Revista Mexicana de Ciencias Forestales Vol. 13 (70)

Marzo – Abril (2022)

Logotipo, nombre de la empresa

Descripción generada automáticamente

DOI: https://doi.org/10.29298/rmcf.v13i70.1163

Artículo

 

Influencia de la altitud y exposición en la estructura y composición de un bosque templado en Durango

Influence of altitude and exposure on the structure and composition of a temperate forest in the state of Durango

 

Jesús Eduardo Silva-García1, Oscar Alberto Aguirre-Calderón1*, Eduardo Alanís-Rodriguez1, Enrique Jurado-Ybarra1, Javier Jiménez-Pérez1, Benedicto Vargas-Larreta2, José Javier Corral Rivas3

 

 

Fecha de recepción/Reception date: 27 Mayo de 2021

Fecha de aceptación/Acceptance date: 14 de enero de 2022

_______________________________

1Facultad de Ciencias Forestales, Universidad Autónoma de Nuevo León. México.

2Instituto Tecnológico del El Salto. México.

3Facultad de Ciencias Forestales, Universidad Juárez del Estado de Durango. México

 

Autor para correspondencia; correo-e: oscar.aguirrecl@uanl.edu.mx

 

Resumen

Las variables geográficas determinan en gran medida la estructura y diversidad de especies. El objetivo del estudio fue conocer si existen diferencias entre los componentes que conforman la estructura, diversidad y composición florística con relación a la exposición y altitud en bosques templados del estado de Durango. Los datos dasométricos se obtuvieron de 30 sitios permanentes (2 500 m2), se consideraron: diámetro normal (Dn)>7.5 cm (1.30 m), altura total, y el registro por especie. Se definieron seis áreas distribuidas en tres intervalos altitudinales (500 m) con exposición sur y norte. Se caracterizó la estructura por medio del Índice de Valor de Importancia (IVI), diversidad alfa (α), riqueza de especies (S) y el Índice de Diversidad Verdadera de Shannon (1D), así como la diversidad beta (β) por medio del análisis de similitud de Bray-Curtis. Se realizó una prueba estadística de ANOVA de dos factores para determinar diferencias significativas entre intervalos de altitud en las áreas; las de mayor altitud tuvieron más densidad y área basal en ambas exposiciones, con excepción del área 5 (1 500 a 1 800 m sur) que mostró valores similares en área basal. Los géneros Pinus y Quercus presentaron un IVI superior en todas las áreas. Los sitios en exposición sur registraron una mayor riqueza de especies, sobre todo los que se ubicaron en el intervalo de menor altitud. La similitud entre áreas comprendió las zonas con más altitud y exposición norte, y se aislaron las tierras bajas con intervalos altitudinales diferentes.

Palabras clave: ANOVA, densidad, diversidad, intervalo, riqueza de especies, similitud.

 

Abstract

Geographic variables can largely determine species structure and diversity. The objective of the study was to determine whether there are differences between the components that make up the structure, diversity, and floristic composition in relation to exposure and altitude in temperate forests of the state of Durango. The mensuration data were obtained from 30 permanent sites (2 500 m2), considering a normal diameter (Nd)> 7.5 cm (at 1.30 m), total height, and the record by species. 6 areas distributed at three altitudinal intervals (500 m) with South and North exposure were defined. The structure was characterized based on the Importance Value Index (IVI), alpha diversity (α) with richness of species (S), and the Shannon true diversity index (1D), as well as beta diversity (β) determined by means of a Bray-Curtis similarity analysis. A two-factor ANOVA statistical test was performed to find significant differences between altitude intervals in the different areas. The areas with a higher altitude had higher density and basimetric area in both exposures, except for area 5 (1 500 to 1 800 m south), which showed similar values in basal area. The Pinus and Quercus genera showed a higher IVI in all areas. The sites with a southern exposure had a greater richness of species, especially those located at the lowest altitude interval. The similarity between areas comprised the zones with the highest altitude and northern exposure, isolating the lowlands with different altitude ranges.

Keywords: ANOVA, density, diversity, interval, richness of species, similarity.

 

Introducción

 

 

Los bosques y selvas proveen bienes y servicios ambientales importantes, que pueden contribuir al mejoramiento de la economía local (Méndez et al., 2018). Los bosques templados son ecosistemas con gran diversidad en el continente americano; mismo que se extienden desde Estados Unidos de América hasta Honduras (Mora-Donjuán y Alanís-Rodríguez, 2016).

El conocimiento de la estructura y composición de comunidades vegetales es fundamental, ya que permite crear estrategias que promuevan el crecimiento y desarrollo de las masas forestales, lo que asegura un aprovechamiento racional sin comprometer los escenarios originales (Aguirre-Calderón, 2015; Manzanilla et al.,2020). Además, es necesario conocer la riqueza, composición y grado de similitud de las comunidades (Domínguez et al., 2018); así como los componentes que influyen en la diversidad y riqueza, entre los que destacan los factores ambientales y las características físicas del terreno (Saldaña, 2013).

La diversidad de especies puede disminuir hacia latitudes y altitudes mayores (Malizia et al., 2020). García-Aguilar et al. (2017) confirman que la capacidad de desarrollo de los bosques está estrechamente ligada a las condiciones físicas del terreno. De igual manera, McIntire et al. (2016) ratifican que la exposición es un factor limitante para el establecimiento de especies poco tolerantes a la sombra.

