Revista Mexicana de Ciencias Forestales Vol. 13 (69)

Enero – Febrero (2022)

Logotipo, nombre de la empresa

Descripción generada automáticamente

DOI: https://doi.org/10.29298/rmcf.v13i69.1145

Artículo

Supervivencia inicial en tres especies de pino bajo la aplicación de antitranspirantes

Initial survival of three pine species after antitranspirant application

Tomás Pineda Ojeda1

Andrés Flores*2

Benigno Estrada Drouaillet3

José Leonardo García Rodríguez4

Eulogio Flores Ayala1

Enrique Buendía Rodríguez1

Fecha de recepción/Reception date: 30 de abril de 2021

Fecha de aceptación/Acceptance date: 22 de noviembre de 2021

_______________________________

1Instituto Nacional de Investigaciones Forestales, Agrícolas y Pecuarias. CIR-Centro. Campo Experimental Valle de México. México.

2Instituto Nacional de Investigaciones Forestales, Agrícolas y Pecuarias. Centro Nacional de Investigación Disciplinaria en Conservación y Mejoramiento de Ecosistemas Forestales. México.

3Universidad Autónoma de Tamaulipas. Facultad de Ingeniería y Ciencias. México.

4Instituto Nacional de Investigaciones Forestales, Agrícolas y Pecuarias. Campo Experimental Valle de Guadiana. México.

*Autor por correspondencia: correo-e: flores.andres@inifap.gob.mx

Abstract

In Mexico, water stress and poor plant quality are some of the main mortality factors in plantations. The use of antitranspirant products in plant species has been an alternative to reduce water loss under conditions of limiting water availability. The aim of this work was to evaluate the effect of three antitranspirant products (Vapor Gard®, Fitoglass® and Ecofilm®) and two application methods (spraying and immersion) on survival of Pinus cooperi, P. durangensis and P. engelmannii seedlings, based on known morphological indicators of initial seedling quality. Four morphological indicators of seedling quality were assessed for each tree before establishing the test; then, antitranspirants were applied to seedlings and field survival was evaluated after one month. Results showed that initial seedling quality was high, and application of antitranspirants had significant effects on the survival percentage: P. engelmannii recorded 94 % with Fitoglass® by immersion, P. cooperi 61 % with Ecofilm® by immersion, and P. durangensis 58 % with Ecofilm® by aspersion. We concluded that antitranspirant application and application method increase initial survival in these species.

 

Key words: Forest conservation, Pinus cooperi C.E.Blanco, Pinus durangensis Martínez, Pinus engelmannii Carrière, forest restoration, drought.

Resumen

En México, el estrés hídrico y la mala calidad de planta son algunas de las principales causas de mortalidad en plantaciones. El uso de productos antitranspirantes en especies vegetales ha sido una alternativa para reducir la pérdida de agua ante condiciones de disponibilidad limitada de este recurso. El objetivo del presente estudio consistió en evaluar el efecto de tres productos antitranspirantes (Vapor Gard®, Fitoglass® y Ecofilm®) y dos métodos de aplicación (aspersión e inmersión) en la supervivencia de plantas de Pinus cooperi, P. durangensis y P. engelmannii, a partir de indicadores morfológicos de calidad inicial conocidos. Previo al establecimiento del ensayo, en cada individuo se evaluaron cuatro indicadores morfológicos de calidad, posteriormente se aplicaron los antitranspirantes y se evaluó la supervivencia en campo un mes después. Los resultados indicaron que la calidad de planta fue alta, y que la aplicación de antitranspirantes tuvo efectos significativos en el porcentaje de supervvivencia: P. engelmanni presentó 94 % con Fitoglass® por inmersión, P. cooperi 61 % con Ecofilm® por inmersión, y P. durangensis 58 % con Ecofilm® por aspersión. Se concluye que la aplicación de los antitranspirantes y el método de aplicación aumentan de forma diferenciada la supervivencia inicial en las especies estudiadas.

Palabras clave: Conservación forestal, Pinus cooperi C.E.Blanco, Pinus durangensis Martínez, Pinus engelmannii Carrière, restauración forestal, sequía.

Introducción

Las plantas del género Pinus son las más utilizadas en los programas de reforestación en México (Flores et al., 2021); no obstante, el impacto que tienen en la recuperación y restauración de los bosques de clima templado-frío es moderado, básicamente por el bajo porcentaje de supervivencia que logran en campo después del primer año de plantación (43.50 a 67.8 % de 2013 a 2017) (Conafor, 2019). En algunas ocasiones quedan establecidas en sitios marginales donde las condiciones ambientales son adversas (escasez de agua, poca fertilidad, sin suelo orgánico y mineral) y no son capaces de sobrevivir por el estrés que les generan.

El agua es un factor crucial para la supervivencia de las plantas, pues influye directamente en su crecimiento. El estrés hídrico es una de las principales causas de su muerte, lo cual ocurre cuando la transpiración (pérdida de agua) excede al agua absorbida por las raíces de las plantas (Luna-Flores et al., 2012). Prieto et al. (2016) señalaron que árboles establecidos en campo durante el periodo de 2006 a 2014 registraron 42.4 % de mortalidad promedio por sequía en reforestaciones de diferentes especies. Debido a la importancia que tiene la falta de humedad en los árboles plantados y el efecto que tiene la sequía, varios investigadores la han evaluado en diferentes especies de pino, tales como: Pinus ayacahuite Ehrenb. ex Schltdl., P. devoniana Lindl., P. hartwegii Lindl., P. leiophylla Schiede ex Schltdl. et Cham., P. oocarpa Schiede ex Schltdl., P. patula Schiede ex Schltdl. et Cham., P. pseudostrobus Lindl. (Sáenz-Romero et al., 2013; Esperón-Rodríguez y Barradas, 2015; Sáenz-Romero et al., 2017; Flores et al., 2018).

