Revista Mexicana de Ciencias Forestales Vol. 12 (68)

Noviembre - Diciembre (2021)

Logotipo, nombre de la empresa

Descripción generada automáticamente

DOI: 10.29298/rmcf.v12i68.1104

Research note 

Evaluación cuantitativa de la germinación de Quercus variabilis Blume en tres tamaños de semilla

Quantitative assessment of Quercus variabilis Blume germination in three seed sizes

Andrés Flores*1

Jorge Méndez González2*

Fecha de recepción/Reception date: 15 de marzo de 2021

Fecha de aceptación/Acceptance date: 8 de octubre de 2021.

_______________________________

1Instituto Nacional de Investigaciones Forestales, Agrícolas y Pecuarias. Centro Nacional de Investigación Disciplinaria en Conservación y Mejoramiento de Ecosistemas Forestales. México.

2Universidad Autónoma Agraria Antonio Narro. Departamento Forestal. México.

*Autor para correspondencia; correo-e: flores.andres@inifap.gob.mx

Resumen

Quercus variabilis es un taxón de amplia distribución en el este de Asia y sus bosques tienen un rol importante en la conservación y mejoramiento del agua y el suelo; no obstante, los problemas ecológicos (pérdida de diversidad, reducción de áreas naturales), el cambio climático, y la erosión del suelo han propiciado la destrucción de sus poblaciones. Conocer el proceso de germinación de las especies contribuye a incrementar la supervivencia de las plántulas en los proyectos de reforestación. Para determinar seis parámetros germinativos de Q. variabilis se trabajó con información de tres tamaños de semillas (pequeña: 2.88 ± 0.09 g, mediana: 4.18 ±0.10 g y grande: 5.52 ±0.27 g), recolectada de 20 individuos en Jiaozuo, provincia de Henan, China, en 2013. El análisis determinó que las semillas grandes y medianas presentaron alto porcentaje de germinación final (GF= 96 y 93 %, respectivamente) pero sin diferencia significativa (ρ=0.9983), menor tiempo promedio de germinación (TPG= 20 días) y mayor índice de tasa de germinación (ITG= 5.4 y 5.1 % día-1, respectivamente) que las semillas pequeñas (GF=39 %, TPG=24 días, ITG = 1.8 % día-1); asimismo, las semillas grandes y medianas tuvieron valores altos de tasa media de germinación (TMG= 0.05 dia-1) y coeficiente de velocidad de germinación (CVG= 5.0 y 4.9 %) que las pequeñas (TMG=0.04 día-1 y CVG=4.2 %). Los resultados obtenidos sugieren que los parámetros germinativos varían con el tamaño de la semilla, lo que es necesario considerar durante la producción de planta en vivero.

Palabras clave: Encino, germinación, germoplasma, parámetro germinativo, peso fresco de semilla, producción de plántula.

Abstract

Quercus variabilis is a species with a wide distribution in East Asia and its forests play an important role in the conservation and improvement of water and soil. However, ecological problems (loss of diversity and reduction of natural areas), and climate change and soil erosion, have damaged their populations. Knowing the germination process of the species help to increase the survival of the seedlings in reforestation projects. To determine six germination parameters of Q. variabilis, information from three seed sizes was used (small: 2.88 ± 0.09 g, medium: 4.18 ± 0.10 g and large: 5.52 ± 0.27 g), collected from 20 trees in Jiaozuo, Henan province, China, in 2013. The analysis determined that the large and medium seeds presented a high percentage of final germination (FG=96 and 93 %, respectively) but without significant deference (ρ=0.9983), shorter average germination time (AGT=20 days) and higher index of germination rate (GRI=5.4 and 5.1 % day-1, respectively) than small seeds (FG = 39 %, AGT = 24 days, GRI = 1.8 % day-1). Likewise, large and medium seeds had higher values of mean germination rate (MGR=0.05 day-1) and germination speed coefficient (GSC=5.0 and 4.9 %) than small seeds (MGR=0.04 day-1 and GSC=4.2 %). Results suggested that the germination parameters vary with the size of the seed, a fact that must be taken into account during the seedling production at the nursery.

Key words: Oak, germination, germplasm, germination parameter, seed fresh weight, seedling production.

The Quercus genus is made up of around 400 species (Aldrich and Cavender-Bares, 2011), which constitute the majority of the Fagaceae family (Johnson et al., 2019). In several parts of the world, the dominance of Quercus has been reduced in forests, from anthropogenic activities and due to the current environmental change (Rubio-Licona et al., 2011); That is why, in recent years, much attention has focused on investigating its conservation and sustainable management (Annighöfer et al., 2015).

