Revista Mexicana de Ciencias Forestales Vol. 13 (69)

Enero – Febrero (2022)

Logotipo, nombre de la empresa

Descripción generada automáticamente

DOI: https://doi.org/10.29298/rmcf.v13i69.1145

Article

Supervivencia inicial en tres especies de pino bajo la aplicación de antitranspirantes

Initial survival of three pine species after antitranspirant application

Tomás Pineda Ojeda1

Andrés Flores*2

Benigno Estrada Drouaillet3

José Leonardo García Rodríguez4

Eulogio Flores Ayala1

Enrique Buendía Rodríguez1

Fecha de recepción/Reception date: 30 de abril de 2021

Fecha de aceptación/Acceptance date: 22 de noviembre de 2021

_______________________________

1Instituto Nacional de Investigaciones Forestales, Agrícolas y Pecuarias. CIR-Centro. Campo Experimental Valle de México. México.

2Instituto Nacional de Investigaciones Forestales, Agrícolas y Pecuarias. Centro Nacional de Investigación Disciplinaria en Conservación y Mejoramiento de Ecosistemas Forestales. México.

3Universidad Autónoma de Tamaulipas. Facultad de Ingeniería y Ciencias. México.

4Instituto Nacional de Investigaciones Forestales, Agrícolas y Pecuarias. Campo Experimental Valle de Guadiana. México.

*Autor por correspondencia: correo-e: flores.andres@inifap.gob.mx

Resumen

En México, el estrés hídrico y la mala calidad de planta son algunas de las principales causas de mortalidad en plantaciones. El uso de productos antitranspirantes en especies vegetales ha sido una alternativa para reducir la pérdida de agua ante condiciones de disponibilidad limitada de este recurso. El objetivo del presente estudio consistió en evaluar el efecto de tres productos antitranspirantes (Vapor Gard®, Fitoglass® y Ecofilm®) y dos métodos de aplicación (aspersión e inmersión) en la supervivencia de plantas de Pinus cooperi, P. durangensis y P. engelmannii, a partir de indicadores morfológicos de calidad inicial conocidos. Previo al establecimiento del ensayo, en cada individuo se evaluaron cuatro indicadores morfológicos de calidad, posteriormente se aplicaron los antitranspirantes y se evaluó la supervivencia en campo un mes después. Los resultados indicaron que la calidad de planta fue alta, y que la aplicación de antitranspirantes tuvo efectos significativos en el porcentaje de supervvivencia: P. engelmanni presentó 94 % con Fitoglass® por inmersión, P. cooperi 61 % con Ecofilm® por inmersión, y P. durangensis 58 % con Ecofilm® por aspersión. Se concluye que la aplicación de los antitranspirantes y el método de aplicación aumentan de forma diferenciada la supervivencia inicial en las especies estudiadas.

Palabras clave: Conservación forestal, Pinus cooperi C.E.Blanco, Pinus durangensis Martínez, Pinus engelmannii Carrière, restauración forestal, sequía.

Abstract

In Mexico, water stress and poor plant quality are some of the main mortality factors in plantations. The use of antitranspirant products in plant species has been an alternative to reduce water loss under conditions of limiting water availability. The aim of this work was to evaluate the effect of three antitranspirant products (Vapor Gard®, Fitoglass® and Ecofilm®) and two application methods (spraying and immersion) on survival of Pinus cooperi, P. durangensis and P. engelmannii seedlings, based on known morphological indicators of initial seedling quality. Four morphological indicators of seedling quality were assessed for each tree before establishing the test; then, antitranspirants were applied to seedlings and field survival was evaluated after one month. Results showed that initial seedling quality was high, and application of antitranspirants had significant effects on the survival percentage: P. engelmannii recorded 94 % with Fitoglass® by immersion, P. cooperi 61 % with Ecofilm® by immersion, and P. durangensis 58 % with Ecofilm® by aspersion. We concluded that antitranspirant application and application method increase initial survival in these species.

Key words: Forest conservation, Pinus cooperi C.E.Blanco, Pinus durangensis Martínez, Pinus engelmannii Carrière, forest restoration, drought.

Introduction

Plants of the Pinus genus are the most used in reforestation programs in Mexico (Flores et al., 2021). However, the impact they have on the recovery and restoration of temperate-cold climate forests is moderate, basically due to the low percentage of survival achieved in the field after the first year of planting (43.50 to 67.8% from 2013 to 2017) (Conafor, 2019) Sometimes they are established in marginal sites where environmental conditions are adverse (water shortage, low fertility, no organic and mineral soil) and they are not able to survive due to the stress they produce.

Water is a crucial factor for the survival of plants, as it directly influences their growth. Water stress is one of the main causes of their death, which occurs when transpiration (water loss) exceeds the water absorbed by the roots of plants (Luna-Flores et al., 2012). Prieto et al. (2016) pointed out that trees established in the field during the period from 2006 to 2014 recorded: 42.4 % average mortality from drought in reforestations of different species. Due to the importance of the lack of humidity in planted trees and the effect of drought, several researchers have evaluated it in different pine species, such as: Pinus ayacahuite Ehrenb. ex Schltdl., P. devoniana Lindl., P. hartwegii Lindl., P. leiophylla Schiede ex Schltdl. et Cham., P. oocarpa Schiede ex Schltdl., P. patula Schiede ex Schltdl. et Cham., P. pseudostrobus Lindl (Sáenz-Romero et al., 2013; Esperón-Rodríguez and Barradas, 2015; Sáenz-Romero et al., 2017; Flores et al., 2018).