La sequía describe una condición meteorológica de falta de lluvias, y el déficit hídrico se refiere a que el contenido de agua de un tejido o célula está por debajo del contenido de agua que ese tejido exhibe en su máximo estado de hidratación (Taiz y Zeiger, 2010). Así, en un periodo de sequía, la parte aérea de una planta continuará desarrollándose hasta que la absorción de agua por la raíz se torne limitante. La disminución del volumen celular por falta de agua reduce la presión de turgencia, las paredes celulares se aflojan y se debilita la expansión foliar (Yepes y Silveira–Buckeridge, 2011).

Es común que las plantaciones se realicen en sitios con restricciones de disponibilidad de humedad que conducen a la pérdida de agua en las plantas (Simpson, 1984). Cuando reciben poca agua durante la fase inicial de desarrollo se aminora su potencial de crecimiento, debido a la pérdida de presión de turgencia a nivel celular, lo que inhibe el crecimiento apical. En plantas recién establecidas en campo, la absorción de agua puede restringirse debido a que sus raíces estén desarrollándose, los sistemas de raíces presenten daños o haya escasa disponibilidad hídrica en el suelo, lo que provocará déficit hídrico repentino y severo, conocido como shock de transplante (Nitzsche et al., 1991); si esta condición de falta de agua se extiende, la planta inevitablemente muere (Lisar et al., 2012).

En el mercado existen productos llamados antitranspirantes que son compuestos químicos que se aplican a las plantas, principalmente agrícolas, para bajar la transpiración y mantener un nivel hídrico alto. Se clasifican en tres grupos, con base en su forma de acción: películas protectoras, reflejantes y fisiológicos (Mikiciuk et al., 2015). Los formadores de películas proporcionan un recubrimiento en la superficie de las hojas con cera, gel o plástico, lo que impide la pérdida excesiva de agua de las hojas, mejora el estado de humectación de la planta y aumenta el crecimiento en condiciones de estrés hídrico (Moftah y Al-Humaid, 2005). Los de tipo reflejante (por ejemplo, arcilla de caolín o quitosano que es un polímero natural), al ser aplicados disminuyen la temperatura de las hojas por aumentar su reflectancia, que origina una menor transpiración y mayor eficiencia en el uso de agua (Moftah y Al-Humaid, 2005). El tercer tipo de antitranspirantes son los de acción fisiológica (p. ej. ácido abscísico), los cuales evitan que los estomas se abran completamente a través de procesos metabólicos en las hojas (AbdAllah, 2019) lo que mengua la pérdida de agua de las hojas (Shinohara y Leskovar, 2014).

Se ha incursionado en el estudio de reducción de pérdida de humedad en plantas de especies forestales por medio de la aplicación de antitranspirantes (Odlum y Colombo, 1987; Vera-Castillo, 1995). Sin embargo, los trabajos de investigación son escasos y no se aportan resultados para especies nativas de México. El objetivo de esta investigación fue determinar el efecto de tres antitranspirantes, del tipo formador de película, en la supervivencia de plantas de P. cooperi C.E. Blanco, P. durangensis Martínez y P. engelmannii Carrière, a partir de indicadores morfológicos de calidad inicial conocidos. Se plantearon las siguientes preguntas: 1) ¿Qué calidad morfológica presentan las plantas producidas en vivero forestal?, 2) ¿Existe variación en la supervivencia de las especies por la aplicación de antitranspirantes (productos y métodos)?

Materiales y Métodos

Especies seleccionadas

Se trabajó con plántulas de Pinus cooperi, P. durangensis y P. engelmannii de 11 meses de edad (edad recomendada para salir del vivero hacia el sitio de plantación de acuerdo con la NMX-AA-170-SCFI-2016) (Secretaría de Economía, 2016) procedente del vivero forestal General Francisco Villa del Ejido 15 de Septiembre; está ubicado a un costado de la carretera Durango–El Mezquital (23°58’20.38’’ N y 104°35´55.83” O, 1 875 msnm).

La planta de las tres especies se produjo en el sistema de contenedores en envases de poliestireno expandido de 70 cavidades, con volumen de 170 cm3, (4.3 cm de diámetro de la abertura superior, 15 cm de altura y 2.2 cm de diámetro de la abertura inferior). El sustrato utilizado fue una mezcla de 60 % de corteza de pino compostada, 30 % de peat moss y 10 % de aserrín crudo de pino, en volumen. Se seleccionaron estas especies por el potencial y uso que tienen en los programas de reforestación (Flores et al., 2021), para plantaciones comerciales (Prieto et al., 2018) y aprovechamiento forestal (Moctezuma y Flores, 2020) en el estado de Durango. Para su estudio, todo el material vegetal utilizado fue llevado del vivero al Campo Experimental Valle de Guadiana (CEVAG) del Instituto Nacional de Investigaciones Forestales, Agrícolas y Pecuarias (INIFAP) en Durango, Méx.

Evaluación de indicadores morfológicos

A cada planta se le midió el diámetro del cuello de la raíz (DC, mm), con vernier digital Truper® Hh 28.776; la altura desde el cuello de la raíz hasta la yema apical (Alt, cm), con regla graduada de 50 cm, y con estos datos se estimó el Índice de Esbeltez (IE=Alt/DC). Los datos de la evaluación (previo a realizar la plantación, i.e. día 1) fueron utilizados para calcular la calidad de planta de cada especie, ya que es un predictor de supervivencia en campo (Escobar-Alonso y Rodríguez, 2019). La calidad de DC y Alt se definió con base en la Norma Mexicana NMX-AA-170-SCFI-2016 (Secretaría de Economía, 2016), mientras que la de IE con los intervalos citados por Rodríguez-Ortiz et al. (2020) (Cuadro 1).

Cuadro 1. Valores y rangos de indicadores morfológicos de calidad de planta.

Variable/Especie

Calidad de la planta

B

M

A

DC (mm)

Pinus cooperi C.E.Blanco

-

-

≥ 4

Pinus durangensis Martínez

-

-

≥ 4

Pinus engelmannii Carrière

-

-

≥ 4

Alt (cm)

Pinus cooperi C.E.Blanco

15

-

20

Pinus durangensis Martínez

15

-

20

Pinus engelmannii Carrière

N/A

-

N/A

IE

≥ 8.0

8.0 a 6.0

< 6.0

B= Baja; M = Media; A = Alta.