En la actualidad, se han realizado diversos estudios de la estructura y composición florística en ecosistemas forestales, los cuales se centran en los cambios sobre el gradiente altitudinal (Alves et al., 2010; Rascón et al., 2018); sin embargo, no se ha considerado la influencia de la exposición geográfica, lo que resulta en información insuficiente para México.

Por lo anterior, el objetivo de la presente investigación fue determinar diferencias en la estructura, riqueza, composición y grado de similitud de las comunidades vegetales, respecto a la exposición y el intervalo de altitud en un bosque templado del estado de Durango. Se analizan las siguientes hipótesis: (i) la exposición norte presentará mayores valores de área basal; (ii) conforme aumente la altura, la riqueza y diversidad de especies disminuirá; y (iii) el grado de similitud en la composición de especies estará definida por la exposición.

 

 

Materiales y Métodos

 

 

El área de estudio se ubicó en el sistema montañoso denominado Sierra Madre Occidental en el estado de Durango, entre las coordenadas geográficas 26°26'25.7" N, 106° 03'57.5" O y 23°10'29.5" N, 105° 2' 09.2" O (Figura 1).

 

 

Figura 1. Localización de los sitios de muestreo (puntos en color verde) en el área de estudio.

 

Conforme con la clasificación de Köppenmodificada por García (1988), los tipos de clima predominantes en el área son templado subhúmedo en cuatro subdivisiones: (A)c(w2), (A)c(w1), C(E)(w2) y C(E)(W2)(x'). La variación de temperatura oscila entre 12 y 18 °C, con excepción de algunas áreas que presentan valores de 10 a 12 °C; las lluvias suelen presentarse en verano y sequías en invierno (Quiñones et al., 2012). Los tipos de suelo conforman asociaciones entre Regosol, Litosol, Cambisol y Feozem (INEGI, 2007). Los tipos de vegetación existentes son bosque de pino, bosque de encino, bosque de pino-encino, encino-pino y vegetación secundaria arbustiva en todas las comunidades vegetales (González et al., 2012).

 

 

Obtención y análisis de información

 

 

La información dasométrica se obtuvo de 30 parcelas de monitoreo forestal permanente cada una de 2 500 m2, ubicadas aleatoriamente en seis áreas, tres intervalos altitudinales (entre 1 500 y 3 000 m), con cinco parcelas por exposición (norte y sur). Se consideraron el diámetro normal (Dn> 7.5 cm), el cual se midió con cinta diamétrica 122450 Ben Meadows; altura total (H), con un clinómetro Suunto Pm5/360pc; y el registro por especie, los nombres científicos se corroboraron en la página web The Plant List (http://www.theplantlist.org/).

Para cada área se calculó el Índice de Valor de Importancia Ecológica (IVI); se obtuvieron valores porcentuales de 0 a 100 (Alanís-Rodríguez et al., 2020) por especie a partir de la sumatoria de los parámetros estructurales relativos de abundancia (densidad), frecuencia y área basal (Whittaker, 1972; Moreno, 2001). La riqueza de especies se determinó mediante el Índice de Margalef y la diversidad alfa se estimó con el Índice de Diversidad Verdadera de Shannon (Jost, 2006). El cálculo de cada uno de los parámetros se realizó con las ecuaciones del Cuadro 1.

 

Cuadro 1. Ecuaciones para calcular parámetros de estructura y diversidad.

Parámetro

Ecuación

Descripción

Abundancia

Ai = Abundancia absoluta

ARi = Abundancia relativa de la especie i, con respecto a la abundancia total

Ni = Número de individuos de la especie i

S = Superficie de muestreo (ha)

Frecuencia

Fi = Frecuencia absoluta

FRi = Frecuencia relativa de la especie i, con respecto a la frecuencia total

Pi = Número de sitios en la que la especie se encuentra presente i

NS = Número total de sitios de muestreo

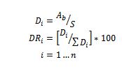
Área basal

Di = Dominancia absoluta

DRi = Dominancia relativa de la especie i, con respecto a la dominancia total

Ab = Área basal de la especie i,

S = Superficie (ha)

IVI

Ari = Abundancia relativa

Fri = Frecuencia relativa

Dri = Dominancia relativa

Índice de Margalef

S = Número de especies presentes

N = Número total de individuos

n = Número de individuos de la especie i

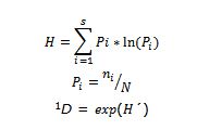
Índice de Diversidad Verdadera de Shannon

 

pi = Abundancia proporcional de la i-ésima especie

ni = Número de individuos por especie

N = Total de individuos presentes

1D = Índice de Diversidad Verdadera de Shannon

exp = Exponencial

H´ = Índice de Diversidad de Shannon

 

La verificación del cumplimiento de los supuestos de normalidad de los residuales, se hizo con base en la prueba estadística de Shapiro-Wilk; además, se revisó la homogeneidad de varianzas mediante la Prueba de Levene. Para determinar diferencias entre las áreas se aplicó un análisis de varianza (ANOVA) de dos factores (exposición e intervalo de altitud). Se utilizó la prueba de comparaciones múltiples de Tukey para determinar diferencias con un nivel de significancia de p<0.05. Los análisis estadísticos se realizaron utilizando el Software IBM© SPSS© Statistic versión 19 (Zar, 2010).