Drought describes a meteorological condition of lack of rain, and the water deficit refers to the fact that the water content of a tissue or cell is below the water content that that tissue exhibits in its maximum state of hydration (Taiz and Zeiger, 2010). Thus, in a period of drought, the aerial part of a plant will continue to develop until the absorption of water by the root becomes limiting. The decrease in cell volume due to lack of water reduces turgor pressure, cell walls loosen and leaf expansion weakens (Yepes and Silveira–Buckeridge, 2011).

Frequently, plantations are made in places with restricted moisture availability that lead to water loss in the plants (Simpson, 1984). When they receive little water during the initial phase of development, their growth potential is reduced, due to the loss of turgor pressure at the cellular level, which inhibits apical growth. In newly established plants in the field, water uptake may be restricted due to roots developing, root systems are damaged or there is poor water availability in the soil, which will cause sudden and severe water deficit, known as transplant shock (Nitzsche et al., 1991); if this lack of water condition spreads, the plant inevitably dies (Lisar et al., 2012).

There are products in the market called antitranspirants, which are chemical compounds that are applied to plants, mainly agricultural, to lower perspiration and maintain a high water level. They are classified into three groups, based on their form of action: protective, reflective and physiological films (Mikiciuk et al., 2015). The film formers provide a coating on the surface of the leaves with wax, gel or plastic, which prevents excessive loss of water from the leaves, improves the moisture status of the plant and increases growth under conditions of water stress (Moftah and Al-Humaid, 2005). Those of the reflective type (e. g. kaolin clay or chitosan which is a natural polymer), when applied, reduce the temperature of the leaves by increasing their reflectance, which causes less perspiration and greater efficiency in the use of water (Moftah and Al-Humaid, 2005). The third type of antitranspirants are those with physiological action (e.g. abscisic acid), which prevent the stomata from opening completely through metabolic processes in the leaves (AbdAllah, 2019), which reduces the loss of water from the leaves (Shinohara and Leskovar, 2014).

The study of moisture loss reduction in forest species plants through the application of antitranspirants has been undertaken (Odlum and Colombo, 1987; Vera-Castillo, 1995). However, research work is scarce and results are not provided for species native to Mexico. The aim of this research study was to determine the effect of three film-forming antitranspirants on the survival of P. cooperi C.E. Blanco, P. durangensis Martínez and P. engelmannii Carrière plants, from known initial quality morphological indicators. The following questions were posed: 1) What morphological quality do the plants produced in forest nurseries have? 2) Is there a variation in the survival of the species due to the application of antitranspirants (products and methods)?

Materials and Methods

Selected species

The experiments were made with 11-month-old Pinus cooperi, P. durangensis and P. engelmannii seedlings (recommended age to leave the nursery towards the planting site in accordance with NMX-AA-170-SCFI-2016) (Secretaría de Economía, 2016) from the General Francisco Villa del Ejido 15 de Septiembre forest nursery; it is located at one side of the Durango-El Mezquital highway (23°58’20.38’’ N and 104°35'55.83” W, 1 875 masl).

The plant of the three species was produced in the container system in expanded polystyrene containers of 70 cavities, with a 170 cm3 volume (4.3 cm in diameter of the upper opening, 15 cm in height and 2.2 cm in diameter of the opening lower). The substrate used was a mixture of 60 % composted pine bark, 30 % peat moss and 10 % raw pine sawdust, by volume. These species were selected for their potential and use in reforestation programs (Flores et al., 2021), for commercial plantations (Prieto et al., 2018) and forest use (Moctezuma and Flores, 2020) in the state of Durango. For its study, all the plant material used was taken from the nursery to the Valle de Guadiana Experimental Field (CEVAG) of the Instituto Nacional de Investigaciones Forestales, Agrícolas y Pecuarias (INIFAP) (National Institute of Forest, Agricultural and Livestock Research (INIFAP)) in Durango, Mexico.

Logotipo, nombre de la empresa

Descripción generada automáticamente

Evaluation of morphological indicators

The diameter of the root neck (DC, mm) was measured for each plant, with the Truper® Hh 28.776 digital vernier; the height from the root neck to the apical bud (Alt, cm), with a 50 cm graduated rule, and with these data the Slenderness Index (IE = Alt / DC) was estimated. The evaluation data (prior to planting, i. e. day 1) were used to calculate the plant quality of each species, since it is a predictor of survival in the field (Escobar-Alonso and Rodríguez, 2019).

The quality of DC and Alt was defined based on the Mexican Standard NMX-AA-170-SCFI-2016 (Secretaría de Economía, 2016), while IE with the intervals cited by Rodríguez-Ortiz et al. (2020) (Table 1) .

Table 1. Values and ranges of morphological indicators of plant quality.

