Zamora-Martínez et al. Research on the sustainability of natural resources...

Logotipo, nombre de la empresa

Descripción generada automáticamente

DOI: https://doi.org/10.29298/rmcf.v12iEspecial-1.1144

Review article

Investigaciones sobre sostenibilidad de los recursos naturales en el Instituto Nacional de Investigaciones Forestales, Agrícolas y Pecuarias

Research on the sustainability of natural resources at the Instituto Nacional de Investigaciones Forestales, Agrícolas y Pecuarias

Marisela Cristina Zamora-Martínez1

Aixchel Maya-Martínez2*

Nelda Guadalupe Uzcanga-Pérez3

Rosario Rogel-Salazar4

Irvin Santiago-Bautista5

Guadalupe Fabiola Reygadas Prado6

Eulalia Edith Villavicencio-Gutiérrez7

Fecha de recepción/Reception date: 5 de marzo de 2021

Fecha de aceptación/Acceptance date: 11 de junio de 2021

______________________________

1Instituto Nacional de Investigaciones Forestales, Agrícolas y Pecuarias. Centro Nacional de Investigación Disciplinaria en Conservación y Mejoramiento de Ecosistemas Forestales. México.

2Instituto Nacional de Investigaciones Forestales, Agrícolas y Pecuarias. CIR-Sureste, Campo Experimental Edzná. México.

3Instituto Nacional de Investigaciones Forestales, Agrícolas y Pecuarias. CIR-Sureste, Campo Experimental Mocochá. México.

4Universidad Autónoma del Estado de México. Facultad de Ciencias Políticas y Sociales. México.

5Universidad Autónoma del Estado de México. México.

6Instituto Nacional de Investigaciones Forestales, Agrícolas y Pecuarias. CIR- Pacífico Centro, Campo Experimental Centro Altos de Jalisco. México

7Instituto Nacional de Investigaciones Forestales, Agrícolas y Pecuarias. CIR-Noreste, Campo Experimental Saltillo. México.

*Autor para correspondencia; correo-e: maya.aixchel@inifap.gob.mx

Resumen

Se presenta una síntesis del conocimiento generado en el Instituto Nacional de Investigaciones Forestales, Agrícolas y Pecuarias (INIFAP) sobre sostenibilidad de los recursos naturales, a partir de una investigación documental en las bases de datos Scopus (1972-2020), Web of Science (WoS), en la sub base SciELO Citation Index (2002-2020) y la Revista Mexicana de Ciencias Forestales (RMCF) (1985-2009). Se utilizaron 10 palabras clave, y el análisis se hizo con los programas Bibliometrix, VOSviewer e IBM-SPSS 23.0 para la integración de redes de colaboración e identificación de coautorías. Destaca que las publicaciones de los investigadores forestales son escasas en las bases consultadas y la mayoría data del presente siglo; se recuperaron, inicialmente, 3 653 documentos en Scopus, y en una segunda instancia 210; en WoS, 1 447; y en RMCF, 28. Lo anterior coincide con el despunte del interés global por el cambio climático, su impacto en los ecosistemas y la biodiversidad; así como la importancia de los servicios ecosistémicos y el manejo forestal sustentable. Otro aspecto relevante es el manejo del agua en los agroecosistemas y el manejo integrado de cuencas. Se identificaron cinco redes de colaboración en Scopus, 15 en WoS y cuatro en la RMCF. El INIFAP tiene un capital humano con experiencia y conocimientos en los tres sectores que lo integran; así como de especialistas en socioeconomía, que constituyen una fortaleza para la conformación de colaboraciones multisectoriales para la realización de proyectos de gran visión sobre el desarrollo sostenible de los recursos naturales.

Palabras clave: Cambio Climático, cienciometría, manejo de cuencas, redes de colaboración, sostenibilidad, sustentabilidad.

Abstract

This paper summarizes the available knowledge generated at the Instituto Nacional de Investigaciones Forestales, Agrícolas y Pecuarias (INIFAP) on the sustainability of natural resources. A documentary search was performed in the Scopus (1972-2020) and Web of Science (WoS) databases, as well as in the SciELO Citation Index sub-database (2002-2020) and the Mexican Journal of Forestry (Revista Mexicana de Ciencias Forestales, RMCF) (1985-2009). The information was drawn based on 10 keywords and was analyzed using the Bibliometrix, VOSviewer and IBM-SPSS 23.0 software to identify the formation of collaboration networks and co-authorships. The publications generated by forestry researchers on sustainability issues are incipient, and most are from the present century; 3 653 documents were initially recovered from Scopus‚ and 210 in a second instance; 1 447 in WoS, and 28 in RMCF. The above coincides with the rise of global interest in climate change and its impact on ecosystems and biodiversity, as well as in the importance of ecosystem services and sustainable forest management. Other relevant aspects are water management in agroecosystems and integrated basin management. Five collaborative networks were identified in Scopus, 15 in WoS, and 4 in the RMCF. INIFAP has human resources with experience and knowledge in the three sectors it comprises, as well as specialists in socio-economics; this constitutes a strength for the formation of multisectoral collaborations to undertake visionary projects concerning the sustainable development of natural resources.

Key words: Climate change, scientometrics, basin management, collaborative networks, sustainable development, sustainability.

Introduction

From its origin, the human species has depended for its development and cultural evolution on the transformation of ecosystems and the various services they provide (CONABIO, 2008). Within this context, worldwide, the protection and conservation of ecosystems is currently a top priority due to demographic pressures that lead to a high demand for ecosystem services, as well as to changes in land use to meet the growing demand for food (Arnold et al., 2011).

It is also important to consider that the economic development of the global society has its origin in technologies that are generally polluting and adverse to environmental conservation. This has led to the degradation of forest areas and of the ecosystem services they provide, with the ensuing exacerbation of poverty among the inhabitants of these areas ―issues which, in the light of current knowledge, tend to persist and, furthermore, to worsen (Chopra et al., 2005).

Within this context, the Brundtland Report's concept of sustainability emerges as (ONU, 1987): “…[Development that] meets the needs of the present without compromising the ability of future generations to meet their own needs …”. In the same terms, the United Nations Conference on the Environment and Development (FAO, 1992) agreed that the general concepts of sustainable forest management are an important element in achieving sustainable development: “…Forest resources and forest lands should be sustainably managed to meet the social, economic, ecological, cultural and spiritual needs of the present and future generations…”.