Para el cálculo de la diversidad beta, definida como el reemplazamiento de especies en comunidades con escenarios ambientales diferentes (Whittaker, 1972), se desarrolló un modelo de clasificación utilizando algoritmos de similitud de muestras, mediante el cálculo del porcentaje de similitud entre ellas (0 % a 100 %) con el dendrograma de similitud de Bray-Curtis, el cual es adecuado para efectuar análisis del comportamiento de especies vegetales (Rascón et al., 2018). El análisis se llevó a cabo por medio del software Past 4.01 (Hammer, 2001), en el cual se usó como matriz de agrupamiento el parámetro de abundancia en los diferentes intervalos de altitud por área.

 

 

Resultados

 

 

Se registraron 48 especies (Cuadro 2), distribuidas en ocho familias; de ellas, Fagaceae resultó con un mayor número taxones e integró a 39.58 % del total; seguida de Pinaceae, con 31.25 %; Convolvulaceae y Betulaceae presentaron los valores más bajos.

 

Cuadro 2. Lista de especies arbóreas presentes en el área de estudio.

Familia

Especie

Betulaceae

Alnus jorullensis Kunth

Convolvulaceae

Ipomoea arborescens Humb. et Bonpl.

Cupressaceae

Juniperus deppeana Steud.

Cupressaceae

Cupressus lusitanica Mill.

Ericaceae

Arbutus arizonica (A. Gray) Sarg.

Ericaceae

Arbutus bicolor S. González, M. González & P.D. Sorensen

Ericaceae

Arbutus madrensis S. González

Ericaceae

Arbutus tesselata P.D. Sorensen

Ericaceae

Arbutus xalapensis Kunth

Ericaceae

Comarostaphylis polifolia Kunth

Fabaceae

Lysiloma acapulcense Benth.

Fabaceae

Acacia pennatula Benth.

Fagaceae

Quercus albocincta Trel.

Fagaceae

Quercus castanea Née

Fagaceae

Quercus coccolobifolia Trel.

Fagaceae

Quercus crassifolia Humb. & Bonpl.

Fagaceae

Quercus depressipes Trel.

Fagaceae

Quercus durifolia Seemen ex Loes.

Fagaceae

Quercus elliptica Née

Fagaceae

Quercus fulva Liebm.

Fagaceae

Quercus gentryi C. H. Mull.

Fagaceae

Quercus jonesii Trel.

Fagaceae

Quercus laeta Liebm.

Fagaceae

Quercus obtusata Humb. & Bonpl.

Fagaceae

Quercus resinosa Liebm.

Fagaceae

Quercus rugosa Née

Fagaceae

Quercus salicifolia Benth.

Fagaceae

Quercus scytophylla Liebm.

Fagaceae

Quercus sideroxyla Bonpl.

Fagaceae

Quercus urbanii Trel.

Fagaceae

Quercus viminea Trel.

Pinaceae

Pinus arizonica Engelm.

Pinaceae

Pinus cembroides Zucc.

Pinaceae

Pinus chihuahuana Martínez

Pinaceae

Pinus cooperi C.E. Blanco

Pinaceae

Pinus douglasiana Martínez

Pinaceae

Pinus durangensis Martínez

Pinaceae

Pinus engelmannii Carrière

Pinaceae

Pinus herrerae Martínez

Pinaceae

Pinus leiophylla Schiede ex Schltdl. et Cham.

Pinaceae

Pinus lumholtzii B. L. Rob et Fernald

Pinaceae

Pinus luzmariae Pérez de la Rosa

Pinaceae

Pinus oocarpa Schiede ex Schltdl.

Pinaceae

Pinus strobiformis Engelm.

Pinaceae

Pinus teocote Schiede ex Schltdl. et Cham.

Pinaceae

Pseudotsuga menziesii (Mirb.) Franco

Rosaceae

Crataegus mexicana DC.

Rosaceae

Prunus serotina Ehrh.

 

Abundancia (densidad). Las áreas 1 y 2 tuvieron valores más altos. En exposición sur, las especies con mayor abundancia fueron: P. arizonica Engelm. con 600 ind ha-1 y J. deppeana Steud. con 66 ind ha-1. En exposición norte coincidieron P. arizonica con 344 ind ha-1 y Q. sideroxyla Bonpl. con 111 ind ha-1. Las áreas 3 y 5 presentaron similitud en el total de individuos por hectárea. Los taxones más abundantes en el área 3 fueron: Q. laeta Liebm., con 122 ind ha-1 y P. leiophyllaSchiede ex Schltdl. et Cham., con 68 ind ha-1. En el área 5, P. durangensis y P. oocarpaSchiede ex Schltdl. tuvieron más presencia (Cuadro 3). Las áreas 4 y 6 registraron una diferencia en comparación con los intervalos de mayor altitud (p<0.05). En el área 4, las especies con más densidad fueron: Q. crassifolia Humb. & Bonpl., con 121 ind ha-1 y P. leiophylla, con 83 ind ha-1. En el área 6, los taxa más abundantes fueron: P. durangensis, con 77 ind ha-1 y Q. resinosa Liebm., con 47 ind ha-1.