Norma Mexicana NMX-AA-170-SCFI-2016 (Secretaría de Economía, 2016); Intervalos de calidad (Rodríguez-Ortiz et al., 2020).

Establecimiento del ensayo y diseño experimental

Se seleccionaron 252 plantas libres de plagas y enfermedades de cada especie, de las cuales 216 fueron tratadas con tres productos antitranspirantes (Vapor Gard®, Fitoglass® y Ecofilm®) y dos métodos de aplicación (aspersión e inmersión), i.e. 36 plantas por producto en cada método de aplicación, y las 36 restantes no recibieron ningún tratamiento (testigo).

La aplicación por aspersión de cada producto se hizo directamente al follaje con mochila aspersora Truper® (Fumigador Profesional) de 5 litros (L) de capacidad con solución de: Vapor Gard® 10 mL L-1 de agua, Fitoglass® 15 mL L-1 de agua y Ecofilm® 10 mL L-1 de agua. En la forma de inmersión, la parte aérea de las plantas se sumergió durante 30 segundos en recipientes de 20 L, que contenían las soluciones de los productos antitranspirantes correspondientes a cada uno de los tratamientos.

Las recomendaciones de uso de los productos indican aplicarlo y esperar, al menos una hora, para que seque y forme la capa o película protectora sobre la superficie de las hojas. En este ensayo todos los productos antitranspirantes se suministraron 24 horas antes de realizar la plantación en campo.

El experimento se mantuvo durante 30 días, a partir del 1 de octubre de 2019; se estableció en una parcela agrícola sin uso en los últimos cinco años, ubicada en los terrenos del CEVAG del INIFAP (Figura 1), en el km 4.5 de la carretera Durango–El Mezquital, Durango, Dgo. (24°01´ N y 104°37´ O), a 1 860 m de altitud, con exposición cenital. El clima del área, según la clasificación climática de Köppen modificado por García (2004), corresponde a semiseco subtipo semiseco templado, con una precipitación total anual de 400 a 600 mm y temperatura media anual de 12 a 18 ºC (González et al., 2006).

Logotipo, nombre de la empresa

Descripción generada automáticamente

Figura 1. Localización del sitio de establecimiento del ensayo en el Campo experimental Valle de Guadiana (CEVAG) del INIFAP.

El experimento se estableció con un diseño experimental en arreglo factorial aumentado: 3 especies, 3 antitranspirantes y 2 métodos de aplicación, más el testigo (control). El testigo, y cada antitranspirante con distinta forma de aplicación tuvo cuatro repeticiones, y unidades experimentales de 9 plantas por especie. Se evaluó la supervivencia de cada planta (vivo o muerto) a los 30 días de establecida en campo; se consideró como planta viva cuando se observó en condición turgente con acículas de color verde o amarillas, y como muerta cuando cambió completamente a color café.

Logotipo, nombre de la empresa

Descripción generada automáticamente

Análisis estadístico

Se analizó la supervivencia de las plantas de pino por medio de modelos de regresión logística en dos etapas: primera, se evaluó el efecto del uso de antitranspirantes (comparación factores antitranspirante vs control, fórmula 1); segunda, se evaluó el efecto individual de los tres factores (especie, antitranspirante y método de aplicación) y su interacción (fórmula 2). En esta última ya no se incluyó el testigo mientras que en ambos modelos se consideró el efecto de la covariable diámetro del cuello de la raíz:

       (1)

Donde:

pi = Probabilidad de supervivencia del i-ésimo tratamiento

zi = Estimación logística del i-ésimo tratamiento

µ = Media general

Ti = Efecto de la i-ésimo tratamiento (1 a 7)

Di = Efecto lineal de la covariable diámetro del cuello del i-ésimo tratamiento

εi = Error experimental

        (2)

Donde:

pijk = Probabilidad de supervivencia de la i-ésima especie del j-ésimo antitranspirante del k-ésimo método de aplicación

zijk = Estimación logística de la i-ésima especie en el j-ésimo antitranspirante del k-ésimo método de aplicación

µ = Media general

Si = Efecto de la i-ésima especie (1 a 3)

Tj = Efecto del j-ésimo antitranspirante (1 a 3)

Vk = Efecto del k-ésimo método de aplicación (1 a 2)

STij =Efecto de la interacción de la i-ésima especie con el j-ésimo antitranspirante

SVik = Efecto de la interacción de la i-ésima especie con el k-ésimo método de aplicación

TVjk = Efecto de la interacción del j-ésimo antitranspirante con el k-ésimo método de aplicación

STVijk = Efecto de interacción de la i-ésima especie con el j-ésimo antitranspirante del k-ésimo método de aplicación

Dijk = Efecto lineal de la covariable diámetro del cuello de la raíz registrado en la i-ésima especie con el j-ésimo tratamiento del k-ésimo método de aplicación

εijk = Error experimental

Con los parámetros estimados del modelo se calcularon las probabilidades de supervivencia de las especies. El análisis estadístico se realizó con el procedimiento LOGISTIC del programa SAS® versión 9.3 (SAS, 2010).

Logotipo, nombre de la empresa

Descripción generada automáticamente

Acceso a datos

Los datos de supervivencia y diámetro de cuello de raíz por especie estarán disponibles para su consulta en https://zenodo.org/. Zenodo es un repositorio o centro de almacenamiento europeo de acceso abierto en línea para consulta de datos de resultados de investigación.

Resultados

Calidad de planta

El DC promedio alcanzó la categoría de calidad alta en las tres especies (Cuadro 2) debido a que sus valores fueron superiores a los estipulados en la Norma Mexicana NMX-AA-170-SCFI-2016 (Secretaría de Economía, 2016) (≥ 4 para P. cooperi y P. durangensis, y ≥ 5 para P. engelmannii) mientas que la Alt promedio estuvo en la categoría de calidad baja para P. cooperi y P. durangensis porque tuvieron valores inferiores a los requeridos por la Norma (20 cm); en P. engelmannii no existe un valor de referencia, ya que la especie presenta estado cespitoso en su etapa inicial de crecimiento. Para IE, la calidad fue de categoría alta en las tres especies ya que tuvieron valores menores al referido: <6.0 por Rodríguez-Ortiz et al. (2020).