Variable/Species

Plant quality

B

M

A

DC (mm)

Pinus cooperi C.E.Blanco

-

-

≥ 4

Pinus durangensis Martínez

-

-

≥ 4

Pinus engelmannii Carrière

-

-

≥ 4

Alt (cm)

Pinus cooperi C.E.Blanco

15

-

20

Pinus durangensis Martínez

15

-

20

Pinus engelmannii Carrière

N/A

-

N/A

IE

≥ 8.0

8.0 a 6.0

< 6.0

B= Low; M= Medium; A = High.

Norma Mexicana NMX-AA-170-SCFI-2016 (Secretaría de Economía, 2016); Quality intervals (Rodríguez-Ortiz et al., 2020).

Logotipo, nombre de la empresa

Descripción generada automáticamente

Establishment of the essay and experimental design

252 plants free of pests and diseases of each species were selected, 216 of which were treated with three antitranspirant products (Vapor GardTM, Fitoglass® and EcofilmTM) and two application methods (spraying and immersion), i.e. 36 plants per product in each application method, and the remaining 36 did not receive any treatment (control).

The spray application of each product was made directly to the foliage with a TruperTM backpack sprayer (Professional Fumigator) of 5 liters (L) capacity with a solution of Vapor GardTM 10 mL L-1 of water, Fitoglass® 15 mL L-1 of water and EcofilmTM 10 mL L-1 of water. In the immersion form, the aerial part of the plants was immersed for 30 seconds in 20 L containers, which contained the solutions of the antitranspirant products corresponding to each of the treatments.

The recommendations for use of the products indicate applying it and waiting, at least one hour, for it to dry and form the protective layer or film on the surface of the leaves. In this essay, all antitranspirant products were supplied 24 hours before planting in the field.

The experiment lasted for 30 days, starting on October 1st, 2019; it was established in an agricultural plot without use in the last five years, located on the lands of the CEVAG of INIFAP (Figure 1), at km 4.5 of the Durango-El Mezquital highway, Durango, Dgo. (24°01´ N and 104°37´ W), at 1 860 m asl, with zenith exposure. The climate of the area, according to the Köppen climatic classification modified by García (2004), corresponds to a semi-dry subtype semi-dry temperate, with a total annual precipitation of 400 to 600 mm and average annual temperature of 12 to 18 ºC (González et al., 2006).

Estado de Durango = State of Durango; Municipio de Durango = Durango Municipality; Área de estudio = Study area; Campo Experimental Valle de Guadiana = Valle de Guadiana Experimental Field

Figure 1. Location of the experiment establishment site in the Valle de Guadiana Experimental Field (CEVAG)/INIFAP.

The experiment was established with an experimental design in an increased factorial arrangement: 3 species, 3 antitranspirants and 2 application methods, plus the control (control). The control and each antitranspirant with different application form had four replications, and experimental units of 9 plants per species. The survival of each plant (alive or dead) was assessed 30 days after being established in the field; it was considered as a living plant when it was observed in a turgid condition with green or yellow needles, and as dead when it completely changed into brown.

Statistical analysis

The survival of the pine plants was analyzed by means of logistic regression models in two stages: first, the effect of the use of antitranspirants was evaluated (comparison of antitranspirant factors vs control, equation 1); second, the individual effect of the three factors (species, antitranspirant and application method) and their interaction (equation 2) were evaluated. In the latter, control was no longer included, while in both models the effect of the root neck diameter covariate was considered:

       (1)

Where:

pi = Survival probability of the i-th treatment

zi = Logistic estimation of the i-th treatment

µ = General mean

Ti = Effect of the i-th treatment (1 to 7)

Di = Linear effect of the neck diameter covariate of the i-th treatment

εi = Experimental error

        (2)

Where:

pijk = Survival probability of the i-th species of the j-th antitranspirant of the k-th application method

zijk = Logistic estimation of the i-th species of the j-th antitranspirant of the k-th application method

µ = General mean

Si = Effect of the i-th species (1 to 3)

Tj = Effect of the j-th antitranspirant (1 to 3)

Vk = Effect of the k-th application me (1 to 2)

STij = Effect of the i-th species interaction wth the j-th antitranspirant

SVik = Effect of the i-th species interaction wth the k-th application method

TVjk = Effect of the j-th antitranspirant with the con k-th application method

STVijk = Effect of the i-th species interaction wth the j-th antitranspirant of the k-th application method

Dijk = Linear effect of the root neck diameter covariate recorded in the i-th species with the j-th treatment of the k-th application method

εijk = Experimental error

With the estimated parameters of the model, the survival probabilities of the species were calculated. Statistical analysis was performed with the LOGISTIC procedure of the SAS® version 9.3 program (SAS, 2010).

Access to data

Survival data and root neck diameter by species will be available for consultation at https://zenodo.org/. Zenodo is an online open access European repository or storage center for querying research results data.

Results

Plant quality

The average DC reached the high quality category in the three species (Table 2) because its values were higher than those stipulated in the Mexican Standard NMX-AA-170-SCFI-2016 (Secretaría de Economía, 2016) (≥ 4 for P. cooperi and P. durangensis, and ≥ 5 for P. engelmannii) while the average Alt was in the low quality category for P. cooperi and P. durangensis because they had values lower than those required by the Standard (20 cm); in P. engelmannii there is no reference value, since the species has a cespitose state in its initial growth stage. For IE, the quality was of a high category in the three species since they had values lower than those referred (<6.0) by Rodríguez-Ortiz et al. (2020).