Área Basal. La exposición sur presentó el área basal más alta en los tres intervalos de altitud. Para el intervalo 1 (2 700-3 000 m) el promedio fue de 56.42 m2 ha-1; sobresalió P. arizonica con 21.26 m2 ha-1 en el área 1 (Cuadro 3). La prueba de ANOVA no evidenció diferencias significativas para las áreas 4 y 6; sin embargo, el promedio fue menor con 15.70 m2 ha-1 y 15.94 m2 ha-1, respectivamente. Las especies con mayor área basal fueron P. leiophylla con 2.94 y P. durangensis con 3.36 m2 ha-1 (Figura 2B).

 

  


Figura 2. Medias y error estándar de (A) Abundancia (ind ha-1), (B) Área basal (m2 ha-1), (C) Riqueza (S), (D) Índice de diversidad verdadera de Shannon (1D), (E), Índice de Margalef (Dmg). Medias con letras diferentes (a, b) indican diferencias (p<0.05).

Índice de Valor de Importancia Ecológica (IVI). Los géneros Pinus y Quercus mostraron mayor porcentaje de IVI; P. arizonica alcanzó el valor más alto en el intervalo 1, norte y sur; Q. laeta Liebm. en exposición sur y Q. crassifolia en la norte dominaron los intervalos de altitud media. En el intervalo de altura más bajo, el mayor IVI lo obtuvo P. durangensis; en el Cuadro 3 se muestran las tres especies de más importancia por área.

 

Cuadro 3. Parámetros estructurales estimados por área e intervalo de altitud (IVI ordenado de mayor a menor valor porcentual, se incluyen solo las tres especies con valor más alto.

Exposición/ Altitud

Especie

Densidad

Frecuencia

Dominancia (Área basal)

IVI

Absoluta (N ha-1)

Relativa (%)

Absoluta

Relativa (%)

Absoluta (m² ha-1)

Relativa (%)

Sur 2 700-3 000 msnm

(Área 1)

P. arizonica

600

75.6

5

25

21.26

74.98

58.53

J. deppeana

66

8.27

5

25

0.15

5.32

12.86

P. strobiformis

32

4.03

4

20

1.51

4.02

9.35

Norte 2 700-3 000 msnm (Área 2)

P. arizonica

344

45.03

4

13.33

8.9

31.71

30.02

Q. sideroxyla

111

14.55

5

16.67

8.81

31.38

20.87

A. xalapensis

73

9.53

3

10

2.02

7.2

8.91

Sur 2 100-2 400 msnm

(Área 3)

Q. laeta

122

24.21

3

10.71

4.65

19.28

18.04

P. leiophylla

68

13.49

2

7.14

4.22

17.5

12.71

Q. sideroxyla

58

11.51

1

3.57

4

16.6

10.53

Norte 2 100-2 400 msnm (Área 4)

Q. crassifolia

121

29.38

2

5.56

2.25

14.32

16.42

P. teocote

50

12.26

4

11.11

2.72

17.29

13.55

P. leiophylla

66

16.15

2

5.56

2.94

18.75

13.49

Sur 1 500-1 800 msnm

(Área 5)

P. durangensis

206

39.24

2

7.14

14.29

47.97

31.47

P. oocarpa

177

33.74

3

10.71

5.99

20.12

21.53

Q. viminea

8

1.53

3

10.71

0.62

2.08

4.78

Norte 1 500-1 800 msnm

(Área 6)

P. durangensis

76.8

21.92

2

8.33

3.36

21.06

17.1

Q. gentryi

25.6

7.31

2

8.33

1.49

9.35

8.33

P. oocarpa

26.4

7.53

2

8.33

1.41

8.88

8.25

 

El dendrograma de comunidades vegetales en función de intervalos de altitud demostró que existe similitud entre las áreas 1 y 2, con 65 % y entre las áreas 4 y 6, con 46 % (Figura 3). Lo anterior indica que en estas existe una composición florística similar, cuyas especies dominantes suelen ser las mismas. Asimismo, la exposición sur del área 5 presentó valores de similitud menores, en comparación con el resto; se observó, de manera general, que en sitios con altitudes más bajas, la exposición es precisamente la que define el grado de similitud. Las especies generalistas que se registraron en ambas exposiciones y en los tres intervalos altitudinales fueron: P. durangensis, Q. sideroxyla Bonpl., J. deppeana y A. xalapensis Kunth.

En sitios con menor altura, se presentaron taxones particulares por tipo de exposición: Q. coccolobifolia Trel. en exposición norte; y A. pennatula Benth., L. acapulcense Benth., P. serotina Ehrh. e I. arborescensHumb. et Bonpl. en exposición sur.

 

 

 

 

 

          

 Figura 3. Dendrograma de similitud basado en análisis Bray Curtis entre áreas con diferentes intervalos altitudinales.

 

Riqueza. En las áreas 1 y 4 se obtuvieron diferencias (p<0.05), con una disminución en el número de especies en sitios con mayor altitud. Se apreció que el número de taxones dentro del área 4 fue cerca del doble, en comparación con el área 1. En las áreas restantes el intervalo promedio fue de cinco taxones por sitio (Figura 2C).

