secretaría del Medio Ambiente y Recursos Naturales (Semarnat). 2021. Anuario Estadístico de la Producción Forestal 2018. Semarnat-Dirección General de Gestión Forestal y de Suelos. Miguel Hidalgo, CdMx, México. 298 p.

Sghaier, T., I. Cañellas, R. Calama and M. Sánchez-González. 2016. Modelling diameter distribution of Tetraclinis articulata in Tunisia using normal and Weibull distributions with parameters depending on stand variables. iForest Biogeosciences and Forestry 9(5):702‑709. Doi: 10.3832/ifor1688-008.

Shifley, S. and E. Lentz. 1985. Quick estimation of the three-parameter Weibull to describe tree size distributions. Forest Ecology and Management 13(3‑4):195‑203. Doi: 10.1016/0378-1127(85)90034-9.

Siipilehto, J. and L. Mehtätalo. 2013. Parameter recovery vs. parameter prediction for the Weibull distribution validated for Scots pine stands in Finland. Silva Fennica 47(4):1‑22. Doi: 10.14214/sf.1057.

Sokal, R. R. and F. J. Rohlf. 2012. Biometry. The principles and practice of statistics in biological research. W.H. Freeman and Company. New York, NY, USA. 915 p.

Sun, S., Q. V. Cao and T. Cao. 2019. Characterizing diameter distributions for uneven-aged pine-oak mixed forests in the Qinling Mountains of China. Forests 10(7):596. Doi: 10.3390/f10070596.

Wang, M. and K. Rennolls. 2005. Tree diameter distribution modeling: Introducing the logit – logistic distribution. Canadian Journal of Forest Research 35(6):1305–1313. Doi: 10.1139/x05-057.

 

 

 

 

        

Todos los textos publicados por la Revista Mexicana de Ciencias Forestales sin excepción– se distribuyen amparados bajo la licencia Creative Commons 4.0 Atribución-No Comercial (CC BY-NC 4.0 Internacional), que permite a terceros utilizar lo publicado siempre que mencionen la autoría del trabajo y a la primera publicación en esta revista.