It is important to note, that since the Brundtland Report, the term “sustainable development” was translated into Spanish as desarrollo sostenible, which has led to confusion as to whether or not there is any difference between the terms desarrollo sostenible and desarrollo sustentable. The only distinction resides in the source of the Spanish translation: whereas in Mexico it was translated as desarrollo sostenible, in other Spanish-speaking countries, as desarrollo sustentable (Zarta, 2018).

In 1990, the concept of sustainability (sustentabilidad) was introduced to symbolize the relationship between the objectives of economic growth, social equity and environmental sustainability in a graphic manner. This gave rise to the so-called Nijkamp Triangle, whose central area is sustainable development (desarrollo sustentable), and is attained, hypothetically, when the three aforementioned objectives are achieved simultaneously (Zarta, 2018).

However, since the 1980s, when the concept of sustainable development ―desarrollo sostenible― was coined (ONU, 1987), to the present day, its differentiation from sustainability (sustentabilidad) has remained unclear: even researchers use them interchangeably. Salas-Zapata et al. (2017) point out that, in approximately 91 % of the articles reviewed, the concept of sustainability was not defined, and in almost 60 %, sustainability (sustentabilidad) and sustainable development (desarrollo sostenible) were used in an undifferentiated manner.

The difference between the two concepts is drawn by defining sustainability as a dynamic condition of an ecosystem that reflects the ways in which its biotic and abiotic components interrelate, that is linked to the homeostatic nature of social-ecological systems (Barton and Gutiérrez-Antinopai, 2020). Whereas, sustainable development (desarrollo sustentable) is a form of production that is based on the potential of both nature and culture, and not on the theoretical and pragmatic laws of the market. This implies that sustainability integrates environmental, economic, ethical, sustainable governance, institutional and cultural perspectives (Viso, 2005; Waas et al., 2011).

In conclusion, sustainable development (desarrollo sostenible) aims to harmonize the economic process with the conservation of nature, which also favors a balance between the satisfaction of current needs and those of future generations (Rivera-Hernández et al., 2017), through sustainable economic growth based on the finite nature of natural resources (Barrios et al., 2007). Desarrollo sustentable, on the other hand, integrates the ecological potential, technological development, culture and society to satisfy the basic needs of society and improve its life quality (López et al., 2015; Rivera-Hernández et al., 2017).

Within this context, the Development Programme of the National Institute for Research on Forest, Agriculture and Livestock (Instituto Nacional de Investigaciones Forestales, Agrícolas y Pecuarias) (INIFAP, 2018) identifies several challenges to achieving the conservation of ecosystems and the sustainability of natural resources, understood as renewable (water, climate, soil and biodiversity). These include: the rational use of water, both rainfed and irrigation, in agriculture and forestry activities; climate variability and its positive and negative effects on plant physiology; the increase in the presence and frequency of pests and diseases; desertification, loss of soil fertility; the increase in the incidence and frequency of forest fires; as well as the management of timber, non-timber and wildlife resources.

Based on the above scenario, and under the premise that it is important to synthesize the available knowledge to have an informed opinion on the status of achievements and limitations regarding the sustainability of natural resources; as well as to identify the topics that are necessary to generate scientifically-based information that will contribute to progress in a manner that is compatible with social welfare and natural resource management, this paper identifies relevant aspects of INIFAP's scientific research on the sustainability of natural resources and shows the available evidence on the knowledge generated at the Institute since its creation in 1985 until January 2021. The information is differentiated by journals and institutions, articles, and scientific collaboration networks.

Search criteria

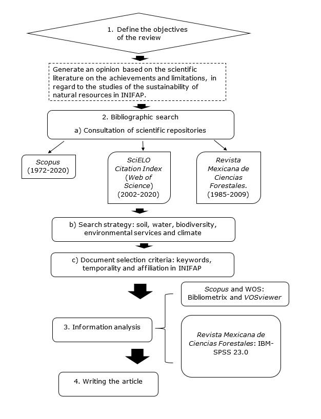
The thematic review covered the period from 1985 to 2020 within the framework of the 35th anniversary of INIFAP, except where otherwise stated. A consultation on the resources soil, water, biodiversity, environmental services and climate, was carried out in the following databases: Scopus (https://www.scopus.com), Web of Science (WoS), SciELO Citation Index, (https://clarivate.com/webofsciencegroup/solitions/webofscience-scielo) and the Mexican Journal of Forestry (Revista Mexicana de Ciencias Forestales, RMCF, https://cienciasforestales.inifap.gob.mx). Figure 1 describes the stages of the literature review process.

Figure 1. Work scheme.

Initially, a search operator was built around the themes of Natural Resource Sustainability considered in the Development Program of the National Institute for Research on Forestry, Agriculture and Livestock (INIFAP, 2018) with ten keywords: Basin River, Biodiversity Management, Forest Soil Conservation, Sustainable Forest Management, Climate Change, Forest Restoration, Integrated Pest Management, Fire Management, Forest Plantations, and Ecosystem Conservation. Subsequently, the search was expanded with the integration of more specific terms: Basin Water, Biodiversity, Soil, Sustainable, Climate Change, Restoration, Integrated Pest Management, Fire Management, Forest Plantations, and Ecosystem Conservation. In addition, the selection criterion for the search in the databases was to consider at least one author who declared affiliation to INIFAP, currently or during the study period.

For the time criterion, the total coverage of the Scopus and SciELO Citation Index databases was taken into consideration. In the case of Scopus, its coverage extends from 1972 to 2020, and in the case of SciELO Citation Index, its coverage contemplates only from 2002 to 2020, a period for which WoS integrates information, since no further data had been added for 2021 at the time of the consultation. For the coverage of the RMCF, the period from 1985 to 2009 was reviewed, since the Journal was incorporated to SciELO Citation Index in 2010.

The records obtained from Scopus and WoS were analyzed with the Bibliometrix (Aria and Cuccurullo, 2017) and VOSviewer (Van Eck and Waltman, 2007) statistical packages in order to calculate percentages, keyword occurrence networks, trends and growth dynamics, as well as co-authorship networks.

For the information from the RMCF website, we used the Statistical Package for the Social Sciences software (IBM-SPSS) 23.0 (IBM, 2015), to estimate the frequencies by year of publication, by INIFAP research program, and by type of natural resource to whose sustainability they are contributing.