Cuadro 2. Indicadores morfológicos de plantas de tres especies de pino. Los datos corresponden a valores promedio ± desviación estándar.

Especie

Diámetro del cuello

(mm)

Altura

(cm)

Índice de esbeltez

Pinus cooperi C.E.Blanco

6.03 ± 1.02

15.72 ± 3.07

2.66 ± 0.58

Pinus durangensis Martínez

4.52 ± 0.56

18.53 ± 2.92

4.16 ± 0.82

Pinus engelmannii Carrière

5.96 ± 1.04

NA

1.29 ± 0.68

 Índice de esbeltez = Altura/Diámetro del cuello.

Supervivencia de especies

Para el primer análisis, las diferencias en cuanto a la supervivencia entre las plantas que recibieron la aplicación de antitranspirantes y las plantas testigo no fueron significativas (ρ=0.5172), lo que demostró que no hubo efecto en esta variable por el uso de antitranspirantes. En el segundo análisis, se observaron diferencias significativas en el factor especie, y en sus interacciones (Cuadro 3), por lo tanto hubo efecto en la supervivencia debido al antitranspirante y su método de aplicación en las especies.

Cuadro 3. Significancia de los factores evaluados en la supervivencia de plantas de pino.

Efecto

Grados de libertad

Chi-cuadrada de Wald

Pr > Chi-cuadrada

Esp

2

55.9772

<0.0001

Ant

2

0.5869

0.7457

Met

1

0.1567

0.6922

Esp*Ant

4

12.5058

0.0140

Esp*Met

2

9.8569

0.0072

Ant*Met

2

0.2405

0.8867

Esp*Ant*Met

4

15.9119

0.0031

D

1

1.9919

0.1581

Esp = Especie; Ant =Antitranspirante; Met = Método de aplicación; D = Covariable (diámetro del cuello de la raíz).

Logotipo, nombre de la empresa

Descripción generada automáticamente

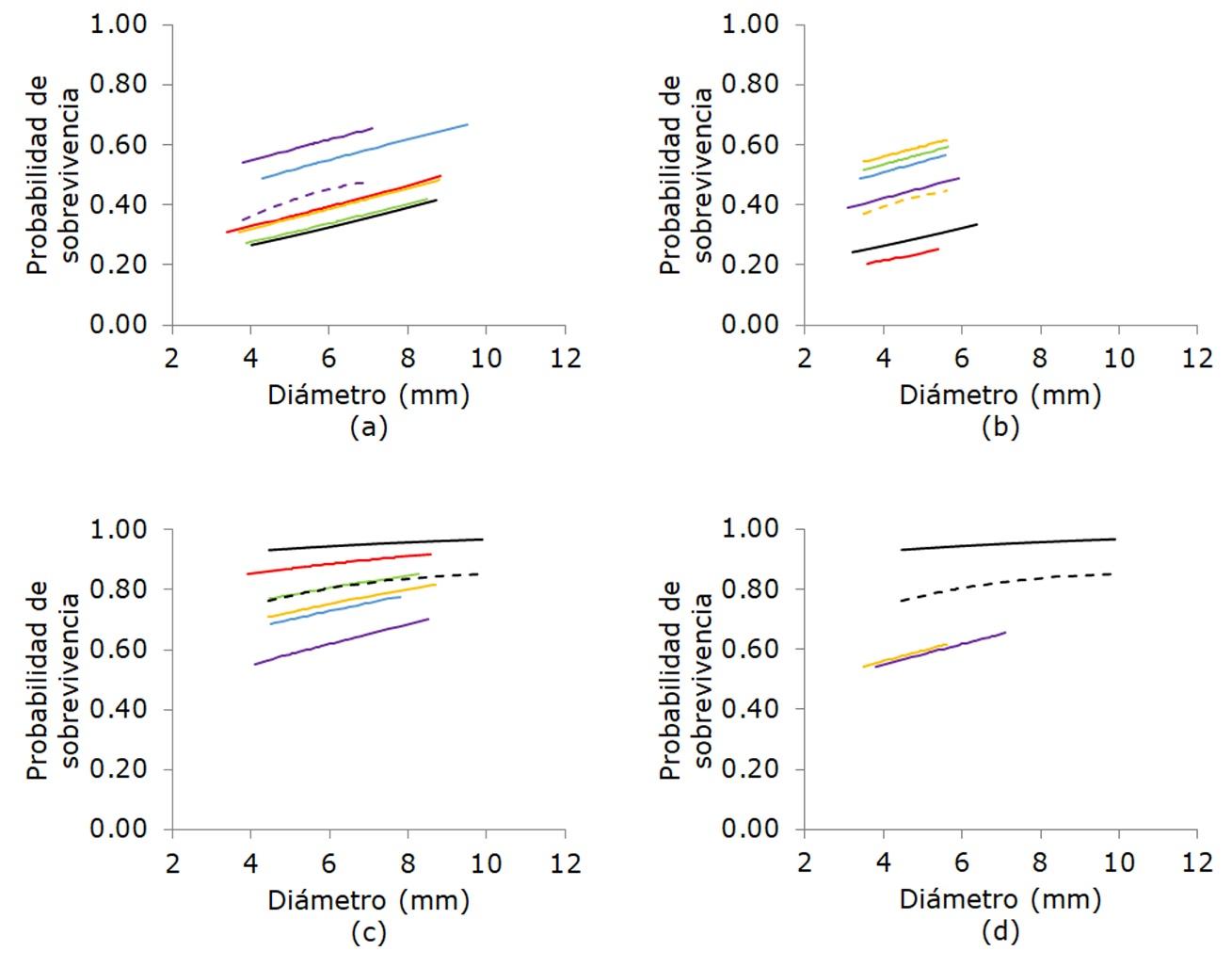
En general, se observó que la probabilidad de supervivencia aumentó con el incremento del diámetro del cuello de la raíz: P. engelmannii destaca porque mostró la mayor probabilidad (0.53 a 0.97) con los tratamientos aplicados, mientras que P. cooperi y P. durangensis mostraron menores probabilidades, con valores de 0.24 a 0.70 y 0.19 a 0.62, respectivamente (Figura 2).