Quercus variabilis Blume is one of the species with the widest distribution in East Asia (24º to 42º N and 96º to 140º W); It is found in mainland China, in the Zhoushan archipelago, in the island of Taiwan, in the Japanese archipelago, and in the Korean peninsula (Chen et al., 2012). The forests they form play an important role in the conservation and improvement of water and soil (Shi et al., 2017). However, climate change, soil erosion and ecological problems (loss of diversity, reduction of natural areas) have led to the destruction of its natural populations (Lei et al., 2013).

In each country, strategies for recovering forested areas must be addressed to reduce the impacts of land use change. Thus, China registered a reforestation of 84 696 000 ha in 2020, which has allowed it to increase the forest area by 0.93 % from 2010 to 2020 (FAO, 2020). In this regard, restoration programs demand ecological knowledge of the species to increase their survival, particularly about the germination process of seeds —such as, for example, the rate, homogeneity and synchronization of germination— and in this way, increase the establishment success and seedling survival in situ (Rodríguez, 2021).

Therefore, the present work was carried out with Q. variabilis, a species of great economic and ecological importance in East Asia (Shi et al., 2017) with the aim to assess the germination parameters in three sizes of seeds. Thus, the following question was posed: Do the germination parameters vary with the sizes of the seeds?

To perform the analysis, previous data on the emergence of Q. variabilis seedlings (Table 1) (Shi et al., 2019) were used.

Table 1. Information on the characteristics of Quercus variabilis Blume seeds (Shi et al., 2019).

Data

Seed size

Small

Medium

Large

Weight (g)

2.88 ± 0.09

4.18 ± 0.10

5.52 ± 0.27

Germination time after sowing (days)

60

60

60

Total number of emerged seedlings

155

373

383

Emergence rate (%)

38.75

93.25

95.75

According to Shi et al. (2019), the germplasm came from a population of Q. variabilis located in Jiaozuo, Henan province, China (113°22′ E, 35°26′ N; altitude 1 022 to 1 225 m), which was germinated in a greenhouse for 60 days under controlled conditions (28.5 °C daytime temperature and 16.5 °C nighttime temperature; 84.7 % relative humidity, luminosity of 820 μmol m-2 s-1). A 3:1 mixture of peat moss and perlite was handled, and each seed size was defined in 20 trays.

Based on the data obtained by Shi et al. (2019), six germination parameters were calculated in this work in three seed sizes using the formulas described in Table 2. From the structure in which the data were recorded by the authors, it was only possible to analyze the final germination () by means of a statistical analysis —through a logistic regression model with the LOGISTIC procedure of the SAS® 9.0 program (2002) —, while for the rest of the germinative parameters only their general values were estimated and their general values are presented (partial results), a consideration convenient to have in the exposed results.


Table 2. Estimated germination parameters in three seed sized of Quercus variabilis Blume.

Parameter

Formula

Variables

Reference

Final germination (%)

nf = Number of germinated seeds at the end of the essay

n = Number of seeds at the beginning of the essay

Al-Ansari and Ksiksi, 2016

Average germination time (day)

ni = Number of germinated seeds in day i

ti = Number of days after sowing

Côme, 1970

Mean germination rate (day-1)

TPG = Average germination time

Al-Ansari and Ksiksi, 2016

Germination speed coefficient (%)

ni = Number of germinated seeds in day i

ti = Number of days after sowing

Al-Ansari and Ksiksi, 2016

Germination rate  index (% day-1)

gi = Germination percentage in day i

ti = Number of days after sowing

Al-Ansari and Ksiksi, 2016

Timson’s germination index (% day-1)