Data analysis

An initial search in the Scopus records for publications authored by researchers from INIFAP and its predecessor institutes: Instituto Nacional de Investigaciones Forestales (National Institute for Research on Forests) (INIF), Instituto Nacional de Investigaciones Agrícolas (National Institute for Research on Agriculture) (INIA) and Instituto Nacional de Investigaciones Pecuarias (National Institute for Research on Livestock) (INIP), from 1972 to 2020, produced a total of 3 653 documents. When this search was restricted to the first group of keywords, 32 documents were obtained; subsequently, when it was expanded with the new key words, 210 documents published between 2000 and January 2021 were retrieved. That is, in the entire historical archives of the Scopus journal prior to the year 2000, there is no mention of the subjects searched in keywords, titles, or abstracts.

In the case of WoS, in order to eliminate the bias of underrepresentation of the Ibero-American region in the Main Collection, a search was performed in the SciELO Citation Index sub-database that feeds directly from the SciELO Collections in Ibero-America. For the 2002-2020 period this search produced 1 447 publications signed by at least one author whose institutional affiliation was INIFAP.

For the 1985-2009 period of the RMCF, 28 articles related to the Sustainability of Natural Resources were obtained.

Documentary review of the Scopus database (1972 to 2020)

The analysis of the information collected in the total Scopus database showed that the central themes of the publications of researchers attached to INIFAP and its predecessor institutes ―INIF, INIA, and INIP― were related to the keywords corn, yield, and livestock (Figure 2).

Source: prepared by the authors based on Scopus (1972-2020) and created with VOSviewer.

Figure 2. Co-occurrence network of the total production of researchers affiliated to INIF, INIA, INIP, and INIFAP indexed in Scopus (1972-2020).

Among the most visible topics, none were found to be related to studies on Natural Resource Sustainability. However, this does not mean that they have been outside the attention of researchers, since in the 3 653 documents compiled there are topics that bear some relationship to studies on this subject; among them, the most significant were climate change, drought, and genetic diversity, each with 2 %, and forest management, diversity, and climatic variability (with 1 %).

Figure 3 shows how, as of the second decade of the 21st century, topics related to studies on Natural Resource Sustainability began to emerge. For example, the trend topics in INIFAP's editorial production include climate change, which became prominent from 2019. In addition, since 2018, there has been a dynamic growth in the keywords: forest management, genetic diversity, and forest inventory, among others, in contrast to keywords associated with agricultural or livestock studies, which prevailed between 2012 and 2016.

Source: Prepared by the authors based on Scopus (2020), created with Bibliometrix.

Figure 3. Trend topics in the total production of researchers affiliated to the INIF, INIA, INIP and INIFAP institutes indexed in Scopus (1972-2021).

The thematic map shown in Figure 4 was constructed based on the 210 articles located in the Scopus database between 2000 and 2021. This map shows that the central thematic node was Mexico, followed, in order of importance, by climate change and drought; also identified were forest management and productivity, and their relationship with water.

Source: Prepared by the authors based on Scopus (2020), created with VOSviewer.

Figure 4. Keyword co-occurrence network in the delimited Scopus search for researchers affliated to INIF, INIA, INIP, and INIFAP (2000-2020).

Figure 5 shows the dynamics of the increase in publications over the 2002-2020 period. In 2008, research focused on yields; in 2010, on efficient water use; in 2011, evapotranspiration was the main topic, and recently, climate change was included.

Logotipo, nombre de la empresa

Descripción generada automáticamente

Source: Prepared by the authors based on Scopus (2020), created with Bibliometrix.

Figure 5. Trend topics in the key words in the delimited Scopus search for researchers attached to INIFAP (2000-2020).

This documentary production was grouped in 29 journals, and 34.5 % of the scientific production was concentrated in 10 Mexican journals, in which INIFAP researchers (Figure 6) published 74 articles (66 %). However, of the total number of journals, only nine included in their subject matter a topic related to natural resources, as considered by this review (soil, water, biodiversity, environmental services, and climate) or were eminently forestry-based.

Logotipo, nombre de la empresa

Descripción generada automáticamente

*Journals whose subject matter includes topics related to natural resource sustainability. Source: Prepared by the authors based on Scopus (2000-2020).

Figure 6. Scopus-indexed journals in which INIFAP researchers have published articles on natural resource sustainability issues (2000-2020).

Based on the number of articles published, the highest productivity of INIFAP lies in agricultural research programs, with studies that deal with water management, climate, climate change, watershed management, and the management of water basins (Sánchez-Cohen et al., 2020). Other areas include domestication of non-timber species (Martínez-Hernández et al., 2017), sustainable development (Sánchez-Cohen et al., 2008), soil (Salinas-García et al., 2002; Cruz-Cárdenas et al., 2010), and sustainable agriculture (Acosta-Gallegos et al., 2012). Forestry issues related to climate, water and climate change are also addressed (Villanueva-Díaz et al., 2007, 2018, 2020; Cerano-Paredes et al., 2016).

Of the most cited articles related to the sustainability of natural resources, four stand out in which at least one author is affiliated to INIFAP: Muñoz-Villers et al. (2012), with 5.8 citations (total 58); Flores et al. (2006), con with 3.5 (total 56), and García-Valenzuela et al. (2005), with 3 (total 51); in the latter, all authors belong to INIFAP.

Five research groups were identified: the central one (red) is led by Sánchez-Cohen and collaborators, who have been co-authors of the research group of Sifuentes-Ibarra and López-López (yellow), who in turn participate in the studies of Ontiveros-Capurata (researcher at the Mexican Water Institute, IMTA) and collaborators (blue) (Figure 7). However, the latter group is not directly related to that of Sánchez-Cohen, whose centrality is evidenced from the relationships with the group of Cadena-Zapata (purple), as well as with that of Villanueva-Díaz (green) and Díaz-Padilla (Sánchez-Cohen et al., 2008, 2020; Cerano-Paredes et al., 2009; Díaz-Padilla et al., 2011; Guajardo-Panes et al., 2017). The networks described above correspond to researchers who belong to the agricultural area, but whose main area of study is related to soil (López-Santos et al., 2012), water, and climate (López-López et al., 2018; Sifuentes-Ibarra et al., 2020).

Source. Prepared by the authors based on Scopus (2000-2021), created with VOSviewer.