Índices de Diversidad. La diversidad verdadera de Shannon no mostró diferencias (p<0.05) entre áreas, con un promedio de 2.94 ± 1.58 en exposición sur y 3.89 en la norte (Figura 2D). En relación al Índice de Margalef, se observaron diferencias (p<0.05) en las áreas de mayor altitud, con respecto a las de menor altura. Los valores promedio fueron de 0.73 para ambas exposiciones en el intervalo 1, y de 0.98 en el intervalo 3 (Figura 2E).

 

 

Discusión

 

 

Los resultados obtenidos en densidad coinciden con los citados por Delgado et al. (2016), quienes calcularon 565 ind ha-1 y 16 taxones en bosques templados de Durango, en un intervalo altitudinal de 2 400 a 2 500 m. Por el contrario, López-Hernández et al. (2017) registraron valores más bajos, 389 ind ha-1 y 11 especies en bosques del estado de Puebla, lo cual puede atribuirse a que los bosques evaluados presentan actividades más intensivas de aprovechamiento, en comparación con las del presente estudio.

Respecto al área basal, se identificó que al aumentar la altitud, lo hace el área basal tal como lo señalan Muñoz et al. (2020); asimismo, la exposición y la pendiente pueden influir en la productividad de diversas áreas. Los resultados del estudio muestran que el área basal es mayor en sitios con más altitud, con valores de hasta el doble. Los resultados son similares a los estimados por Graciano-Ávila et al. (2017), quienes calcularon un área basal semejante en bosques templados de Durango.

En la mayoría de los bosques templados de México, Pinus y Quercus suelen ser los más representativos, estos géneros engloban un mayor número de especies con variables dasométricas más dominantes; por lo cual tienden a presentar un valor de importancia ecológica más alto (Domínguez et al., 2018). En este caso, existieron variaciones en las especies con un valor de IVI superior; de tal manera que áreas de alta y menor altitud registraron mayor IVI en Pinus; lo anterior coincide con Hernández-Salas et al. (2013) y Graciano-Ávila et al. (2019), autores que consignan a P. durangensis como la especie de más importancia ecológica en bosques de Chihuahua y Durango. Paredes et al. (2019) concuerdan con los resultados obtenidos en el presente estudio, y citan a Q. crassifolia como el taxón con más importancia ecológica en un bosque templado húmedo de Hidalgo.

La altitud, inclinación y exposición tienen gran influencia en la composición florística y la riqueza de especies en las comunidades vegetales. Siles et al. (2017) registran 27 taxones sobre un gradiente altitudinal de 1 300 a 1 500 m; datos que se asemejan con los aquí documentados, en los cuales se presentaron de 18 a 23 especies en el intervalo altitudinal bajo. De igual forma, Castellanos-Bolaños et al. (2019) coinciden en que a mayor altitud, el número de taxa es menor.

En cuanto a la diversidad, Domínguez et al. (2018) indican registros semejantes en altitudes similares para un bosque templado del ejido Ruiz Cortínez, en la región de El Salto, Durango; donde los valores obtenidos para diversidad son similares a los de este estudio.

Respecto al área basal, se identificó que al aumentar la altitud, lo hace el área basal tal como lo señalan Muñoz et al. (2020); asimismo, la exposición y la pendiente pueden influir en la productividad de diversas áreas. Los resultados del estudio muestran que el área basal es mayor en sitios con más altitud, con valores de hasta el doble. Los resultados son similares a los estimados por Graciano-Ávila et al. (2017), quienes calcularon un área basal semejante en bosques templados de Durango.

En la mayoría de los bosques templados de México, Pinus y Quercus suelen ser los más representativos, estos géneros engloban un mayor número de especies con variables dasométricas más dominantes; por lo cual tienden a presentar un valor de importancia ecológica más alto (Domínguez et al., 2018). En este caso, existieron variaciones en las especies con un valor de IVI superior; de tal manera que áreas de alta y menor altitud registraron mayor IVI en Pinus; lo anterior coincide con Hernández-Salas et al. (2013) y Graciano-Ávila et al. (2019), autores que consignan a P. durangensis como la especie de más importancia ecológica en bosques de Chihuahua y Durango. Paredes et al. (2019) concuerdan con los resultados obtenidos en el presente estudio, y citan a Q. crassifolia como el taxón con más importancia ecológica en un bosque templado húmedo de Hidalgo.

La altitud, inclinación y exposición tienen gran influencia en la composición florística y la riqueza de especies en las comunidades vegetales. Siles et al. (2017) registran 27 taxones sobre un gradiente altitudinal de 1 300 a 1 500 m; datos que se asemejan con los aquí documentados, en los cuales se presentaron de 18 a 23 especies en el intervalo altitudinal bajo. De igual forma, Castellanos-Bolaños et al. (2019) coinciden en que a mayor altitud, el número de taxa es menor.

En cuanto a la diversidad, Domínguez et al. (2018) indican registros semejantes en altitudes similares para un bosque templado del ejido Ruiz Cortínez, en la región de El Salto, Durango; donde los valores obtenidos para diversidad son similares a los de este estudio.

Para evaluar la diversidad y riqueza de especies entre comunidades es necesario conocer las características biológicas y su distribución proporcional (Moreno, 2001). El valor del Índice de Margalef fue inferior en las altitudes mayores, como lo señalan Báez et al. (2015), quienes indican que las bajas temperaturas y características topográficas contribuyen a la disminución de especies. Por otra parte, el alto número de taxones en altitudes menores es similar a lo estimado por Clark et al. (2015), quienes consignan alta riqueza en parcelas localizadas a baja altitud.