gi = Germination percentage in day i

T = Total germination time

Khan and Ungar, 1998

Logotipo, nombre de la empresa

Descripción generada automáticamente


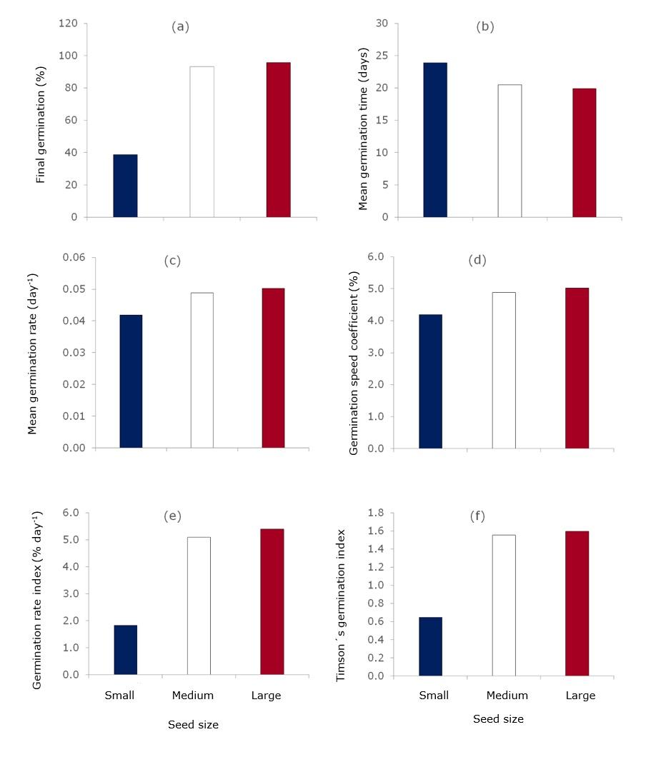
In general, a clear difference in seed size was observed (Figure 1) when comparing the estimated values of the germination parameters (Table 2). In particular, higher values were seen in large (5.52 ± 0.27 g) and medium (4.18 ± 0.10 g) seeds.

Gráfico, Gráfico de barras, Gráfico en cascada

Descripción generada automáticamente

In the columns, there are no letters that indicate differences between them because statistical analyzes were not performed.

Figure 1. Comparison between three seed sizes of Quercus variabilis Blume with six germination parameters.

The large and medium seeds registered higher percentages of final germination (FG) (96 and 93 %, respectively) but did not have significant differences (ρ = 0.9983) with the smaller seeds; also showed lower average germination time (AGT) (mean = 20 days) and high Timson’s germination index (TGI) (5.4 and 5.1 % day-1, respectively) and germination rate index (GRI) (1.6 % day-1) compared to small seeds (FG = 39 %, AGT = 24 days, 1.8 % day-1 and TGI = 0.6 % day-1) (Figures 1a, 1b, 1e and 1f). Likewise, the large and medium seeds had higher mean germination rate (MGR) values (0.05 day-1) and germination speed coefficient (GSC) (5.0 and 4.9 %) than the small ones (MGR = 0.04 day-1 and GSC = 4.2 %) (Figures 1c and 1d).

The analysis showed that the larger the size there is a high percentage of GF and a lower TPG, which could be related to the amount of nutritional reserves accumulated in the seeds, as in the case of Q. glauca Thunb. (Negi and Rawal, 2018). However, this size condition is not exclusive to the genus since in other species it has been recorded that smaller seeds have shown higher germination percentages. This is the case of Q. ilex L. that reached 81 % germination in seeds of 1.50 to 4.84 g for one of four populations analyzed, with a significantly lower mean, but with a higher germination percentage than the rest of the populations (Caliskan, 2014). Therefore, it cannot be guaranteed that the larger seeds in the Quercus genus will have a higher germination percentage.

Possibly the germination of Q. variabilis was not similar between seed sizes due to nutrient reserves. According to Shi et al. (2019), the large seeds of this species had significant differences (ρ <0.05) from the greater amount of N, P and K (29.1 ± 1.2 mg acorn-1, 5.38 ± 0.25 mg acorn-1 and 30.7 ± mg acorn-1, respectively) than medium and small seeds, which could be associated with increasing the final germination percentage (Hara and Toriyama, 1998).

Management strategies might be proposed such as, for example, quality plant production based on the size of the seed, establishment of plantations or reforestation in sites according to the plant produced and conservation of the studied species based on the analysis of the data analyzed in this research.

Prior to the production of the plant in the nursery and based on the availability of germplasm, it is suggested to select the larger seeds in order to have better germination parameters of Q. variabilis. However, a subsequent analysis is necessary to determine the influence that other factors (genetic, environmental, phenotype) have on the germination of the species.

Acknowledgements

The authors thank the reviewers of the manuscript for the commentaries made for its improvement.

Conflict of interest

The authors declare no conflict of interest.

Logotipo, nombre de la empresa

Descripción generada automáticamente

Contribution by author

Andrés Flores: conception of the original idea, formulation of methodology, analysis of the information and writing of the first manuscript; Jorge Méndez González: critical review and contribution of substantial comments to the manuscript. All authors have read and agree to publish the document.

References

Al-Ansari, F. and T. Ksiksi. 2016. A quantitative assessment of germination parameters: the case of Crotalaria persica and Tephrosia apollinea. The Open Ecology Journal 9(1): 13–21. Doi: 10.2174/1874213001609010013.