Cuadro 2. Morphological indicators of plants of three pine species. The data correspond to average values ± standard deviation

Species

Neck diameter (mm)

Height

(cm)

Slenderness index

Pinus cooperi C.E.Blanco

6.03 ± 1.02

15.72 ± 3.07

2.66 ± 0.58

Pinus durangensis Martínez

4.52 ± 0.56

18.53 ± 2.92

4.16 ± 0.82

Pinus engelmannii Carrière

5.96 ± 1.04

NA

1.29 ± 0.68

Slenderness index = Height/neck diameter.

Species survival

For the first analysis, the differences in survival between the plants that received the application of antitranspirants and the control plants were not significant (ρ = 0.5172), which showed that there was no effect on this variable from the use of antitranspirants. In the second analysis, significant differences were observed in the species factor, and in its interactions (Table 3), which means that there was an effect on survival due to the antitranspirant and its application method in the species.

Table 3. Significance of the factors evaluated in the survival of pine plants.

Effect

Degrees of freedom

Wald’s Chi square

Pr > Chi square

Esp

2

55.9772

<0.0001

Ant

2

0.5869

0.7457

Met

1

0.1567

0.6922

Esp*Ant

4

12.5058

0.0140

Esp*Met

2

9.8569

0.0072

Ant*Met

2

0.2405

0.8867

Esp*Ant*Met

4

15.9119

0.0031

D

1

1.9919

0.1581

Esp = Species; Ant =Antitranspirant; Met = Application method; D = Covariable (diameter of the root neck).

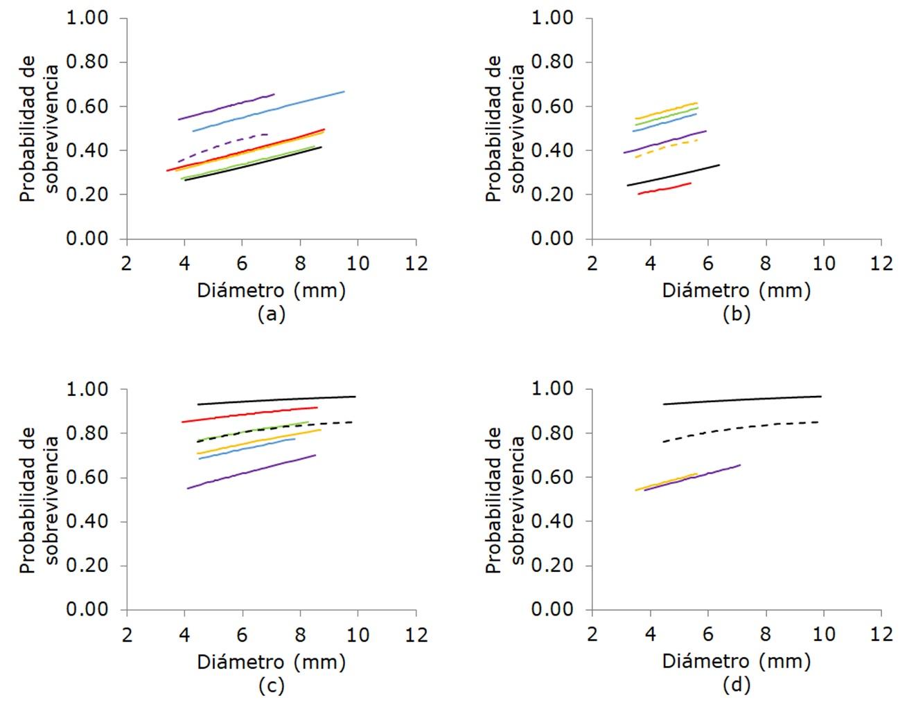
In general, it was observed that the survival probability increased with the increase in the diameter of the root neck: P. engelmannii stands out because it showed the highest probability (0.53 to 0.97) with the applied treatments, while P. cooperi and P. durangensis showed lower probabilities, with values from 0.24 to 0.70 and 0.19 to 0.62, respectively (Figure 2).

Logotipo, nombre de la empresa

Descripción generada automáticamente

C:\Users\Andres\OneDrive\TRABAJOS\PAPER_14_RMCF\Figura2_v3a_bis.jpg

Probabilidad de sobrevivencia = Survival probality; Diámetro = Diameter.

The treatments are represented by lines of different colors: black (Vapor GardTM/aspersion), blue (Vapor GardTM/ immersion), green (FitoglassTM/aspersion), red (FitoglassTM/immersion), orange (EcofilmTM/aspersion) and purple (EcofilmTM/immersion). The dotted line corresponds to the lower 95 % confidence interval (ICI) of the best treatment, while the lines in graph d) show the best treatment of P. cooperi (purple), P. durangensis (orange) and P. engelmannii with its ICI (black).

Figure 2. Survival curves of (a) Pinus cooperi C.E.Blanco, (b) Pinus durangensis Martínez, (c) Pinus engelmannii Carrière before the effect of three antitranspirant products and two application methods.