Figure 7. Co-authorship network of INIFAP researchers who publish articles on topics related to the Sustainability of Natural Resources in Scopus-indexed journals.

It is worth noting that the core group (Sánchez-Cohen et al.) also maintains collaborations with researchers abroad (Sánchez-Cohen et al., 2006). Both Sánchez-Cohen and Villanueva-Díaz are researchers affiliated to the Centro Nacional de Investigación Disciplinaria en la Relación Agua, Suelo, Planta y Atmósfera, CENID-RASPA (National Center for Disciplinary Research on Water-Soil-Plant-Atmosphere Relationship), where fundamental aspects for the sustainability of natural resources (soil, water, climate) are addressed. In addition, sharing a physical space facilitates the interrelation of work, as evidenced by the co-authorship connection between Villanueva-Díaz and Cerano-Paredes (Figure 7).

Documentary review in the SciELO Citation Index sub-database of the Web of Science (2002 to 2020)

The keyword co-occurrence network showed that both drought and climate change constitute the central nodes of the network; those related to forest management, forest plantations, and forest inventory stood out (Figure 8). In other words, they coincided with the results of the Scopus database review (Figure 3), although the latter is more global, since its collection includes publications from all over the world. The WoS review, on the other hand, was limited to the sub-base of journals published in Ibero-America.

Logotipo, nombre de la empresa

Descripción generada automáticamente

Source: Prepared by the authors based on the SciELO Citation Index (2002-2020) created with VOSviewer.

Figure 8. Co-occurrence network for the search of articles by INIFAP researchers on the sustainability of natural resources included in the SciELO Citation Index (2002-2020).

The dynamics of trend topics began in 2009 with climate change, while in 2012, the topics of interest were productivity and drought; finally, in the last four years, forest management, forest plantations and conservation have begun to stand out (Figure 9).

Logotipo, nombre de la empresa

Descripción generada automáticamente

Source: Prepared by the authors based o then SciELO Citation Index (2002-2020), created with Bibliometrix.

Figure 9. Trend topics among the keywords in publications on the sustainability of natural resources by researchers affiliated to INIFAP included in the SciELO Citation Index.

Moreover, 32 journals were registered (Figure 10) as those in which INIFAP researchers publish most frequently, which encompass topics related to the Sustainability of Natural Resources. Among these, 17 include less than five articles; however, some dealt with topics related to forestry, or with aspects related to plant biodiversity: Acta Botánica (4 articles), Revista Mexicana de Biodiversidad (3), Polibotánica (3), and Bosque (Valdivia, Chile) (2).

Source: Prepared by the authors based on the SciELO Citation Index (2002-2021). *Forest journals.

Figure 10. Journals indexed in the SciELO Citation Index in which INIFAP researchers publish on the sustainability of natural resources.

All the journals with more than 10 articles were published in Mexico, and among these, the following journals of INIFAP stood out: Revista Mexicana de Ciencias Agrícolas (Mexican Journal of Agricultural Sciences, 96 articles) and Revista Mexicana de Ciencias Forestales (Mexican Journal of Forest Sciences, 70 articles) (Figure 9). In other words, INIFAP's scientific personnel prefer to publish their research results in national journals, particularly those of their own institution. This is the case of papers on topics such as forest modeling, that show that the scientific production in Mexico during the 1980-2015 period was published in 31 Mexican journals out of a total of 37 (Martínez-Santiago et al., 2017).

A network of collaboration between 15 research groups and subgroups was identified. Of these, six shared a certain centrality in the co-authorship network. Once again, the research groups of Ignacio Sánchez-Cohen and José de Villanueva-Díaz were prominent; it should be noted that both were central to the network of co-authorships developed with the data from Scopus. However, in this case, we highlight the presence of subgroups not shown in the networks built from the information of this platform, including those involving Julián Cerano-Paredes, Miguel Acosta-Mireles, Antonio González Hernández, Jonathan Hernández-Ramos, and Ariel José Ruiz-Corral, although the latter is from the Universidad de Guadalajara (University of Guadalajara) (Figure 11).

Source: Prepared by the authors based on the SciELO Citation Index (2002-2020), created with VOSviewer.

Figure 11. Co-authorship network of INIFAP authors with publications on the Sustainability of Natural Resources included in the SciELO Citation Index.

Regarding co-authorship networks, a close collaboration between INIFAP researchers and researchers from other institutions and 13 organizations ―mainly national, such as Universidad Autónoma Chapingo (Chapingo Autonomous University) and Universidad Autónoma Agraria Antonio Narro (Antonio Narro Agricultural Autonomous University) ― was identified. In addition, there is some interrelation with El Colegio de la Frontera Sur (Southern Border College) and the Autonomous Universities of Nayarit, Nuevo León, Chihuahua, and Guadalajara, and the Technological Institute of Sonora, among others (Figure 11).

At this point, it is convenient to recommend the implementation of an institutional policy to promote among researchers the use of a standardized name for the institution, since both INIFAP and Instituto Nacional de Investigaciones Agrícolas y Pecuarias (Figure 12) are used, leading to a loss of records of academic production associated with the institution.

Logotipo, nombre de la empresa

Descripción generada automáticamente

Source: Prepared by the authors based on the SciELO Citation Index (2002-2020), created with VOSviewer.

Figure 12. Co-authorship network by institution with which authors affiliated to INIFAP maintain collaboration in articles on the Sustainability of Natural Resources included in the SciELO Citation Index.

Collaboration networks are a tool for learning about inter- and intra-institutional academic and work links (Huamaní and Mayta-Tristan, 2010). When consolidated, these networks facilitate access to economic resources offered by research funding agencies through the integration, for example, of consortia capable of addressing large-scale problems, e.g., at the regional or national level (Gaughan and Ponomariov, 2008; Huamaní and Mayta-Tristán, 2010). In Mexico, this type of analysis is common in social and bibliometric studies, and in resource management (Calderón y Flores, 2012; Núñez-Espinoza et al., 2014; Martínez et al., 2015; Martínez-Santiago et al., 2017; Gallardo-Salazar et al., 2020).