Aldrich, P. R. and J. Cavender-Bares. 2011. Quercus. In: Kole, C. (ed.). Wild crop relatives: Genomic and breeding resources oilseeds. Springer Berlin Heidelberg. Berlin, Heidelberg, Gemany. pp. 89-129.

Annighöfer, P., P. Beckschäfer, T. Vor and C. Ammer. 2015. Regeneration patterns of European oak species (Quercus petraea (Matt.) Liebl., Quercus robur L.) in dependence of environment and neighborhood. PLoS ONE 10(8): 1–16. Doi:10.1371/journal.pone.0134935.

Caliskan, S. 2014. Germination and seedling growth of holm oak (Quercus ilex L.): effects of provenance, temperature, and radicle pruning. iForest - Biogeosciences and Forestry 7(2): 103–109. Doi: 10.3832/ifor0967-007.

Chen, D., X. Zhang, H. Kang, X. Sun, S. Yin, H. Du, N. Yamanaka, W. Gapare, H. X. Wu and C. Liu. 2012. Phylogeography of Quercus variabilis based on chloroplast DNA sequence in east Asia: multiple glacial refugia and mainland-migrated island populations. PLoS ONE 7(10): e47268. Doi: 10.1371/journal.pone.0047268.

Côme, D. 1970. Les obstacles à la germination. Monographies de Physiologie Vegetale (6): 162. https://www.cabdirect.org/cabdirect/abstract/19729701389 (13 de marzo de 2021).

Food and Agriculture Organization of the United Nations (FAO). 2020. Global Forest Resources Assessment 2020: Main report. FAO. Rome, Italy. 164 p.

Hara, Y. and K. Toriyama. 1998. Seed nitrogen accelerates the rates of germination, emergence, and establishment of rice plants. Soil Science and Plant Nutrition 44(3): 359–366. Doi:10.1080/00380768.1998.10414457.

Johnson, P. S., S. R. Shifley, R. Rogers, D. C. Dey and J. M. Kabrick. 2019. The ecology and silviculture of oaks. CABI. Oxfordshire, United Kingdom. 612 p.

Khan, M. A. and I. A. Ungar. 1998. Germination of the salt tolerant shrub Suaeda fruticosa from Pakistan: Salinity and temperature responses. Seed Science and Technology 26(3): 657–667. https://www.researchgate.net/publication/236628210_Germination_of_salt_tolerant_shrub_Suaeda_fruticosa_from_Pakistan_Salinity_and_temperature_responses (12 de marzo de 2021).

Lei, J. P., W. F. Xiao and J. F. Liu. 2013. Distribution of Quercus variabilis Blume and its ecological research in China. World Forestry Research 26(4): 57–62. https://www.cabdirect.org/cabdirect/abstract/20143324503 (12 de marzo de 2021).

Negi, M. and R. Rawal. 2018. Effects of pre-sowing treatments on seed germination of oaks in Kumaun, West Himalaya. Notulae Scientia Biologicae, 10(2): 282–286. doi:10.25835/nsb10210240 

Rodríguez T., D. A. 2021. Semillas de especies forestales. División de Ciencias Forestales, Universidad Autónoma Chapingo. Chapingo, Edo. de Méx., México. 505 p.

Rubio-Licona, L., S. Romero-Rangel, E. C. Rojas-Zenteno, Á. Durán-Díaz y J. Gutiérrez-Guzmán. 2011. Variación del tamaño de frutos y semillas en siete especies de encino (Quercus, Fagaceae). Polibotánica (32): 135–151. http://www.scielo.org.mx/pdf/polib/n32/n32a8.pdf (15 de marzo de 2021).

Statistical Analysis System.SAS. 2002. The SAS 9.0 for Windows. SAS Institute Inc. Cary, NC, USA. s/p.

Shi, W., P. Villar-Salvador, G. Li and X. Jiang. 2019. Acorn size is more important than nursery fertilization for outplanting performance of Quercus variabilis container seedlings. Annals of Forest Science 76(1): 22. Doi:10.1007/s13595-018-0785-8.

Shi, X., Q. Wen, M. Cao, X. Guo and L. A. Xu, L. A. 2017. Genetic diversity and structure of natural Quercus variabilis population in China as revealed by microsatellites markers. Forests 8(12): 1–16. Doi:10.3390/f8120495.

        

Todos los textos publicados por la Revista Mexicana de Ciencias Forestales sin excepción– se distribuyen amparados bajo la licencia Creative Commons 4.0 Atribución-No Comercial (CC BY-NC 4.0 Internacional), que permite a terceros utilizar lo publicado siempre que mencionen la autoría del trabajo y a la primera publicación en esta revista.