In regard to the higher survival percentage, 61 % was recorded in P. cooperi when applying Eco-Inm, 58 % was obtained with Eco-Asp in P. durangensis, and 94 % when supplying VG-Asp to P. engelmannii (Figure 2a, b, c and Table 4). These treatments were superior to the rest that were below their lower confidence interval of 95 % (ICI) (Figure 2a, b, c). When comparing the best treatments between species, P. engelmannii with VG-Asp showed a significant difference compared to the rest (Figure 2d) (Candia and Caiozzi, 2005). The mortality recorded in the plants at the end of the experiment ranged from 15 to 33 % in P. engelmannii, 49 to 64% in P. durangensis and 50 to 64 % in P. cooperi. P. engelmannii, in particular, had the lowest percentage of dead individuals with VG-Asp (6 %) while P. cooperi with Eco-Inm had 49 % and P. durangensis with Eco-Asp, 42 % (Table 4).

Logotipo, nombre de la empresa

Descripción generada automáticamente

Table 4. Average survival values of three pine species, three antitranspirants and two application methods.

Species

Antitranspirant and application method

Final survival (%)

Pinus cooperi C.E.Blanco

Vapor GardTM/aspersion

33

Vapor GardTM/immersion

56

FitoglassTM/aspersion

33

FitoglassTM/immersion

39

Ecofilm®/aspersion

39

EcofilmTM/immersion

61

Media Vapor GardTM 

44

Media FitoglassTM 

36

Media EcofilmTM

50

Pinus durangensis Martínez

Vapor GardTM/aspersion

28

Vapor GardTM/immersion

53

FitoglassTM/aspersion

56

FitoglassTM/ immersion

22

Ecofilm®/aspersion

58

EcofilmTM/immersion

44

Media Vapor GardTM 

40

Media FitoglassTM 

39

Media EcofilmTM

51

Pinus engelmannii Carrière

Vapor GardTM/aspersion

94

Vapor GardTM/immersion

72

FitoglassTM / aspersion

81

FitoglassTM/immersion

89

EcofilmTM/aspersion

75

EcofilmTM/immersion

61

Media Vapor GardTM

83

Media FitoglassTM 

85

Media EcofilmTM

68

Discussion

Compared to the control, the results of this research showed that the application of antitranspirant products did not significantly increase the survival percentage of high quality category plants with respect to DC and IE of Pinus cooperi (56 %), P. durangensis (64 %) and P. engelmannii (33 %), established in the field; however, a significant difference in survival was observed between the products and the application method. Regarding the effect of antitranspirants, it is assumed that plant perspiration is reduced because water loss decreases under conditions of limiting water availability at the plantation site (Davies and Kozlowski, 1975).

The diameter of the root neck and the slenderness index are directly related to the carbohydrate reserve and the development of different parts of the plant. For this reason, both parameters have been used as predictors of survival (Escobar-Alonso and Rodríguez, 2019). For example, P. engelmannii had an initial DC higher than what is considered a threshold value to withstand bending and present tolerance to damage caused by pests > 5 mm (Prieto et al., 2018); this may be the cause of the lowest mortality in the species.

According to Mexal and Landis (1990), the diameter at the root neck is one of the most relevant variables because it defines the robustness of the stem, which is associated with strength and survival. In general, the larger the diameter, the greater the lignification and the greater the amount of carbohydrates; therefore, a greater number of buds to re-sprout and a better developed root system (Rodríguez, 2008).

P. cooperi and P. durangensis did not meet the minimum height required by the Standard; however, if the plant is destined to places with low water availability ―due to lack of rain or low ground moisture― this can be beneficial for its survival because it may experience less stress, greater photosynthesis and growth (Grossnickle, 2012).

The response obtained in survival in this work is consistent with that reported by Simpson (1984), who managed to reduce water stress with the application of antitranspirants in plants of four species of conifers produced in containers, which were sprayed before cold storage (2 °C), and after a storage period of 12 weeks. Chaves et al. (1985) showed the effectiveness of antitranspirants (FolcoteTM, MobileafTM and Vapor GardTM) in coffee plants (Coffea arabica L. cv., Yellow Catuai), applied by spraying in different doses (0, 2, 4 and 6 %) and table sugar (concentration 10 %) for periods of 72, 48 and 24 hours before transplantation.

Some times, although antitranspirants reduce water loss, no effect on survival or initial growth of the plant is recognized. Two concentrations (1:3 and 1:7) of MoisturinTM antitranspirant and two application methods were tested on Douglas fir or spruce (Pseudotsuga menziesii (Mirb.) Franco) and Ponderosa pine (Pinus ponderosa Douglas ex C. Lawson) seedlings. (immersed or sprinkled plants). The result of the treatments was assessed at the end of the first growing season. Despite the fact that a trend was observed in the reduction of water loss due to the application of the products, there were no significant effects of the treatments on survival and growth in height and diameter of the neck of the plants (Rose and Haase, 1995).