C:\Users\Andres\OneDrive\TRABAJOS\PAPER_14_RMCF\Figura2_v3a_bis.jpg

Los tratamientos están representados por líneas de diferentes colores: negra (Vapor Gard® / aspersión), azul (Vapor Gard® / inmersión), verde (Fitoglass® / aspersión), roja (Fitoglass® / inmersión), naranja (Ecofilm® / aspersión) y morada (Ecofilm® / inmersión). La línea punteada corresponde al intervalo de confianza inferior del 95 % (ICI) del mejor tratamiento, mientras que las líneas de la gráfica d) muestran el mejor tratamiento de P. cooperi (morada), P. durangensis (naranja), y P. engelmannii con su ICI (negra).

Figura 2. Curvas de supervivencia de (a) Pinus cooperi C.E.Blanco, (b) Pinus durangensis Martínez, (c) Pinus engelmannii Carrière ante el efecto de tres productos antitranspirantes y dos métodos de aplicación.

En relación al mayor porcentaje de supervivencia, en P. cooperi se registró 61 % al aplicar Eco-Inm, en P. durangensis se obtuvo 58 % con Eco-Asp, y P. engelmannii presentó 94 % al suministrar VG-Asp (Figura 2a, b, c y Cuadro 4). Estos tratamientos fueron superiores al resto que estuvieron por debajo de su intervalo de confianza inferior de 95 % (ICI) (Figura 2a, b, c). Al comparar los mejores tratamientos entre las especies, P. engelmannii con VG-Asp mostró diferencia significativa con respecto al resto (Figura 2d) (Candia y Caiozzi, 2005). La mortalidad que presentaron las plantas al final del experimento varió de 15 a 33 % en P. engelmannii, 49 a 64 % en P. durangensis, y 50 a 64 % en P. cooperi. En particular, P. engelmannii registró el menor porcentaje de individuos muertos con VG-Asp (6 %) mientras que P. cooperi con Eco-Inm, 49 % y P. durangensis con Eco-Asp, 42 % (Cuadro 4).

Logotipo, nombre de la empresa

Descripción generada automáticamente

Cuadro 4. Valores promedio de supervivencia de tres especies de pino, tres antitranspirantes y dos métodos de aplicación.

Especie

Antitranspirante y método de aplicación

Supervivencia final (%)

Pinus cooperi C.E.Blanco

Vapor Gard® / aspersión

33

Vapor Gard® / inmersión

56

Fitoglass® / aspersión

33

Fitoglass® / inmersión

39

Ecofilm® / aspersión

39

Ecofilm® / inmersión

61

Media Vapor Gard®

44

Media Fitoglass®

36

Media Ecofilm®

50

Pinus durangensis Martínez

Vapor Gard® / aspersión

28

Vapor Gard® / inmersión

53

Fitoglass® / aspersión

56

Fitoglass® / inmersión

22

Ecofilm® / aspersión

58

Ecofilm® / inmersión

44

Media Vapor Gard® 

40

Media Fitoglass® 

39

Media Ecofilm®

51

Pinus engelmannii Carrière

Vapor Gard® / aspersión

94

Vapor Gard® / inmersión

72

Fitoglass® / aspersión

81

Fitoglass® / inmersión

89

Ecofilm® / aspersión

75

Ecofilm® / inmersión

61

Media Vapor Gard® 

83

Media Fitoglass®

85

Media Ecofilm®

68

Logotipo, nombre de la empresa

Descripción generada automáticamente

Discusión

Con respecto al testigo, los resultados de esta investigación mostraron que la aplicación de productos antitraspirantes no incrementó significativamente el porcentaje de supervivencia de plantas de categoría de calidad alta respecto al DC e IE de Pinus cooperi (56 %), P. durangensis (64 %) y P. engelmannii (33 %), establecidas en campo; sin embargo, se observó diferencia significativa en la supervivencia entre los productos y el método de aplicación. Sobre el efecto de los antitranspirantes, se asume que se reduce la transpiración de las plantas porque disminuye la pérdida de agua en condiciones de disponibilidad hídrica limitante del sitio de plantación (Davies y Kozlowski, 1975).

El diámetro del cuello de la raíz y el índice de esbeltez están directamente relacionados con la reserva de carbohidratos y el desarrollo de diferentes partes de la planta. Por esta razón, ambos parámetros se han utilizado como predictores de la supervivencia (Escobar-Alonso y Rodríguez, 2019). Por ejemplo, P. engelmannii tuvo un DC inicial superior al que se considera valor umbral para soportar el doblamiento y presentar tolerancia a daños producidos por plagas (> 5 mm) (Prieto et al., 2018); esta puede ser la causa de la menor mortalidad en la especie.

De acuerdo con Mexal y Landis (1990), el diámetro al cuello de la raíz es una de las variables más relevantes debido a que define la robustez del tallo que está asociado a la fortaleza y supervivencia. En general, a mayor diámetro, una planta tiene mayor lignificación y cantidad de carbohidratos; por lo tanto, mayor número de yemas para rebrotar y un sistema radical mejor desarrollado (Rodríguez, 2008).

P. cooperi y P. durangensis no cumplieron con la altura mínima requerida por la Norma; no obstante, si la planta es destinada a sitios con baja disponibilidad hídrica —por falta de lluvia o escasa humedad en el suelo— esto puede resultar benéfico para su supervivencia porque pueden experimentar menor estrés, mayor fotosíntesis y crecimiento (Grossnickle, 2012).

