Revista Mexicana de Ciencias Forestales Vol. 12 (68)

Noviembre - Diciembre (2021)

Logotipo, nombre de la empresa

Descripción generada automáticamente

DOI: 10.29298/rmcf.v12i68.1104

Nota de Investigación 

Evaluación cuantitativa de la germinación de Quercus variabilis Blume en tres tamaños de semilla

Quantitative assessment of Quercus variabilis Blume germination in three seed sizes

Andrés Flores*1

Jorge Méndez González2*

Fecha de recepción/Reception date: 15 de marzo de 2021

Fecha de aceptación/Acceptance date: 8 de octubre de 2021.

_______________________________

1Instituto Nacional de Investigaciones Forestales, Agrícolas y Pecuarias. Centro Nacional de Investigación Disciplinaria en Conservación y Mejoramiento de Ecosistemas Forestales. México.

2Universidad Autónoma Agraria Antonio Narro. Departamento Forestal. México.

*Autor para correspondencia; correo-e: flores.andres@inifap.gob.mx

Abstract

Quercus variabilis is a species with a wide distribution in East Asia and its forests play an important role in the conservation and improvement of water and soil. However, ecological problems (loss of diversity and reduction of natural areas), and climate change and soil erosion, have damaged their populations. Knowing the germination process of the species help to increase the survival of the seedlings in reforestation projects. To determine six germination parameters of Q. variabilis, information from three seed sizes was used (small: 2.88 ± 0.09 g, medium: 4.18 ± 0.10 g and large: 5.52 ± 0.27 g), collected from 20 trees in Jiaozuo, Henan province, China, in 2013. The analysis determined that the large and medium seeds presented a high percentage of final germination (FG=96 and 93 %, respectively) but without significant deference (ρ=0.9983), shorter average germination time (AGT=20 days) and higher index of germination rate (GRI=5.4 and 5.1 % day-1, respectively) than small seeds (FG = 39 %, AGT = 24 days, GRI = 1.8 % day-1). Likewise, large and medium seeds had higher values of mean germination rate (MGR=0.05 day-1) and germination speed coefficient (GSC=5.0 and 4.9 %) than small seeds (MGR=0.04 day-1 and GSC=4.2 %). Results suggested that the germination parameters vary with the size of the seed, a fact that must be taken into account during the seedling production at the nursery.

Key words: Oak, germination, germplasm, germination parameter, seed fresh weight, seedling production.

Resumen

Quercus variabilis es un taxón de amplia distribución en el este de Asia y sus bosques tienen un rol importante en la conservación y mejoramiento del agua y el suelo; no obstante, los problemas ecológicos (pérdida de diversidad, reducción de áreas naturales), el cambio climático, y la erosión del suelo han propiciado la destrucción de sus poblaciones. Conocer el proceso de germinación de las especies contribuye a incrementar la supervivencia de las plántulas en los proyectos de reforestación. Para determinar seis parámetros germinativos de Q. variabilis se trabajó con información de tres tamaños de semillas (pequeña: 2.88 ± 0.09 g, mediana: 4.18 ±0.10 g y grande: 5.52 ±0.27 g), recolectada de 20 individuos en Jiaozuo, provincia de Henan, China, en 2013. El análisis determinó que las semillas grandes y medianas presentaron alto porcentaje de germinación final (GF= 96 y 93 %, respectivamente) pero sin diferencia significativa (ρ=0.9983), menor tiempo promedio de germinación (TPG= 20 días) y mayor índice de tasa de germinación (ITG= 5.4 y 5.1 % día-1, respectivamente) que las semillas pequeñas (GF=39 %, TPG=24 días, ITG = 1.8 % día-1); asimismo, las semillas grandes y medianas tuvieron valores altos de tasa media de germinación (TMG= 0.05 dia-1) y coeficiente de velocidad de germinación (CVG= 5.0 y 4.9 %) que las pequeñas (TMG=0.04 día-1 y CVG=4.2 %). Los resultados obtenidos sugieren que los parámetros germinativos varían con el tamaño de la semilla, lo que es necesario considerar durante la producción de planta en vivero.