Magnussen (1986) and Alm and Stanton (1990) pointed out that when there are no water availability problems at the plantation site (drought), there is no response to antitranspirants; for example, in P. ponderosa no significant variation in survival was recorded between plants treated with antitranspirants and plants not treated (without application), probably due to the fact that the plants were not subjected to water stress (Vera-Castillo, 1995). In addition, according to Salisbury and Ross (2000) pine plants can be considered mesophytes, as they develop in areas where there is medium availability of water, and have strategies to avoid the effects that lead to water loss (Levitt, 1980).

In the studied species, no adverse repercussions were observed due to the application of antitranspirants, possibly due to the short period that the trial lasted (30 days). This can avoid a severe effect of reducing the diffusion of CO2 in the plants, since the antitranspirant products were only applied on the dorsal side (upper surface) of the leaves. In Picea mariana (Mill.) Britton, Sterns & Poggenb. the effectiveness of three antitranspirant products was tested and it was possible to reduce the water stress of the plants; however, it was inversely related to the survival of the plants in the plantation site, for which its use was not recommended in this species (Odlum and Colombo, 1987). This is attributed to the fact that the antitranspirant film is able to inhibit the diffusion of CO2 more than H2O and, consequently, decrease growth and carbohydrate availability (Brown and Rosenberg, 1973).

In this work it was not possible to continue the essay for more than 30 days due to the presence of gophers in the ground, which could limit root development and promote plant mortality. However, the time of permanence of the work, the experimental design used and the statistical analysis showed that it is possible to reduce the initial mortality of plantations of different types (commercial or restoration) through the application of antitranspirant products. However, the effect of the antitranspirant product depends, at first on the species (it is different in the three species of pine), and secondly, on the application method ―other factors not proven in this work and that possibly also play ab important role, are the time of application of the antitranspirant and the initial conditions of the planting site. Based on all of the above, it is recommended that the method and products used be tested on other species for a period greater than 30 days.

Logotipo, nombre de la empresa

Descripción generada automáticamente

Conclusions

In general, the greater the diameter of the root neck, it was recognized that the survival of the pine species tested increases. In P. durangensis and P. engelmannii, with 22 and 27 % more survival than the control, the application of antitranspirants can positively impact the planting of the species in restoration work in degraded areas.

Although the results were not conclusive or did not confirm a clear trend, it is possible to use antitranspirant products in sites with low water availability problems because they seem to increase survival and establishment, depending on the species and the way of application.

The effectiveness of the antitranspirant product application method varies with the species. For P. engelmannii the best method was by spraying while for P. cooperi it was by immersion.

Under the conditions in which the present study was carried out, the spray application method was more viable and offered greater operational advantage for its implementation as a nursery practice.

Acknowledgements

The authors are grateful to INIFAP for sponsoring this work through the fiscal budget project number 2-1.6-1175934783-FM.2-1 “Increased survival and initial growth in forest plantations for recovery purposes, through the application of antitranspirants, in species of the Pinus genus”, and to the reviewers of the manuscript for the comments made.

Conflict of interests

The authors declare no conflict of interest.

Contribution by author

Tomás Pineda Ojeda: conception of the idea, formulation of methodology, obtaining funds and writing of the final manuscript; Andrés Flores: statistical analysis and writing of the first manuscript; Benigno Estrada Drouaillet: statistical analysis and writing of the final manuscript; José Leonardo García Rodríguez: establishment of the experiment, evaluation of variables and writing of the final manuscript; Eulogio Flores Ayala: critical review and contribution of substantial comments to the manuscript; Enrique Buendía Rodríguez: development of methodology and writing of the final manuscript. All authors have read and agree to publish the document.

References

AbdAllah, A. 2019. Impacts of Kaolin and Pinoline foliar application on growth, yield and water use efficiency of tomato (Solanum lycopersicum L.) growth under water deficit: a comparative study. Journal of the Saudi Society of Agricultural Sciences. 18(3): 256-268. doi: 10.1016/j.jssas.2017.08.001

Alm, A. and J. Stanton. 1990. Field trials of root dipping treatments for red pine, Jack pine, and white spruce nursery stock in Minnesota. Tree Planters' Notes 41(3): 18-20. https://rngr.net/publications/tpn/41-3/field-trials-of-root-dipping-treatments-for-red-pine-jack-pine-and-white-spruce-nursery-stock-in-minnesota-1/at_download/file (29 de octubre de 2021).

Brown, K. W. and N. J. Rosenberg. 1973. A resistance model to predict evapotranspiration and its application to a sugar beet field. Agronomy Journal 65(3): 341–347. Doi: 10.2134/agronj1973.00021962006500030001x.

Candia B., R. y G. Caiozzi A. 2005. Intervalos de confianza. Revista Médica de Chile 133: 1111-1115. https://www.scielo.cl/scielo.php?script=sci_arttext&pid=S0034-98872005000900017 (30 de septiembre de 2021).

Chaves S., M. A., F. Hernández B. y G. Gutiérrez Z. 1985. Efecto de antitranspirantes y azúcar utilizados en el transplante de cafetos a raíz desnuda. Agronomía Costarricense 9(1):71-78. https://www.mag.go.cr/rev_agr/v09n01_071.pdf (30 de abril de 2021).