Documentary review of the Mexican Journal of Forest Sciences (1985 to 2009)

In the case of INIFAP's current research programs, most of the authors who published articles related to Resource Sustainability during this period belonged to the Sustainable Forest Management and to the Forest Plantations programs, with participation in 40.9 % and 31.8 % of the articles, respectively (Moreno, 1988; Parraguirre, 1993; Moreno and Moreno, 1995; García et al., 1993; Rodríguez et al., 2004; Sotelo et al., 2005; Mallén, 2008; Muñoz et al., 2009; Ortíz et al., 2008). Both programs have lines of research of which the products contribute to the sustainability of forest ecosystems (Figure 13).

Figure 13. INIFAP researchers that published on the Sustainability of Natural Resources in the Mexican Journal of Forest Sciences (Revista Mexicana de Ciencias Forestales), by research program (1985–2009).

Of the articles published in the RMCF on the Sustainability of Natural Resources, 14 affiliations of the participating authors were identified, of which 78.6 % of the articles include INIFAP researchers, while the Colegio de Postgraduados (College of Postgraduates) and the Universidad Autónoma Chapingo are at 10.7 % each (Figure 14). The rest of the institutions appeared only on one occasion.

Figure 14. Participation by affiliation center in articles related to the Sustainability of Natural Resources published in Revista Mexicana de Ciencias Forestales during the 1985-2009 period.

The focus of most of the papers was the sustainability of timber resources (78.6 % of the registered articles and 68.8 % in frequency of occurrence); see for example, Juárez and Ramírez (1985), Moreno (1988), and García et al. (1993). Furthermore, the interest in publishing articles on non-timber resources and soil began during this period.

Finally, the production of INIFAP researchers of what is known as “gray literature” is substantial (Martínez-Méndez and López-Carreño 2011) ―i.e., documents such as brochures, manuals, and special publications―, (https://vun.inifap.gob.mx/BibliotecaWeb/_Content). However, such production is outside the scope of the review described here.

Forest research on the sustainability of natural resources at INIFAP and its perspectives

In the process of INIFAP's consolidation, its research programs have been subject to continuous improvement in response to the demands of its users, and to the environmental problems that directly or indirectly affect the country's natural resources, which in turn have influenced national research policies, as well as research funding strategies.

In particular, in the last 10 years, issues related to ecosystem services, climate change and multipurpose forest management have gained relevance; the last, due to their impact and to their coexistence with the use and conservation of biodiversity (Monárrez-González et al., 2018; Zamora et al., 2018; Chávez-León, 2019). INIFAP has also responded to the demand for scientifically based information required to understand how climate change affects forests, understood as forest areas, from the perspective of the development of forest stands, forest fires, and permanence of water bodies, water capture and storage in forested areas, etc., as well as the impact of climate change on forested lands.

Within the hydrological-forest context and the Payment for Environmental Services scheme, an interdisciplinary approach plays an important role in the integrated watershed management, where the experiences of leading researchers in water research at INIFAP is of great value (Sánchez-Cohen et al., 2008; López-Báez, 2014). However, the creation of collaboration networks with kindred institutions that address issues related to this resource ― Instituto Mexicano de Tecnología del Agua (Mexican Water Institute IMTA), Colegio de Postgraduados, Universidad Autónoma Chapingo, Instituto Potosino de Ciencia y Tecnología, among others― must also be considered.

Regarding the increase in the number of publications by forest researchers, in the last fifteen years INIFAP has generated a program for the recruitment and selection of professionals with the purpose of initiating the generational change of its scientific personnel. This has had a positive impact on the Institute's forest research, as it has promoted work on specific topics within the institutional programs, as well as facilitated the strengthening of work teams and increased their productivity.

In the case of Mexico, it is paramount to maintain the efforts to conserve the country's natural capital for achieving ecosystem sustainability, and, through the integration of more inter- and intra-institutional collaboration networks, to develop sustainability studies that will contribute to generate a baseline of knowledge focused on the sustainable development of ecosystems.

Within the context of sustainable development, a pending aspect at INIFAP is the creation of multisector collaborations based on the institutional strength represented by its human resources, with experience and knowledge in the forest, agricultural and livestock sectors, in addition to a group of researchers dedicated to the execution of socioeconomic studies. Such collaborations entail a great potential for the realization of visionary projects for the sustainable development of natural resources.

Finally, it is necessary to favor the visibility of the knowledge generated at INIFAP by promoting its publication in non-institutional national journals and even in journals published outside Mexico, but above all in journals included in bibliometric indexes with international impact.

Conflict of interest

Marisela Cristina Zamora-Martínez declares that she was not involved in the editorial process of this manuscript, as she is a member of the Editorial Committee of Revista Mexicana de Ciencias Forestales.

Contribution by author

Marisela Cristina Zamora-Martínez: design, structure, literature review, drafting and editing of the document; Aixchel Maya-Martínez and Nelda Guadalupe Uzcanga-Pérez: bibliographic review, analysis of the data from Revista Mexicana de Ciencias Forestales (1985-2009), drafting and editing of the document; Rosario Rogel-Salazar and Irvin Santiago-Bautista: analysis of data from Scopus and WOS, revision of the document; Guadalupe Fabiola Reygadas Prado: bibliographic compilation, drafting and revision of the document; Eulalia Edith Villavicencio-Gutiérrez: bibliographic compilation, drafting and revision of the document.

References

Acosta-Gallegos, J. A., E. Espinoza-Trujillo, B. M. Sanchez-Garcia, Y. Jiménez-Hernández, R. A. Salinas-Perez, R. Rosales-Serna, R: Zandate-Hernández and C. González-Rivas. 2012. Adaptability of the flor de junio dry bean type to different environments in Mexico. Tropical and Subtropical Agroecosystems 15(2): 427-438. https://www.scopus.com/inward/record.uri?eid=2-s2.0-84868131078&partnerID=40&md5=bf4a7c07a4969549a006a3100c7e617a (1 de marzo de 2021).

Aria, M. and C. Cuccurullo. 2017. Bibliometrix: An R-tool for comprehensive science mapping analysis. Journal of Informetrics 11(4): 959-975. Doi:10.1016/j.joi.2017.08.007.

Arnold, M., B. Powell, P. Shanley and T.C.H. Sunderland. 2011. Forests, biodiversity and food security. International Forestry Review 13(3): 259-264. Doi:10.1505/146554811798293962?journalCode=ifre.