Palabras clave: Encino, germinación, germoplasma, parámetro germinativo, peso fresco de semilla, producción de plántula.

El género Quercus está conformado por alrededor de 400 especies (Aldrich y Cavender-Bares, 2011), las cuales constituyen la mayor parte de la familia Fagaceae (Johnson et al., 2019). En varias partes del mundo, el dominio de Quercus se ha reducido en los bosques, debido a las actividades antropogénicas y por el cambio ambiental actual (Rubio-Licona et al., 2011); por ello, es que en los últimos años, se ha centrado mucha atención en investigar su conservación y gestión sostenible (Annighöfer et al., 2015).

Quercus variabilis Blume es uno de los taxones con mayor distribución en el este de Asia (24º a 42º N y 96º a 140º O); se distribuye en China continental, en el archipiélago de Zhoushan, en la isla de Taiwán, en el archipiélago japonés y en la península de Corea (Chen et al., 2012). Los bosques que forman desempeñan un papel importante en la conservación y mejoramiento del agua y el suelo (Shi et al., 2017). No obstante, el cambio climático, la erosión del suelo y los problemas ecológicos (pérdida de diversidad, reducción de áreas naturales) han propiciado la destrucción de sus poblaciones naturales (Lei et al., 2013).

En cada país, las estrategias de recuperación de áreas boscosas deben ser atendidas para disminuir los impactos del cambio de uso de suelo. Así, China registró una reforestación de 84 696 000 ha en 2020, lo que le ha permitido incrementar la superficie forestal en 0.93 % de 2010 a 2020 (FAO, 2020). Al respecto, los programas de restauración requieren del conocimiento ecológico de las especies para incrementar su supervivencia, particularmente sobre el proceso de germinación de las semillas; por ejemplo, la tasa, homogeneidad y sincronización de la germinación para de esta forma incrementar el éxito del establecimiento y la supervivencia de las plántulas in situ (Rodríguez, 2021).

Por lo anterior, se realizó el presente trabajo con Q. variabilis, una especie de gran importancia económica y ecológica en el este de Asia (Shi et al., 2017) con el objetivo de evaluar los parámetros de germinación en tres tamaños de semillas. Para ello, se planteó la siguiente pregunta: ¿Los parámetros germinativos varían con los tamaños de las semillas?

En el análisis se emplearon datos previos sobre la emergencia de plántulas de Q. variabilis (Cuadro 1) (Shi et al., 2019).

Cuadro 1. Información de las características de semillas de Quercus variabilis Blume (Shi et al., 2019).

Dato consultado

Tamaño de semilla

Pequeña

Mediana

Grande

Peso (g)

2.88 ± 0.09

4.18 ± 0.10

5.52 ± 0.27

Tiempo de germinación después de la siembra (días)

60

60

60

Número total de plántulas emergidas

155

373

383

Tasa de emergencia (%)

38.75

93.25

95.75

De acuerdo con Shi et al. (2019), el germoplasma provino de una población de Q. variabilis ubicada en Jiaozuo, provincia Henan, China (113°22′ E, 35°26′ N; altitud 1 022 a 1 225 m), el cual se germinó en invernadero durante 60 días bajo condiciones controladas (28.5 °C de temperatura diurna y 16.5 °C de temperatura nocturna; 84.7 % de humedad relativa, luminosidad de 820 μmol m-2 s-1). Se utilizó una mezcla 3:1 de peat moss y perlita, y cada tamaño de semilla se colocó en 20 bandejas.

Con base en los datos obtenidos por Shi et al. (2019), para este trabajo se calcularon seis parámetros de germinación en tres tamaños de semilla mediante las fórmulas descritas en el Cuadro 2. Debido a la manera en cómo fueron registrados los datos por los autores, solo fue posible analizar la germinación final (%) mediante un análisis estadístico consistente en un modelo de regresión logística con el procedimiento LOGISTIC del programa SAS® 9.0 (2002); mientras que para el resto de los parámetros germinativos únicamente se estimaron y se presentan sus valores generales (resultados parciales), lo anterior es conveniente considerar en los resultados expuestos.