Zarco et al. (2010) citan que la exposición influye sobre el desarrollo de diferentes especies, sobre todo en altitudes media y baja, información acorde a lo registrado en la presente investigación, cuyo número de taxa fue superior en la exposición sur.

La similitud entre comunidades está ligada a la altitud y exposición, entre otros factores (Chust et al., 2006), los cuales determinan las especies que pueden adaptarse a diferentes comunidades vegetales. De acuerdo con lo anterior, es posible observar especies generalistas y específicas adaptadas a diferentes áreas con condiciones particulares.

Hernández et al. (2013) indican que la agrupación depende, en gran medida, del grado de adaptación de los taxones; de tal manera que diferentes especies de coníferas y encinos pueden aparecer en sitios con características diversas; lo anterior confirma los datos obtenidos para distintas especies de Pinus y Quercus,las cuales están presentes en todas las áreas estudiadas. De igual forma, se coincide con Delgado et al. (2016), quienes señalan que existen especies particulares que se establecen en microhábitats muy definidos, como se observa en este estudio, en el que se registraron taxones, únicamente, en intervalos de altitud baja y exposición sur.

 

 

Conclusiones

 

 

El área basal no presenta diferencias significativas entre las diferentes áreas e intervalos altitudinales; sin embargo, la densidad es más alta en sitios con una altura mayor, por lo cual se rechaza la hipótesis planteada al inicio del estudio.

Referente a la riqueza y la diversidad de especies, se cumple con el supuesto de la hipótesis planteada, ya que es mayor en áreas con exposición sur. De igual forma, los sitios con menor altitud registran el número más alto de especies, además se identifican especies generalistas y particulares en áreas específicas.

Los resultados indican que dentro de las áreas evaluadas en los diferentes intervalos altitudinales, la estructura, composición florística y riqueza de especies están fuertemente influenciadas por las características topográficas del terreno. Es posible identificar que el grado de similitud de comunidades vegetales varía de acuerdo con el intervalo altitudinal y exposición de laderas, donde la temperatura puede contribuir o demeritar el desarrollo de las especies.

 

Conflicto de intereses

 

Los autores declaran no tener algún conflicto de intereses.

 

    Contribución por autores

 

Jesús Eduardo Silva-García: desarrollo del manuscrito y análisis estadístico; Oscar Alberto Aguirre-Calderón: planteamiento y coordinación de la investigación; Eduardo Alanís-Rodríguez: interpretación y análisis de datos; Enrique Jurado-Ybarra: interpretación y análisis de resultados; Javier Jiménez-Pérez: planteamiento de objetivos y revisión de manuscrito; Benedicto Vargas-Larreta: análisis de datos y revisión de manuscrito; José Javier Corral Rivas: análisis estadístico.

 

Referencias

 

 

Aguirre-Calderón, O. A. 2015. Manejo Forestal en el Siglo XXI. Madera y Bosques 21: 17-28. Doi: https://doi.org/10.21829/myb.2015.210423.

Alanís-Rodríguez, E., E. A. Rubio-Camacho y J. S. Marroquin-de la Fuente. 2020. Muestreo ecológico de la vegetación. Ed. Universitaria UANL. Monterrey, NL., México. 204 p.

Alves L., F., S. A. Vieira, M. A. Scaranello, P. B. Camargo, F.A. A. Santos, C. A. Joly and L. A. Martinelli. 2010. Forest structure and live aboveground biomass variation along an elevational gradient of tropical Atlantic moist forest (Brazil). Forest Ecology and Management 260(5): 679-91. Doi: https://doi.org/10.1016/j.foreco.2010.05.023.

Báez, S., A. Malizia, J. Carilla, C. Blundo, M. Aguilar, N. Aguirre, Z. Aquirre, E. Alvarez, F, Cuesta, Á, Duque, W. Farfán-Rios, K. García-Cabrera, R. Grau, J. Homeier, R. Linares-Palomino, L. Malicia, O. Cruz, O. Osinaga, O. Phillips, C. Reynel, M. Silman and K. Feeley. 2015. Large-Scale Patterns of Turnover and Basal Area Change in Andean Forests. PLoS ONE 10(5): e0126594. Doi:https://doi.org/10.1371/journal.pone.0126594.

Castellanos-Bolaños, J. F., E. J. Treviño-Garza, O. A. Aguirre-Calderón, J. Jiménez-Pérez y A. Velázquez-Martínez. 2019. Diversidad arbórea y estructura espacial de bosques de pino-encino en Ixtlán De Juárez, Oaxaca. Revista Mexicana de Ciencias Forestales 1(2):39–52. Doi:https://doi.org/10.29298/rmcf.v1i2.636.

Chust, G., J. Chave, R. Condit, S. Aguilar, S. Lao and R. Pérez. 2006. Determinants and spatial modeling of tree β-diversity in a tropical forest landscape in Panama. Journal of Vegetation Science 17: 83-92. Doi: https://doi.org/10.1111/j.1654-1103.2006.tb02426.x.

Clark, D. B., J. Hurtado and S. S. Saatchi. 2015. Tropical rain forest structure, tree growth and dynamics along a 2700-m elevational transect in Costa Rica. PloS one 10(4): e0122905. Doi: https://doi.org/10.1371/journal.pone.0122905.