Logotipo, nombre de la empresa

Descripción generada automáticamente

Barrios N., C., U. Castro A., G. Coria L., M. González A., R. Martínez V. y L. Taddey D. 2007. La relación global-local. Sus implicancias prácticas para el diseño de estrategias de desarrollo. Red Académica Iberoamericana Local-Global-EUMEDNET. www.eumed.net/libros/2007a/259/index.htm (15 de marzo de 2021).

Barton, J. R. and F. A. Gutiérrez-Antinopai. 2020. Towards a Visual Typology of Sustainability and Sustainable Development. Sustainability 12(19):7935. Doi: 10.3390/su12197935.

Calderón M., M. G. y J. Flores P. 2012. Redes de conocimiento en empresas de la industria electrónica en México: Una propuesta metodológica. Economía: teoría y práctica 37: 121−143. http://www.scielo. org.mx/scielo.php?script=sci_arttext&pid=S0188- 33802012000200006&lng=es&tlng=es (2 de marzo de 2021).

Cerano-Paredes, J., J. Villanueva-Díaz, J. G. Arreola-Ávilaz, I. Sánchez-Cohen, Y. R. D. Valdez-Cepeda and G. García-Herrera. 2009. Reconstructing 350 years of precipitation in southeast Chihuahua, Mexico. Madera Bosques 15(2): 27-44. Doi:10.21829/myb.2009.1521189.

Cerano-Paredes, J., J. Villanueva-Díaz, L. Vázquez-Selem, R. Cervantes-Martínez, G. Esquivel-Arriaga, V. Guerra-de la Cruz and P. Z. Fulé. 2016. Historical fire regime and its relationship with climate in a forest of Pinus hartwegii to the north of Puebla State, Mexico. Bosque 37(2): 389-399. Doi:10.4067/S0717-92002016000200017.

Chávez-León, G. 2019. Diversidad de mamíferos y aves en bosques de coníferas bajo manejo en el Eje Neovolcánico Transversal. Revista Mexicana de Ciencias Forestales 10(56):85-112. Doi:10.29298/rmcf.v10i56.499.

Chopra, K., R. Leemans, K. Pushpam and S. Henk (eds.). 2005. Ecosystems and Human Well-being: Policy Responses: findings of the Responses Working Group of the Millennium Ecosystem Assessment Volume 3. Island Press. Washington, DC, USA. pp. 2-21.

Comisión Nacional para el Conocimiento y Uso de la Biodiversidad (Conabio). 2008. Capital natural de México, vol. I: Conocimiento actual de la biodiversidad. Comisión Nacional para el Conocimiento y Uso de la Biodiversidad. México, D. F., México. 621 p. www2.biodiversidad.gob.mx/país/pdf/CapNatMex/Vol%201/100_PrefasioGuia.pdf. (2 de enero de 2021).

Cruz-Cárdenas, G., C. A. Ortiz-Solorio, E. Ojeda-Trejo, J. F. Martínez-Montoya, E. D. Sotelo-Ruiz and A. L. Licona-Vargas. 2010. Digital mapping of farmland classes in three landscapes in Mexico. Journal of Soil Science and Plant Nutrition 10(4): 414-427. Doi:10.4067/S0718-95162010000200003.

Díaz-Padilla, G., I. Sánchez-Cohen, R. Quiroz, J. Garatuza-Payán, C. Watts-Thorp, I. R. Cruz-Medina and R. A. Guajardo-Panes. 2011. Space-time variation of rainfall in Mexico: An approach for assessing impacts. Tecnología y Ciencias del Agua 2(4):51-64. https://www.imta.gob.mx/revistadigital198237645imta_comunicacion/rev-04-2011/files/. (15 de febrero de 2021).

Flores, J., E. Jurado and A. Arredondo. 2006. Effect of light on germination of seeds of Cactaceae from the Chihuahuan Desert, Mexico. Seed Science Research 16(2): 149–155. Doi: 10.1079/SSR2006242.

Gallardo-Salazar, J. L., M. Pompa-García, C. A. Aguirre-Salado, P. M. López-Serrano y A. Meléndez-Soto. 2020. Drones: tecnología con futuro promisorio en la gestión forestal. Revista Mexicana de Ciencias Forestales 11(61): 27-50. Doi:10.29298/rmcf.v11i61.794.

García C., X., B. Rodríguez S. y C. Parraguirre L. 1993. Notas importantes sobre el chicozapote (Manilkara zapota L. Van Royen). Ciencia Forestal en México 18(74):46-63. https://cienciasforestales.inifap.gob.mx/editorial/index.php/forestales/article/view/1048 (5 de enero de 2021).

García-Valenzuela, X., E. Garcá-Moya, Q. Rascón-Cruz, L. Herrera-Estrella and G. A. Aguado-Santacruz. 2005. Chlorophyll accumulation is enhanced by osmotic stress in graminaceous chlorophyllic cells. Journal of Plant Physiology 162(6):650-61. Doi: 10.1016/j.jplph.2004.09.015.

Gaughan, M. and B. Ponomariov. 2008. Faculty publication productivity, collaboration, and grants velocity: Using curricula vitae to compare center-affiliated and unaffiliated scientists. Research Evaluation 17(2): 103−10. Doi: 10.3152/095820208X287180.

Guajardo-Panes, R. A., G. R. Granados-Ramírez, I. Sánchez-Cohen, G. Díaz-Padilla and F. Barbosa-Moreno. 2017. Spatial validation of climatological data and homogeneity tests: The case of Veracruz, Mexico. Tecnología y Ciencias del Agua 8(5): 157-177. Doi:10.24850/j-tyca-2017-05-11.

Huamaní, C. y P. Mayta-Tristán. 2010. Producción científica peruana en medicina y redes de colaboración, análisis del Science Citation Index 2000-2009. Revista Peruana de Medicina Experimental y Salud Pública 27(3): 315−325. http://www.scielo.org.pe/pdf/rins/ v27n3/a03v27n3.pdf (16 de marzo de 2021).

International Business Machines (IBM) 2015. IBM SPSS Statistics para Windows, versión 23.0. IBM Corp. Armonk, NY, USA. n/p.

Instituto Nacional de Investigaciones Forestales, Agrícolas y Pecuarias (INIFAP). 2018. Programa de desarrollo del INIFAP 2018-2030. INIFAP. Ciudad de México, México. 456 p.

Juárez G., V. y H. Ramírez M., H. 1985. Crecimiento de Gmelina arborea (L.) Roxb. en cuatro espaciamientos. Ciencia Forestal 10 (56): 33-45.