Cuadro 2. Parámetros de germinación estimados en tres tamaños de semillas de Quercus variabilis Blume.

Parámetro

Fórmula

Variables

Referencia

Germinación final (%)

nf = Número de semillas germinadas al final del ensayo

n = Número de semillas al inicio del ensayo

Al-Ansari y Ksiksi, 2016

Tiempo promedio de germinación (día)

ni = Número de semillas germinadas en el día i

ti = Número de días después de la siembra

Côme, 1970

Tasa media de germinación (día-1)

TPG = Tiempo promedio de germinación

Al-Ansari y Ksiksi, 2016

Coeficiente de velocidad de germinación (%)

ni = Número de semillas germinadas en el día i

ti = Número de días después de la siembra

Al-Ansari y Ksiksi, 2016

Índice de tasa de germinación (% día-1)

gi = Porcentaje de germinación en el día i

ti = Número de días después de la siembra

Al-Ansari y Ksiksi, 2016

Índice de germinación Timson (% día-1)

gi = Porcentaje de germinación en el día i

T = Tiempo total de germinación

Khan y Ungar, 1998

Logotipo, nombre de la empresa

Descripción generada automáticamente


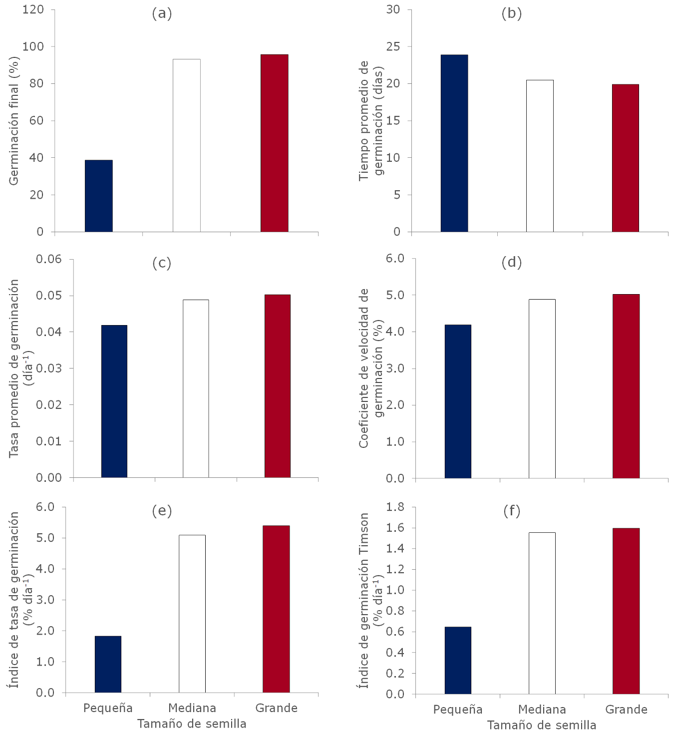
En general, se advirtió una marcada diferencia en el tamaño de semilla (Figura 1) al comparar los valores estimados de los parámetros germinativos (Cuadro 2). En particular, se apreciaron valores más altos en las semillas grandes (5.52 ± 0.27 g) y medianas (4.18 ± 0.10 g).

En las columnas no se presentan letras que señalen diferencias entre ellas debido a que no se realizaron análisis estadísticos.

Figura 1. Comparación entre tres tamaños de semilla de Quercus variabilis Blume con seis parámetros de germinación.