La respuesta obtenida en supervivencia en este trabajo es consistente con lo consignado por Simpson (1984), quien logró disminuir el estrés hídrico con la aplicación de antitranspirantes en plantas de cuatro especies de coníferas producidas en contenedores, que fueron asperjadas antes del almacenamiento en frío (2 °C), y después de un período de 12 semanas de almacenamiento. Chaves et al. (1985) mostraron la efectividad de antitranspirantes (Folcote®, Mobileaf® y Vapor Gard®) en plantas de cafeto (Coffea arabica L. cv., Catuai amarillo), aplicados por aspersión en diferentes dosis (0, 2, 4 y 6 %) y azúcar de mesa (concentración 10 %) por periodos de 72, 48 y 24 horas antes del trasplante.

En algunas ocasiones, aunque los antitranspirantes reducen la pérdida de agua, no se reconoce efecto en la supervivencia o en el crecimiento inicial de la planta. En plántulas  de Douglas fir o pinabete (Pseudotsuga menziesii (Mirb.) Franco) y pino poderosa (Pinus ponderosa Douglas ex C. Lawson) se probaron dos concentraciones (1:3 y 1:7) del antitranspirante Moisturin® y dos métodos de aplicación (plantas sumergidas o asperjadas). El resultado de los tratamientos fue evaluado al final de la primera temporada de crecimiento. A pesar de que se advirtióó una tendencia en la reducción de la pérdida de agua por la aplicación de los productos, no hubo efectos significativos de los tratamientos en la supervivencia y el crecimiento en altura y diámetro del cuello de las plantas (Rose y Haase, 1995).

Magnussen (1986) y Alm y Stanton (1990) señalaron que cuando no hay problemas de disponibilidad de agua en el sitio de plantación (sequía), no se verifica respuesta a los antitranspirantes; por ejemplo, en P. ponderosa no se registró variación significativa en supervivencia entre plantas tratadas con antitranspirantes y plantas no tratadas (sin aplicación), debido probablemente a que las plantas no estuvieron sometidas a estrés hídrico (Vera-Castillo, 1995). Además, de acuerdo con Salisbury y Ross (2000) las plantas de pino pueden ser consideradas mesófitas, que se desarrollan en áreas donde hay mediana disponibilidad de agua, y tienen estrategias para evitar los efectos que conducen a la pérdida de agua (Levitt, 1980).

En las especies estudiadas no se observaron repercusiones adversas por la aplicación de antitranspirantes, posiblemente debido al periodo corto que duró el ensayo (30 días). Esto último puedo evitar un efecto severo de disminuir la difusión del CO2 en las plantas, ya que sólo se aplicaron los productos antitranspirantes en la cara dorsal (haz) de las hojas. En Picea mariana (Mill.) Britton, Sterns & Poggenb. se probó la efectividad de tres productos antitranspirantes y se logró reducir el estrés hídrico de las plantas; no obstante, se relacionó inversamente con la supervivencia de las plantas en el sitio de plantación, por lo cual no se recomendó su uso en esta especie (Odlum y Colombo, 1987). Lo anterior se atribuye a que la película antitranspirante es capaz de inhibir la difusión de CO2 más que del H2O y, por consecuencia, disminuir el crecimiento y la disponibilidad de carbohidratos (Brown y Rosenberg, 1973).

En este trabajo no fue posible continuar con el ensayo por más de 30 días debido a la presencia de tuzas en el terreno, lo que podría limitar el desarrollo de raíces y promovería la mortalidad de las plantas. Sin embargo, el tiempo de permanencia del trabajo, el diseño experimental empleado y el análisis estadístico evidenciaron que es posible reducir la mortalidad inicial de plantaciones de diferentes tipos (comercial o de restauración) mediante la aplicación de productos antitranspirantes. No obstante, el efecto del producto antitranspirante depende, en principio de la especie (es diferente en las tres especies de pino), y en segundo lugar depende del método de aplicación —otros factores no probados en este trabajo y que posiblemente también jueguen un papel importante son la época de aplicación del antitranspirante y las condiciones iniciales del sitio de plantación. Con base en todo lo anterior, se recomienda que el método y productos usados sean probados en otras especies por un periodo mayor a 30 días.

Logotipo, nombre de la empresa

Descripción generada automáticamente

Conclusiones

De forma general, a mayor valor del diámetro al cuello de la raíz se reconoció que la supervivencia de las especies de pino probadas aumenta. Para P. durangensis y P. engelmannii, al presentar 22 y 27 % de supervivencia más que el testigo, la aplicación de los antitranspirantes puede impactar positivamente en la plantación de las especies en trabajos de restauración de áreas degradadas.

Aunque los resultados no fueron contundentes o no confirmaron una tendencia clara, es posible el uso de productos antitranspirantes en sitios con problemas de baja disponibilidad de agua porque parecen incrementar la supervivencia y establecimiento, en función de la especie y de la forma de su aplicación

La efectividad del método de aplicación del producto antitranspirante varía con la especie. Para P. engelmannii el mejor método fue por aspersión mientras que para P. cooperi fue el de inmersión.

Bajo las condiciones en que se realizó el presente estudio el método de aplicación por aspersión fue más viable y ofreció mayor ventaja operativa para su implementación como práctica de vivero.

Agradecimientos

Los autores agradecemos al INIFAP por financiar este trabajo a través del proyecto fiscal N°2-1.6-1175934783-F-M.2-1 “Incremento de sobrevivencia y crecimiento inicial en plantaciones forestales con fines de recuperación, mediante la aplicación de antitranspirantes, en especies del género Pinus”, y a los revisores del manuscrito por los comentarios realizados.

Conflicto de intereses

Los autores declaran no tener conflicto de intereses.

Contribución por autor

Tomás Pineda Ojeda: concepción de idea, formulación de metodología, obtención de fondos y redacción de manuscrito final; Andrés Flores: análisis estadístico y redacción de primer manuscrito; Benigno Estrada Drouaillet: análisis estadístico y redacción de manuscrito final; José Leonardo García Rodríguez: establecimiento de ensayo, evaluación de variables y redacción de manuscrito final; Eulogio Flores Ayala: Revisión crítica y aportación de comentarios sustanciales al manuscrito; Enrique Buendía Rodríguez: desarrollo de metodología y redacción de manuscrito final. Todos los autores han leído y están de acuerdo en publicar el documento.