Delgado Z., D. A., S. A. Heynes S., M. D. Mares Q., N. L. Piedra L., F. I. Retana R., K. Rodríguez C., A. I. Villanueva H., M. D. S. González E. y L. Ruacho-González. 2016. Diversidad y estructura arbórea de dos rodales en Pueblo Nuevo, Durango. Revista Mexicana de Ciencias Forestales 7 (33): 94–107. Doi: https://doi.org/10.29298/rmcf.v7i33.92.

Domínguez G., T. G., B. N. Hernández G., H. González R., I. Cantú S., E. Alanís R. y M. D. S. Alvarado. 2018. Estructura y composición de la vegetación en cuatro sitios de la Sierra Madre Occidental. Revista Mexicana de Ciencias Forestales 9 (50): 9-34. Doi: https://doi.org/10.29298/rmcf.v9i50.227.

Graciano-Ávila, G., E. Alanís-Rodríguez, O. A. Aguirre-Calderón, M. A. González-Tagle, E. J. Treviño-Garza y A. Mora-Olivo. 2017. Caracterización estructural del arbolado en un ejido forestal del noroeste de México. Madera y Bosques 23 (3): 137-146. Doi: http://dx.doi.org/10.21829/myb.2017.2331480.

Graciano-Ávila, G., E. Alanís-Rodríguez, O. A. Aguirre-Calderón, M. A. González-Tagle, E. J. Treviño-Garza, A. Mora-Olivo y E. Buendía-Rodríguez. 2019. Estimación de volumen, biomasa y contenido de carbono en un bosque de clima templado-frío de Durango, México. Revista Fitotecnia Mexicana 42 (2): 119-127. Doi: https://doi.org/10.35196/rfm.2019.2.119.

García, E. 1998. Climas (Clasificación de Köppen, modificada por García) Escala 1:1 000 000. Comisión Nacional para el Conocimiento y Uso de la Biodiversidad. México, D.F., México.

García-Aguilar, J. Á., V. A. Velasco-Velasco, G. Rodríguez-Ortiz y J. R. Enríquez-del Valle. 2017. Influencia de la calidad de sitio sobre el crecimiento de una plantación de Pinus patula Schltdl. et Cham. Revista Mexicana de Ciencias Forestales 8 (44): 132-154. Doi: https://doi.org/10.29298/rmcf.v8i44.108.

González E., M. S., M. González E., J. A. Tena F., L. Ruacho G. e I. L. López E. 2012. Vegetación de la Sierra Madre Occidental, México: Una síntesis. Acta Botánica Mexicana 100: 351-403. http://www.scielo.org.mx/pdf/abm/n100/n100a12.pdf (26 de noviembre del 2021).

Hammer, Ø., D. A. Harper and P. D. Ryan. 2001. PAST: Paleontological statistics software package for education and data analysis. Palaeontologia electrónica 4(1): 9. https://paleo.carleton.ca/2001_1/past/past.pdf (15 de noviembre del 2021).

Hernández-Salas, J., O. A. Aguirre-Calderón, E. Alanís-Rodríguez, J. Jiménez-Pérez, E. J. Treviño-Garza, M. A. González-Tagle, C. Luján-Álvarez, J. M. Olivas-García y L. A. Domínguez-Pereda. 2013. Efecto del manejo forestal en la diversidad y composición arbórea de un bosque templado del noroeste de México. Revista Chapingo serie Ciencias Forestales y del Ambiente 19 (2): 189-199. http://doi: 10.5154/r.rchscfa.2012.08.052.

Instituto Nacional de Estadística y Geografía (INEGI). 2007. Conjunto de Datos Vectorial Edafológico. Serie II Continuo Nacional Durango. Escala 1:250 000. Durango, Dgo., México. s/p.

Jost, L. 2006. Entropy and diversity. Oikos 113: 363–375. Doi:https://doi.org/10.1111/j.2006.0030-1299.14714.x

López-Hernández, J. A., O. A. Aguirre-Calderón, E. Alanís-Rodríguez, J. C. Monárrez-González, M. A. González-Tagle y J. Jiménez-Pérez. 2017. Composición y diversidad de especies forestales en bosques templados de Puebla, México. Madera y Bosques 23 (1): 39-51. Doi:http://dx.doi.org/10.21829/myb.2017.2311518.

Malizia, A., C. Blundo, J. Carilla, O. Osinaga Acosta, F. Cuesta, Á. Duque, N. Aguirre, Z. Aguirre, M. Ataroff, S. Baez, M. Calderón-Loor, L. Cayola, L. Cayuela, S. Ceballos, H. Cedillo, W. Farfán Ríos, K. J. Feeley, A. F. Fuentes, L. E. Gámez Álvarez, R. Grau, J. Homeier, O. Jadan, L. D. Llambi, M. I. Loza Rivera, M. J. Macía, Y. Malhi, L. Malizia, M. Peralvo, E. Pinto, S. Tello, M. Silman and K. R. Young. 2020. Elevation and latitude drive structure and tree species composition in Andean forests: Results from a large-scale plot network. Plos One 15 (4). Doi: https://doi.org/10.1371/journal.pone.0231553.

Magurran, A. E. 2004. Measuring Biological Diversity. Blackwell Science. Oxford, UK. 256 p.