Las semillas grandes y medianas registraron mayores porcentajes de germinación final (GF) (96 y 93 %, respectivamente), pero no tuvieron diferencias significativas (ρ=0.9983) con las semillas de menor tamaño; también mostraron menor tiempo promedio de germinación (TPG) (media=20 días) y alto Índice de Tasa de Germinación (ITG) (5.4 y 5.1 % día-1, respectivamente) e Índice de Germinación Timson (IGT) (1.6 % día-1) comparado con las semillas pequeñas (GF=39 %, TPG=24 días, 1.8 % día-1 e IGT=0.6 % día-1) (figuras 1a, 1b, 1e y 1f). Asimismo, las semillas grandes y medianas tuvieron valores más altos de tasa media de germinación (TMG) (0.05 dia-1) y coeficiente de velocidad de germinación (CVG) (5.0 y 4.9 %) que las pequeñas (TMG=0.04 día-1 y CVG=4.2 %) (figuras 1c y 1d).

El análisis mostró que a mayor tamaño se verifica un alto porcentaje de GF y menor TPG, lo cual podría relacionarse con la cantidad de reservas nutricionales acumuladas en las semillas como en el caso de Q. glauca Thunb. (Negi y Rawal, 2018). No obstante, esta condición del tamaño no es exclusiva del género, ya que en otras especies se ha registrado que semillas de tamaño menor evidencian porcentajes superiores de germinación. Tal es el caso de Q. ilex L. que alcanzó 81 % de germinación en semillas de 1.50 a 4.84 g para una de cuatro poblaciones analizadas, con una media significativamente inferior, pero con un porcentaje de germinación mayor al resto de las poblaciones (Caliskan, 2014). Por lo anterior, no es posible asegurar que las semillas más grandes en el género Quercus tendrán porcentajes de germinación más altos.

Posiblemente, la germinación de Q. variabilis no fue similar entre los tamaños de las semillas debido a las reservas de nutrientes. De acuerdo con Shi et al. (2019), en Q. variabilis las semillas grandes presentaron diferencias significativas (ρ<0.05) por la mayor cantidad de N, P y K (29.1 ± 1.2 mg bellota-1, 5.38 ± 0.25 mg bellota-1 y 30.7 ± mg bellota-1, respectivamente) que las medianas y pequeñas, lo que podría asociarse con el incremento del porcentaje de germinación final (Hara y Toriyama, 1998).

Es factible proponer estrategias de gestión como la producción de planta de calidad con base en el tamaño de la semilla, establecimiento de plantación o reforestación en sitios acordes a la planta producida; así como para la conservación de la especie estudiada con base en el análisis de los datos analizados en esta investigación.

Previo a la producción de planta en vivero y en función de la disponibilidad de germoplasma, se sugiere seleccionar las semillas de mayor tamaño con el propósito de tener mejores parámetros germinativos de Q. variabilis. Sin embargo, es necesario hacer un análisis posterior para determinar la influencia que tienen otros factores (genéticos, ambientales, fenotipo) en la germinación de la especie.

Agradecimientos

Los autores agradecen a los revisores del manuscrito por los comentarios hechos para su mejora.

Conflicto de intereses

Los autores declaran no tener conflicto de intereses.

Logotipo, nombre de la empresa

Descripción generada automáticamente

Contribución por autor

Andrés Flores: concepción de la idea original, formulación de metodología, análisis de la información y redacción del primer manuscrito; Jorge Méndez González: revisión crítica y aportación de comentarios sustanciales al manuscrito. Todos los autores han leído y están de acuerdo en publicar el documento.

Referencias

Al-Ansari, F. and T. Ksiksi. 2016. A quantitative assessment of germination parameters: the case of Crotalaria persica and Tephrosia apollinea. The Open Ecology Journal 9(1): 13–21. Doi: 10.2174/1874213001609010013.

Aldrich, P. R. and J. Cavender-Bares. 2011. Quercus. In: Kole, C. (ed.). Wild crop relatives: Genomic and breeding resources oilseeds. Springer Berlin Heidelberg. Berlin, Heidelberg, Gemany. pp. 89-129.

Annighöfer, P., P. Beckschäfer, T. Vor and C. Ammer. 2015. Regeneration patterns of European oak species (Quercus petraea (Matt.) Liebl., Quercus robur L.) in dependence of environment and neighborhood. PLoS ONE 10(8): 1–16. Doi:10.1371/journal.pone.0134935.