Referencias

AbdAllah, A. 2019. Impacts of Kaolin and Pinoline foliar application on growth, yield and water use efficiency of tomato (Solanum lycopersicum L.) growth under water deficit: a comparative study. Journal of the Saudi Society of Agricultural Sciences. 18(3): 256-268. doi: 10.1016/j.jssas.2017.08.001

Alm, A. and J. Stanton. 1990. Field trials of root dipping treatments for red pine, Jack pine, and white spruce nursery stock in Minnesota. Tree Planters' Notes 41(3): 18-20. https://rngr.net/publications/tpn/41-3/field-trials-of-root-dipping-treatments-for-red-pine-jack-pine-and-white-spruce-nursery-stock-in-minnesota-1/at_download/file (29 de octubre de 2021).

Brown, K. W. and N. J. Rosenberg. 1973. A resistance model to predict evapotranspiration and its application to a sugar beet field. Agronomy Journal 65(3): 341–347. Doi: 10.2134/agronj1973.00021962006500030001x.

Candia B., R. y G. Caiozzi A. 2005. Intervalos de confianza. Revista Médica de Chile 133: 1111-1115. https://www.scielo.cl/scielo.php?script=sci_arttext&pid=S0034-98872005000900017 (30 de septiembre de 2021).

Chaves S., M. A., F. Hernández B. y G. Gutiérrez Z. 1985. Efecto de antitranspirantes y azúcar utilizados en el transplante de cafetos a raíz desnuda. Agronomía Costarricense 9(1):71-78. https://www.mag.go.cr/rev_agr/v09n01_071.pdf (30 de abril de 2021).

Comisión Nacional Forestal (Conafor). 2019. Estado que guarda el sector forestal en México. Conafor. Zapopan, Jal., México. 412 p.

Davies W. J. and T. T. Kozlowski. 1975. Effects of applied abscisic acid and plant water stress on transpiration of woody angiosperms. Forest Science 21(2): 191–195. Doi:10.1093/forestscience/21.2.191.

Escobar-Alonso, S. y D. A. Rodríguez T. 2019. Estado del arte en la investigación sobre calidad de planta del género Pinus en México. Revista Mexicana de Ciencias Forestales 10(55): 4–38. Doi:10.29298/rmcf.v10i55.558.

Esperón-Rodríguez, M. and V. L. Barradas. 2015. Ecophysiological vulnerability to climate change: water stress responses in four tree species from the central mountain region of Veracruz, Mexico. Regional Environmental Change 15(1): 93-108. Doi:10.1007/s10113-014-0624-x.

Flores, A., J. Climent, V. Pando, J. López U. and R. Alía. 2018. Intraspecific variation in pines from the Trans-Mexican Volcanic Belt grown under two watering regimes: Implications for management of genetic resources. Forests 9(2): 71. Doi:10.3390/f9020071.

Flores, A., M. E. Romero S., R. Pérez M., T. Pineda O. y F. Moreno S. 2021. Potencial de restauración de bosques de coníferas en zonas de movimiento de germoplasma en México. Revista Mexicana de Ciencias Forestales 12(63): 4–27. Doi:10.29298/rmcf.v12i63.813.

García, E. 2004. Modificaciones al sistema de clasificación climática de Köppen (para adaptarlo a las condiciones de la República Mexicana). 5ª ed. UNAM. México, D. F., México. 91 p.

González E., M. S., M. González E. y M. A. Márquez L. 2006. Vegetación y ecorregiones de Durango. IPN. Durango, Dgo., México. 165 p.

Grossnickle, S. C. 2012. Why seedlings survive: Influence of plant attributes. New Forests 43(5–6): 711–738. Doi:10.1007/s11056-012-9336-6.

Levitt, J. 1980. Responses of plants to environmental stresses. V 1: chilling, freezing and high temperature stresses. V 2: water stress, dehydration and drought injury. Academic Press. New York, NY, USA. 607 p.

Lisar, S. Y. S., R. Motafakkerazad, M. M. Hossain and I. M. M. Rahman. 2012. Water stress in plants: causes, effects and responses. In: Rahman, I. M. M. and H. Hasegawa (eds.). Water stress. InTech. Rijeka, Croatia. pp. 1-14.

Luna-Flores, W., H. Estrada-Medina, J. J. M. Jiménez-Osornio y L. L. Pinzón-López. 2012. Efecto del estrés hídrico sobre el crecimiento y eficiencia del uso del agua en plántulas de tres especies arbóreas caducifolias. Terra Latinoamericana 30(4): 343-353. http://www.scielo.org.mx/pdf/tl/v30n4/2395-8030-tl-30-04-00343.pdf (29 de abril de 2021).

Magnussen, S. 1986. Effects of root-coating with the polymer waterlock on survival and growth of drought-stressed bareroot seedlings of white spruce (Picea glauca (Moench) Voss) and red pine (Pinus resinosa Ait.). Tree Planters' Notes 37(1): 15-19. https://rngr.net/publications/tpn/37-1/effects-of-root-coating-with-the-polymer-waterlock-on-survival-and-growth-of-drought-stressed-bareroot-seedlings-of-white-spruce-picea-glauca-moench-voss-and-red-pine-pinus-resinosa-ait./at_download/file (29 de octubre de 2021).

Mexal, J. G. and T. D. Landis. 1990. Target seedling concepts: height and diameter. In: Rose, R., S. J. Campbell and T. D. Landis (eds.). Target seedling symposium: proceedings, combined meeting of the western forest nursery associations. U. S. Department of Agriculture, Forest Service. Fort Collins, CO, USA. pp. 17–35.

Mikiciuk, G., M. Mikiciuk and P. Ptak. 2015. The effect of antitranspirants DI-1-P-Menthene on some physiological traits of strawberry. Journal of Ecological Engineering 16(4): 161-167. Doi: 10.12911/22998993/59366.