McIntire, E. J. B., F. I. Piper and A. Fajardo. 2016. Wind exposure and light exposure, more than elevation-related temperature, limit tree line seedling abundance on three continents. Journal of Ecology 104 (5): 1379-1390. Doi: 10.1111/1365-2745.12599.

Méndez O., C., C. A. Mora D., E. Alanís R., J. Jiménez P., O. A. Aguirre C., E. J. Treviño G. y M. A. Pequeño L. 2018. Fitodiversidad y estructura de un bosque de pino-encino en la Sierra Madre del Sur, México. Revista Mexicana de Ciencias Forestales 9 (50): 35-53. Doi: https://doi.org/10.29298/rmcf.v9i50.236.

Mora-Donjuán, C. A. y E. Alanís-Rodríguez. 2016. Resiliencia de bosques de pino – encino en América: Una visión global del estado actual. Revista Forestal Mesoamericana Kurú 13(33): 1–2. Doi: https://doi.org/10.18845/rfmk.v13i33.2571.

Moreno C., E. 2001. Métodos para medir la biodiversidad. Vol.1. M&T–Manuales y Tesis SEA. Sociedad Entomológica Aragonesa (SEA). Zaragoza, España. 84 p.

López, M., K. Klanderud, B. Finegan, D. Veintimilla, D. Bermeo, E. Murrieta, D. Delgado and D. Sheil. 2020. How forest structure varies with elevation in old growth and secondary forest in Costa Rica. Forest Ecology and Management 469: 118191. Doi: https://doi.org/10.1016/j.foreco.2020.118191.

Paredes O., A., R. R. Zárate, R. R. Laguna y A. S. Islas. 2019. Diversidad de especies arbóreas y arbustivas del ejido El Puente, Mineral del Chico Hidalgo. Revista Iberoamericana de Ciencias 6 (4): 93-105. http://www.reibci.org/publicados/2019/oct/3700105.pdf (2 de diciembre de 2021).

Manzanilla Q., G. E., J. M. Mata B., E. J. Treviño G., O. A. Aguirre C., E. Alanís R. y J. I. Yerena Y. 2020. Diversidad, estructura y composición florística de bosques templados del sur de Nuevo León. Revista Mexicana de Ciencias Forestales 11 (61). Doi: https://doi.org/10.29298/rmcf.v11i61.703.

Quiñónez B., G., F. Cruz C, B. Vargas L. y F. J. Hernández. 2012. Estimación del diámetro, altura y volumen a partir del tocón para especies forestales de Durango. Revista Mexicana de Ciencias Forestales 3 (9): 23-39. Doi: https://doi.org/10.29298/rmcf.v3i9.535.

Rascón, J. M., E. Alanís-Rodríguez, A. Mora-Olivo, E. Buendía-Rodríguez, L. Sánchez-Castillo and J. E. Silva-García. 2018. Differences in vegetation structure and diversity of a forest in an altitudinal gradient of the Sierra La Laguna Biosphere Reserve, Mexico. Botanical Sciences 96 (4): 598-608. Doi: https://doi.org/10.17129/botsci.1993.

Saldaña, A. 2013. Relación entre riqueza de especies y diversidad funcional de atributos foliares en dos ensambles de especies siempreverdes de un bosque templado lluvioso. Gayana. Botánica 70 (2): 177-187. Doi:https://dx.doi.org/10.4067/S0717-66432013000200001.

Siles G., P., T. A. Patricia, F. A. Rugama, L. Alaniz y W. O. González. 2017. Composición florística, estructura y biomasa de los bosques de Pino-Encino en la reserva Santa Rosa, Tisey, Estelí, Nicaragua. Revista de Biologia Tropical 65 (2): 763–776. Doi:https://doi.org/10.15517/rbt.v65i2.22928.

Whittaker, R. H. 1972. Evolution and measurement of species diversity. Taxon 21:213-251. Doi: https://doi.org/10.2307/1218190.

Quiñónez Barraza, G., F. Cruz Cobos, B. Vargas Larreta y F. J. Hernández. 2012. Estimación del diámetro, altura y volumen a partir del tocón para especies forestales de Durango. Revista mexicana de ciencias forestales, 3 (9): 23-39. http://www.scielo.org.mx/pdf/remcf/v3n9/v3n9a3.pdf (26 de noviembre del 2021).

Zar, J. H. 2010. Biostatistical Analysis. Ed. Prentice Hall. Upper Saddle River, NJ, USA. 946 p.

Zarco, V. M., J. L. Valdez-Hernández, G. Ángeles-Pérez y O. Castillo Acosta. 2010. Estructura y diversidad de la vegetación arbórea del Parque Estatal Agua Blanca, Macuspana, Tabasco. Universidad y Ciencia 26 (1): 1-17. http://www.scielo.org.mx/scielo.php?pid=S0186-29792010000100001&script=sci_abstract (19 de octubre de 2021).

 

        

Todos los textos publicados por la Revista Mexicana de Ciencias Forestales sin excepción– se distribuyen amparados bajo la licencia Creative Commons 4.0 Atribución-No Comercial (CC BY-NC 4.0 Internacional), que permite a terceros utilizar lo publicado siempre que mencionen la autoría del trabajo y a la primera publicación en esta revista.