Caliskan, S. 2014. Germination and seedling growth of holm oak (Quercus ilex L.): effects of provenance, temperature, and radicle pruning. iForest - Biogeosciences and Forestry 7(2): 103–109. Doi: 10.3832/ifor0967-007.

Chen, D., X. Zhang, H. Kang, X. Sun, S. Yin, H. Du, N. Yamanaka, W. Gapare, H. X. Wu and C. Liu. 2012. Phylogeography of Quercus variabilis based on chloroplast DNA sequence in east Asia: multiple glacial refugia and mainland-migrated island populations. PLoS ONE 7(10): e47268. Doi: 10.1371/journal.pone.0047268.

Côme, D. 1970. Les obstacles à la germination. Monographies de Physiologie Vegetale (6): 162. https://www.cabdirect.org/cabdirect/abstract/19729701389 (13 de marzo de 2021).

Food and Agriculture Organization of the United Nations (FAO). 2020. Global Forest Resources Assessment 2020: Main report. FAO. Rome, Italy. 164 p.

Hara, Y. and K. Toriyama. 1998. Seed nitrogen accelerates the rates of germination, emergence, and establishment of rice plants. Soil Science and Plant Nutrition 44(3): 359–366. Doi:10.1080/00380768.1998.10414457.

Johnson, P. S., S. R. Shifley, R. Rogers, D. C. Dey and J. M. Kabrick. 2019. The ecology and silviculture of oaks. CABI. Oxfordshire, United Kingdom. 612 p.

Khan, M. A. and I. A. Ungar. 1998. Germination of the salt tolerant shrub Suaeda fruticosa from Pakistan: Salinity and temperature responses. Seed Science and Technology 26(3): 657–667. https://www.researchgate.net/publication/236628210_Germination_of_salt_tolerant_shrub_Suaeda_fruticosa_from_Pakistan_Salinity_and_temperature_responses (12 de marzo de 2021).

Lei, J. P., W. F. Xiao and J. F. Liu. 2013. Distribution of Quercus variabilis Blume and its ecological research in China. World Forestry Research 26(4): 57–62. https://www.cabdirect.org/cabdirect/abstract/20143324503 (12 de marzo de 2021).

Negi, M. and R. Rawal. 2018. Effects of pre-sowing treatments on seed germination of oaks in Kumaun, West Himalaya. Notulae Scientia Biologicae, 10(2): 282–286. doi:10.25835/nsb10210240 

Rodríguez T., D. A. 2021. Semillas de especies forestales. División de Ciencias Forestales, Universidad Autónoma Chapingo. Chapingo, Edo. de Méx., México. 505 p.

Rubio-Licona, L., S. Romero-Rangel, E. C. Rojas-Zenteno, Á. Durán-Díaz y J. Gutiérrez-Guzmán. 2011. Variación del tamaño de frutos y semillas en siete especies de encino (Quercus, Fagaceae). Polibotánica (32): 135–151. http://www.scielo.org.mx/pdf/polib/n32/n32a8.pdf (15 de marzo de 2021).

Statistical Analysis System.SAS. 2002. The SAS 9.0 for Windows. SAS Institute Inc. Cary, NC, USA. s/p.

Shi, W., P. Villar-Salvador, G. Li and X. Jiang. 2019. Acorn size is more important than nursery fertilization for outplanting performance of Quercus variabilis container seedlings. Annals of Forest Science 76(1): 22. Doi:10.1007/s13595-018-0785-8.

Shi, X., Q. Wen, M. Cao, X. Guo and L. A. Xu, L. A. 2017. Genetic diversity and structure of natural Quercus variabilis population in China as revealed by microsatellites markers. Forests 8(12): 1–16. Doi:10.3390/f8120495.

        

Todos los textos publicados por la Revista Mexicana de Ciencias Forestales sin excepción– se distribuyen amparados bajo la licencia Creative Commons 4.0 Atribución-No Comercial (CC BY-NC 4.0 Internacional), que permite a terceros utilizar lo publicado siempre que mencionen la autoría del trabajo y a la primera publicación en esta revista.