Moctezuma L., G. y A. Flores. 2020. Importancia económica del pino (Pinus spp.) como recurso natural en México. Revista Mexicana de Ciencias Forestales 11(60): 161-185. Doi:10.29298/rmcf.v11i60.720.

Moftah, A. E. and A. R. L. Al-Humaid. 2005. Effects of antitranspirants on wáter relations and photosyntetic rate of cultivate tropical plants (Polianthes tuberosa L.). Polish Journal of Ecology 53(20): 165-175. https://miiz.waw.pl/pliki/article/ar53_2_02.pdf (30 de abril de 2021).

Nitzsche, P., G. A. Berkowitz and J. Rabin. 1991. Development of a seedling-applied antitranspirant formulation to enhace water status, growth, and yield of transplanted bell pepper. Journal of the American Society for Horticultural Science 116(3): 405-411. Doi:10.21273/JASHS.116.3.405.

Odlum, K. D. and S. J. Colombo. 1987. The effect of three film-forming antitranspirants on moisture stress of outplanted black spruce seedlings. Tree Planter´s Notes 8(4): 23-26. https://rngr.net/publications/tpn/38-4/the-effect-of-three-film-forming-antitranspirants-on-moisture-stress-of-outplanted-black-spruce-seedlings/at_download/file (30 de abril de 2021).

Prieto R., J. Á., A. Aldrete, J. C. Hernández D. y J. R. Goche T. 2016. Causas de mortalidad de las reforestaciones y propuestas de mejora. In: Prieto R., J. A. y J. R. Goche T. (comps.). La reforestación en México. Problemática y alternativas de solución. Universidad Juárez del estado de Durango. Durango, Dgo. México. pp. 55-65.

Prieto R., J. Á., A. Duarte S., J. R. Goche T., M. M. González O. y M.-Á. Pulgarín G. 2018. Supervivencia y crecimiento de dos especies forestales, con base en la morfología inicial al plantarse. Revista Mexicana de Ciencias Forestales 9(47): 151–168. Doi:10.29298/rmcf.v9i47.182.

Rodríguez T., D. A. 2008. Indicadores de calidad de planta forestal. Mundi Prensa. México, D. F., México. 156 p.

Rodríguez-Ortiz, G., R. D. Aragón-Peralta, J. R. Enríquez-del Valle, A. Hernández-Hernández, W. Santiago-García y G. V. Campos-Angeles. 2020. Calidad de plántula de progenies selectas de Pinus pseudostrobus Lindl. var. oaxacana del sur de México. Interciencia 45(2): 96–101. https://www.researchgate.net/publication/339750861_Calidad_de_plantula_de_progenies_selectas_de_Pinus_pseudostrobus_Lindl_var_oaxacana_del_sur_de_Mexico (30 de abril de 2021).

Rose, R. and D. L. Haase. 1995. Effect of the antidiseccant Mointurin® on conifer seedling field performance. Tree Planter´s Notes 46(3):97-101. https://admin.rngr.net/publications/tpn/46-3/effect-of-the-antidesiccant-moisturin-on-conifer-seedling-field-performance/at_download/file (30 de abril de 2021).

Sáenz-Romero, C., J.-B. Lamy, E. Loya-Rebollar, A. Plaza-Aguilar, R. Burlett, P. Lobit and S. Delzon. 2013. Genetic variation of drought-induced cavitation resistance among Pinus hartwegii populations from an altitudinal gradient. Acta Physiologiae Plantarum 35(10): 2905-2913. Doi:10.1007/s11738-013-1321-y.

Sáenz-Romero, C. M. Larter, N. González-Muñoz, C. Wehenkel, A. Blanco-Garcia, D. Castellanos-Acuña, R. Burlett and S. Delzon. 2017. Mexican conifers differ in their capacity to face climate change. Journal of Plant Hydraulics 4: e-003. Doi:10.20870/jph.2017.e003.

Salisbury, F. y F. Ross. 2000. Fisiología de las plantas. Thompson Editores Spain Paraninfo, S. A. Madrid, España. 947 p.

Statistical Analysis System (SAS). 2010. SAS user’s guide: Statistics. Version 9.3. SAS Institute Inc. Cary, NC, USA. n/p.

Secretaría de Economía. 2016. Norma Mexicana NMX-AA-170-SCFI-2016. Certificación de la operación de viveros forestales. http://sivicoff.cnf.gob.mx/ContenidoPublico/10 Material de Consulta/Normatividad Vigente/NMX-AA-170-SCFI-2016.pdf (13 de junio de 2020).

Shinohara, T. and D. I. Leskovar. 2014. Effect of ABA, antitranspirants, heat and drought stress on plants growth, physiology and water status of artichoke transplants. Scientia Horticulturae 165: 225-234. Doi:10.1016/j.scienta.2013.10.045.

Simpson, D. G. 1984. Filmforming antitranspirants: their effects on root growth capacity, storability, moisture stress avoidance, and field perfomance of containerized conifer seedlings. The Forestry Chronicle 60(6): 335-339. Doi:10.5558/tfc60335-6 

Taiz, L. and E. Zeiger. 2010. Plant physiology. Sinauer Associates Inc. Sunderland, MA, USA. 623 p.

Vera-Castillo, J. A. G. 1995. The influence of antidesiccants on field performance and physiology of 2+0 Ponderosa Pine (Pinus ponderosa Dougl.) seedlings. Doctoral thesis. Oregon State University, OR, USA. 134 p.

Yepes, A. y M. Silveira–Buckeridge. 2011. Respuestas de las plantas ante los factores ambientales del cambio climático global (Revisión). Colombia Forestal 14(2): 213-232. http://www.scielo.org.co/scielo.php?script=sci_arttext&pid=S0120-07392011000200006 (29 de abril de 2021).

        

Todos los textos publicados por la Revista Mexicana de Ciencias Forestales sin excepción– se distribuyen amparados bajo la licencia Creative Commons 4.0 Atribución-No Comercial (CC BY-NC 4.0 Internacional), que permite a terceros utilizar lo publicado siempre que mencionen la autoría del trabajo y a la primera publicación en esta revista.