Kuhlman, T. and J. Farrington. 2010. What is sustainability? Sustainability 2(11): 3436-3448. Doi:10.3390/su2113436.

López R., C. D., E. S. López H. y P. I. Ancona. 2015. Desarrollo sustentable o sostenible: una definición conceptual. Horizonte Sanitario (4)2: 1-7. http://www.redalyc.org/pdf/4578/457845044002.pdf (12 de febrero de 2021).

López-Báez, W. 2014. Análisis del manejo de cuencas como herramienta para el aprovechamiento sustentable de recursos naturales. Revista Chapingo Serie Zonas Áridas 13(2): 39-45. https://www.redalyc.org/articulo.oa?id=455545055001 (16 de marzo de 2021).

López-Santos, A., G. González-Cervantes, M. Cadena-Zapata and J. L. González-Barrios. 2012. Effect of primary tillage on the physical quality of soil, as evaluated by disk permeameter. Tecnología y Ciencias del Agua 3(4): 127-141. https://www.scopus.com/inward/record.uri?eid=2-s2.0-84880422022&partnerID=40&md5=72b84c93566190e7e563194d7a916a00         (6 de febrero de 2021).

LópezLópez, R., J. A. Jiménez-Chong, l. Hernández-Aragón and M. A. Inzunza Ibarra. 2018. Water productivity of rice genotypes with irrigation and drainage. Irrigation and Dainage 67: 508–515. Doi: 10.1002/ird.2250.

Mallén R., C. 2008. Indicadores ambientales: la evaluación de los recursos naturales. Ciencia Forestal en México 33(104):155-190. https://cienciasforestales.gob.mx/editorial/index.php/forestales/article/view/731 (12 de febrero de 2021).

Martínez-Hernández, R., M. Villa-Castorena, E. A. Catalán-Valencia and M. A. Inzunza-Ibarra 2017. Production of oregano (Lippia graveolens Kunth) seedling from seeds in nursery for transplanting. Revista Chapingo, Serie Ciencias Forestales y del Ambiente 23(1):61-73. Doi:10.5154/r.rchscfa.2015.11.051.

Martínez-Méndez, F. J. y R. López-Carreño. 2011. El sinsentido de hablar de literatura gris en la época 2.0. El Profesional de la Información 20(6): 621–626. Doi:10.3145/epi.2011.nov.03.

Martínez-Santiago, S., A. Alvarado-Segura, F. J. Zamudio-Sánchez and D. Cristóbal-Acevedo. 2017. Spatio-temporal analysis of forest modeling in Mexico. Revista Chapingo Serie Ciencias Forestales y del Ambiente 23: 5-22. Doi:10.5154/r.rchscfa.2016.01.003.

Martínez, N., L. Brenner e I. Espejel. 2015. Red de participación institucional en las áreas naturales protegidas de la península de Baja California. Región y sociedad 27(62): 27−62. http://www.scielo.org.mx/scielo.php?script=sci_ arttext&pid=S1870-39252015000100002&lng=es&tln g=es (5 de febrero de 2021).

Monárrez-González, J. C., G. Pérez-Verdín, C. López-González, M. A. Márquez-Linares y M. S. González-Elizondo. 2018. Efecto del manejo forestal sobre algunos servicios ecosistémicos en los bosques templados de México. Madera y Bosques 24(2):e2421569. Doi:10.21829/myb.2018.2421569.

Moreno S., R. 1988. Modelo de programación por objetivos para la plantación de un sistema de abastecimiento forestal. Ciencia Forestal 13(63):175-190. https://cienciasforestales.inifap.gob.mx/ (5 de enero de 2021).

Moreno S., R. y F. Moreno S. 1995. Los sistemas de información geográfica en la administración de recursos naturales: recomendaciones de las experiencias del INIFAP. Ciencia Forestal en México 20(78):93-109. http://cienciasforestales.inifap.gob.mx/editorial/index.php/forestales/article/view/1011  (7 de enero de 2021).

Muñoz F., H. J., V. M. Coria Á., J. J. García S. y M. Balam C. 2009. Evaluación de una plantación de tres especies tropicales de rápido crecimiento en Nuevo Urecho, Michoacán. Ciencia Forestal en México 34(106):61-87. https://cienciasforestales.inifap.gob.mx/editorial/index.php/forestales/article/view/684/1691 (8 de enero de 2021).

Muñoz-Villers, L. E., F. Holwerda, M. Gómez-Cárdenas, M. Equihua, H. Asbjornsen, L. A. Bruijnzeel, B. E. Marín-Castro and C. Tobón. 2012. Water balances of old-growth and regenerating montane cloud forests in central Veracruz, Mexico. Journal of Hydrology 462–463: 53–66. Doi: 10.1016/j.jhydrol.2011.01.062.

Núñez-Espinoza, J. F., O. L. Figueroa R. y L. Jiménez-Sánchez. 2014. Elementos para analizar redes sociales para el desarrollo rural en México: El caso RENDRUS. Agricultura, sociedad y desarrollo 11(1): 1−24. http://www.scielo.org.mx/scielo.php?script=sci_ arttext&pid=S1870-54722014000100001&lng=es&tln g=es (8 de febrero de 2021).

Organización de las Naciones Unidas (ONU). 1987. Nuestro futuro común. Informe Brundtland. Comisión Mundial sobre el Medio Ambiente y el Desarrollo. Organización de las Naciones Unidas. http://www.un.org/es/comun/docs/?symbol=A/42/427      (5 de febrero de 2021).

Organización de las Naciones Unidas para la Alimentación y la Agricultura (FAO). 1992. Conferencia de las Naciones Unidas sobre el Medio Ambiente y el Desarrollo (CNUMAD). Principios Forestales, capítulo 11 de la Agenda 21 https://www.un.org/esa/dsd/agenda21_spanish/res_riodecl.shtml (8 febrero de 2021).

Ortíz T., C., F. Camacho M., E. Flores A. y P. de la Garza L. L. 2008. Potencial productivo en el Distrito Federal para árboles de Navidad y arbustos de uso múltiple. Ciencias Forestal en México 33(103):103-28. https://cienciasforestales.gob.mx/editorial/index.php/forestales/article/view/743.   (5 de febrero de 2021).