Comisión Nacional Forestal (Conafor). 2019. Estado que guarda el sector forestal en México. Conafor. Zapopan, Jal., México. 412 p.

Davies W. J. and T. T. Kozlowski. 1975. Effects of applied abscisic acid and plant water stress on transpiration of woody angiosperms. Forest Science 21(2): 191–195. Doi:10.1093/forestscience/21.2.191.

Escobar-Alonso, S. y D. A. Rodríguez T. 2019. Estado del arte en la investigación sobre calidad de planta del género Pinus en México. Revista Mexicana de Ciencias Forestales 10(55): 4–38. Doi:10.29298/rmcf.v10i55.558.

Esperón-Rodríguez, M. and V. L. Barradas. 2015. Ecophysiological vulnerability to climate change: water stress responses in four tree species from the central mountain region of Veracruz, Mexico. Regional Environmental Change 15(1): 93-108. Doi:10.1007/s10113-014-0624-x.

Flores, A., J. Climent, V. Pando, J. López U. and R. Alía. 2018. Intraspecific variation in pines from the Trans-Mexican Volcanic Belt grown under two watering regimes: Implications for management of genetic resources. Forests 9(2): 71. Doi:10.3390/f9020071.

Flores, A., M. E. Romero S., R. Pérez M., T. Pineda O. y F. Moreno S. 2021. Potencial de restauración de bosques de coníferas en zonas de movimiento de germoplasma en México. Revista Mexicana de Ciencias Forestales 12(63): 4–27. Doi:10.29298/rmcf.v12i63.813.

García, E. 2004. Modificaciones al sistema de clasificación climática de Köppen (para adaptarlo a las condiciones de la República Mexicana). 5ª ed. UNAM. México, D. F., México. 91 p.

González E., M. S., M. González E. y M. A. Márquez L. 2006. Vegetación y ecorregiones de Durango. IPN. Durango, Dgo., México. 165 p.

Grossnickle, S. C. 2012. Why seedlings survive: Influence of plant attributes. New Forests 43(5–6): 711–738. Doi:10.1007/s11056-012-9336-6.

Levitt, J. 1980. Responses of plants to environmental stresses. V 1: chilling, freezing and high temperature stresses. V 2: water stress, dehydration and drought injury. Academic Press. New York, NY, USA. 607 p.

Lisar, S. Y. S., R. Motafakkerazad, M. M. Hossain and I. M. M. Rahman. 2012. Water stress in plants: causes, effects and responses. In: Rahman, I. M. M. and H. Hasegawa (eds.). Water stress. InTech. Rijeka, Croatia. pp. 1-14.

Luna-Flores, W., H. Estrada-Medina, J. J. M. Jiménez-Osornio y L. L. Pinzón-López. 2012. Efecto del estrés hídrico sobre el crecimiento y eficiencia del uso del agua en plántulas de tres especies arbóreas caducifolias. Terra Latinoamericana 30(4): 343-353. http://www.scielo.org.mx/pdf/tl/v30n4/2395-8030-tl-30-04-00343.pdf (29 de abril de 2021).

Magnussen, S. 1986. Effects of root-coating with the polymer waterlock on survival and growth of drought-stressed bareroot seedlings of white spruce (Picea glauca (Moench) Voss) and red pine (Pinus resinosa Ait.). Tree Planters' Notes 37(1): 15-19. https://rngr.net/publications/tpn/37-1/effects-of-root-coating-with-the-polymer-waterlock-on-survival-and-growth-of-drought-stressed-bareroot-seedlings-of-white-spruce-picea-glauca-moench-voss-and-red-pine-pinus-resinosa-ait./at_download/file (29 de octubre de 2021).

Mexal, J. G. and T. D. Landis. 1990. Target seedling concepts: height and diameter. In: Rose, R., S. J. Campbell and T. D. Landis (eds.). Target seedling symposium: proceedings, combined meeting of the western forest nursery associations. U. S. Department of Agriculture, Forest Service. Fort Collins, CO, USA. pp. 17–35.

Mikiciuk, G., M. Mikiciuk and P. Ptak. 2015. The effect of antitranspirants DI-1-P-Menthene on some physiological traits of strawberry. Journal of Ecological Engineering 16(4): 161-167. Doi: 10.12911/22998993/59366.

Moctezuma L., G. y A. Flores. 2020. Importancia económica del pino (Pinus spp.) como recurso natural en México. Revista Mexicana de Ciencias Forestales 11(60): 161-185. Doi:10.29298/rmcf.v11i60.720.

Moftah, A. E. and A. R. L. Al-Humaid. 2005. Effects of antitranspirants on wáter relations and photosyntetic rate of cultivate tropical plants (Polianthes tuberosa L.). Polish Journal of Ecology 53(20): 165-175. https://miiz.waw.pl/pliki/article/ar53_2_02.pdf (30 de abril de 2021).

Nitzsche, P., G. A. Berkowitz and J. Rabin. 1991. Development of a seedling-applied antitranspirant formulation to enhace water status, growth, and yield of transplanted bell pepper. Journal of the American Society for Horticultural Science 116(3): 405-411. Doi:10.21273/JASHS.116.3.405.

Odlum, K. D. and S. J. Colombo. 1987. The effect of three film-forming antitranspirants on moisture stress of outplanted black spruce seedlings. Tree Planter´s Notes 8(4): 23-26. https://rngr.net/publications/tpn/38-4/the-effect-of-three-film-forming-antitranspirants-on-moisture-stress-of-outplanted-black-spruce-seedlings/at_download/file (30 de abril de 2021).

Prieto R., J. Á., A. Aldrete, J. C. Hernández D. y J. R. Goche T. 2016. Causas de mortalidad de las reforestaciones y propuestas de mejora. In: Prieto R., J. A. y J. R. Goche T. (comps.). La reforestación en México. Problemática y alternativas de solución. Universidad Juárez del estado de Durango. Durango, Dgo. México. pp. 55-65.

Prieto R., J. Á., A. Duarte S., J. R. Goche T., M. M. González O. y M.-Á. Pulgarín G. 2018. Supervivencia y crecimiento de dos especies forestales, con base en la morfología inicial al plantarse. Revista Mexicana de Ciencias Forestales 9(47): 151–168. Doi:10.29298/rmcf.v9i47.182.

Rodríguez T., D. A. 2008. Indicadores de calidad de planta forestal. Mundi Prensa. México, D. F., México. 156 p.

Rodríguez-Ortiz, G., R. D. Aragón-Peralta, J. R. Enríquez-del Valle, A. Hernández-Hernández, W. Santiago-García y G. V. Campos-Angeles. 2020. Calidad de plántula de progenies selectas de Pinus pseudostrobus Lindl. var. oaxacana del sur de México. Interciencia 45(2): 96–101. https://www.researchgate.net/publication/339750861_Calidad_de_plantula_de_progenies_selectas_de_Pinus_pseudostrobus_Lindl_var_oaxacana_del_sur_de_Mexico (30 de abril de 2021).

Rose, R. and D. L. Haase. 1995. Effect of the antidiseccant Mointurin® on conifer seedling field performance. Tree Planter´s Notes 46(3):97-101. https://admin.rngr.net/publications/tpn/46-3/effect-of-the-antidesiccant-moisturin-on-conifer-seedling-field-performance/at_download/file (30 de abril de 2021).

Sáenz-Romero, C., J.-B. Lamy, E. Loya-Rebollar, A. Plaza-Aguilar, R. Burlett, P. Lobit and S. Delzon. 2013. Genetic variation of drought-induced cavitation resistance among Pinus hartwegii populations from an altitudinal gradient. Acta Physiologiae Plantarum 35(10): 2905-2913. Doi:10.1007/s11738-013-1321-y.

Sáenz-Romero, C. M. Larter, N. González-Muñoz, C. Wehenkel, A. Blanco-Garcia, D. Castellanos-Acuña, R. Burlett and S. Delzon. 2017. Mexican conifers differ in their capacity to face climate change. Journal of Plant Hydraulics 4: e-003. Doi:10.20870/jph.2017.e003.

Salisbury, F. y F. Ross. 2000. Fisiología de las plantas. Thompson Editores Spain Paraninfo, S. A. Madrid, España. 947 p.

Statistical Analysis System (SAS). 2010. SAS user’s guide: Statistics. Version 9.3. SAS Institute Inc. Cary, NC, USA. n/p.

Secretaría de Economía. 2016. Norma Mexicana NMX-AA-170-SCFI-2016. Certificación de la operación de viveros forestales. http://sivicoff.cnf.gob.mx/ContenidoPublico/10 Material de Consulta/Normatividad Vigente/NMX-AA-170-SCFI-2016.pdf (13 de junio de 2020).

Shinohara, T. and D. I. Leskovar. 2014. Effect of ABA, antitranspirants, heat and drought stress on plants growth, physiology and water status of artichoke transplants. Scientia Horticulturae 165: 225-234. Doi:10.1016/j.scienta.2013.10.045.

Simpson, D. G. 1984. Filmforming antitranspirants: their effects on root growth capacity, storability, moisture stress avoidance, and field perfomance of containerized conifer seedlings. The Forestry Chronicle 60(6): 335-339. Doi:10.5558/tfc60335-6 

Taiz, L. and E. Zeiger. 2010. Plant physiology. Sinauer Associates Inc. Sunderland, MA, USA. 623 p.

Vera-Castillo, J. A. G. 1995. The influence of antidesiccants on field performance and physiology of 2+0 Ponderosa Pine (Pinus ponderosa Dougl.) seedlings. Doctoral thesis. Oregon State University, OR, USA. 134 p.

Yepes, A. y M. Silveira–Buckeridge. 2011. Respuestas de las plantas ante los factores ambientales del cambio climático global (Revisión). Colombia Forestal 14(2): 213-232. http://www.scielo.org.co/scielo.php?script=sci_arttext&pid=S0120-07392011000200006 (29 de abril de 2021).

        

Todos los textos publicados por la Revista Mexicana de Ciencias Forestales sin excepción– se distribuyen amparados bajo la licencia Creative Commons 4.0 Atribución-No Comercial (CC BY-NC 4.0 Internacional), que permite a terceros utilizar lo publicado siempre que mencionen la autoría del trabajo y a la primera publicación en esta revista.