Parraguirre L., C. 1993. Métodos de enriquecimiento de las selvas de Quintana Roo. Ciencia Forestal en México. 18(74): 65-79. https://cienciasforestales.inifap.gob.mx/editorial/index.php/forestales/article/view/1049 (5 de febrero de 2021).

Rivera-Hernández, J. E., G. Alcántara-Salinas, N. V. Blanco-Orozco, E. Pascal H. y J. A. Pérez-Sato. 2017. ¿Desarrollo sostenible o sustentable? La controversia de un concepto. Revista Posgrado y Sociedad 15(1): 57-67. Doi:10.22458/rpys.v15i1.1825.

Rodríguez F., F. J., J. Á. Prieto R. y J. J. Návar C. 2004. Producción de biomasa en plantaciones forestales del norte de México. Ciencia Forestal en México 29(96): 67-90. https://cienciasforestales.gob.mx/editorial/index.php/forestales/article/view/870    (8 de febrero de 2021).

SalasZapata, W., L. RiosOsorio and J. CardonaArias. 2017. Methodological characteristics of sustainability science: A systematic review. Environment, Development and Sustainability 19(4): 1127–1140. Doi:10.1007/s106680169801z.

Salinas-García, J. R., J. D. J. Velázquez-García, M. Gallardo-Valdez, P. Díaz-Mederos, F. Caballero-Hernández, L. M. Tapia-Vargas and E. Rosales-Robles. 2002. Tillage effects on microbial biomass and nutrient distribution in soils under rain-fed corn production in central-western Mexico. Soil and Tillage Research 66(2): 143-152. Doi:10.1016/S0167-1987(02)00022-3.

Sánchez-Cohen, I., H. Macías-Rodríguez, P. Heilman, G. González-Cervantes, S. F. Mendoza-Moreno, M. A. Inzunza and J. Estrada-Ávalos. J. 2006. Multiobjective planning in the irrigation districts of Mexico. A decision support system application. Ingeniería Hidráulica en México 21(3): 101-111. https://www.revistatyca.org.mx   (8 de febrero de 2021).

Sánchez-Cohen, I., J. M. Maass M., U. O. Spring, P. Heilman, J. L. González B., G. Diaz P. and M. Velásquez V. 2008. Integrated water management research in Mexico: Opportunity for North American collaboration. Journal of Soil and Water Conservation 63(6): 212-213 Doi: 10.2489/jswc.63.6.212A.

Sánchez-Cohen, I., F. Barbosa-Moreno, M. A. Macias-Corral, G. Díaz-Padilla and R. A. Guajardo-Panes 2020. A multidisciplinary perspective to protect the quality of water in natural wetlands. A case study in Oaxaca, Mexico. Journal of Water Sanitation and Hygiene for Development 10(2): 366-373. Doi: 10.2166/washdev.2020.014.

Sifuentes-Ibarra, E., W. Ojeda-Bustamante, R. E. Ontiveros-Capurata and I. Sánchez-Cohen. 2020. Improving the monitoring of corn phenology in large agricultural areas using remote sensing data series. Spanish Journal of Agricultural Research 18 (3): e1204, 13 pages. Doi:10.5424/sjar/2020183-16269.

Sotelo R., E. D., C. Ortiz T. y M. I. Rizo A. 2005. Áreas potenciales para el cultivo de pitahaya (Hylocereus undatus (Haw.) Britt. & Rose) en el sur del Estado de México. Ciencia Forestal en México 30(98):87-97. https://cienciasforestales.inifap.gob.mx/editorial/index.php/forestales/article/view/850      (8 de febrero de 2021).

Van Eck, N. J. and L. Waltman. 2007. VOS: A New Method for Visualizing Similarities Between Objects. In: Decker, R. and H.-J. Lenz (Eds.). Advances in Data Analysis. Springer. Freie Universität. Berlin, Germany. pp. 299-306. Doi:10.1007/978-3-540-70981-7_34.

Villanueva-Díaz, J. D., W. Stahle, B. H. Luckman, J. Cerano-Paredes, M. D. Therrell, M. K. Cleaveland and E. Cornejo-Oviedo. 2007. Winter-spring precipitation reconstructions from tree rings for northeast Mexico. Climatic Change 83(1): 117-131.                  Doi: 10.1007/s10584-006-9144-0.

Villanueva-Díaz, J., E. A. Rubio-Camacho, Á. A. Chávez-Durán, J. L. Zavala-Aguirre, J. Cerano-Paredes y A. R. Martínez-Sifuentes. 2018. Respuesta climática de Pinus oocarpa Schiede ex Schltdl. en el Bosque La Primavera, Jalisco. Madera y Bosques 24(1): e2411464. Doi:10.21829/myb.2018.2411464.

Villanueva-Díaz, J., D. W. Stahle, M. D. Therrell, L. Beramendi-Orosco, J. Estrada-Ávalos, A. R. Martínez-Sifuentes, C. C. Astudillo-Sánchez, R. Cervantes-Martínez and J. Cerano-Paredes. 2020. The climatic response of baldcypress (Taxodium mucronatum Ten.) in San Luis Potosi, Mexico. Trees - Structure and Function 34(2): 623-635. Doi: 10.1007/s00468-019-01944-0.

Viso, A. M. 2005. Sustainability and governance. Arbor 181(715): 317–331. Doi:10.3989/arbor.2005.i715.415.

Waas, T., L. Hugé, A. Verbruggen and T. Wright. 2011. Sustainable Development: A Bird’s Eye View. Sustainability 3(10): 1637–1661. Doi:10.3390/su3101637.

Zamora M., B. P., M. C. Zamora-Martínez, M. C. C. Nieto P. P y F. T. A. García C. 2018. Condiciones edáficas, abundancia y riqueza de hongos ectomicorrízicos comestibles. Revista Mexicana de Ciencias Forestales 9(48):226-251. Doi: 10.29298/rmcf.v8i48.152.

Zarta Á., P. 2018. La sustentabilidad o sostenibilidad: un concepto poderoso para la humanidad. Tabula Rasa (28): 409-423. Doi:10.25058/20112742.n28.18.

        

All the texts published by Revista Mexicana de Ciencias Forestales with no exception– are distributed under a Creative Commons License Attribution-NonCommercial 4.0 International (CC BY-NC 4.0), which allows third parties to use the publication as long as the work’s authorship and its first publication in this journal are mentioned.