Revista Mexicana de Ciencias Forestales Vol. 12 (68)

Noviembre - Diciembre (2021)

Logotipo, nombre de la empresa

Descripción generada automáticamente

DOI: 10.29298/rmcf.v12i68.1075

Article

Estimación de parámetros forestales mediante datos de Sentinel 2A en Pueblo Nuevo, Durango

Estimation of forest parameters using Sentinel 2A data in Pueblo Nuevo, state of Durango

Pablito Marcelo López Serrano1

Daniel José Vega Nieva2

Hugo Ramírez Aldaba2

Emily García Montiel2*

José Javier Corral Rivas2

Fecha de recepción/Reception date: 18 de agosto de 2021

Fecha de aceptación/Acceptance date: 1 de enero de 2021

_______________________________

1Universidad Juárez del Estado de Durango. Instituto de Silvicultura e Industria de la Madera. México.

2Universidad Juárez del Estado de Durango. Facultad de Ciencias Forestales. México.

*Autor para correspondencia; correo-e: e_garcia@ujed.mx

Resumen

Los bosques templados requieren de un monitoreo periódico con el fin de lograr un manejo sustentable. Los sensores remotos permiten hacer estimaciones de manera indirecta bajo el supuesto de que existe una correlación estadística entre datos satelitales y parámetros forestales. El objetivo del presente trabajo fue estimar el área basal (G), el volumen forestal (Vta) y la biomasa forestal aérea (W) mediante datos espectrales del satélite Sentinel 2A en la Comunidad de San Bernardino de Milpillas Chico, Pueblo Nuevo, Durango. Se realizó un análisis de correlación entre información dasométrica procedente de 22 Sitios Permanentes de Investigación Forestal y de Suelos (SPIFyS) e información espectral de alta resolución del sensor Sentinel 2A. Posteriormente, se generó un modelo de regresión múltiple para cada parámetro forestal. El coeficiente de correlación (r) más alto se observó en el NDVI con valores de 0.77, 0.68 y 0.76 para los parámetros forestales de Vta, G y W, respectivamente. Los modelos desarrollados explicaron 59 % de la varianza total observada en el Vta (RCME=57.60 m3 ha-1), 58 % en W (RCME=39.29 Mg ha-1), y 51 % en G (RCME=4.40 m2 ha-1). El NDVI fue la principal variable predictiva en los tres modelos. Los datos de Sentinel 2A con resolución de 10 m en combinación con información dasométrica derivada de SPIFyS mostraron una buena capacidad para el mapeo de parámetros forestales en bosques templados.

Palabras clave: Área basal, biomasa aérea, parcelas permanentes, sensores remotos, Sentinel, volumen forestal.

Abstract

The temperate forests demand periodic monitoring in order to reach a sustainable management. The remote sensing makes it possible to indirectly generate estimates under the assumption of a statistical correlation between satellite data and forest parameters. The aim of this work was to estimate the basimetric area (G), the forest volume (Vta) and the aboveground biomass (W), using spectral data from the Sentinel 2A satellite in the San Bernardino de Milpillas Chico Community, Pueblo Nuevo, state of Durango. A correlation analysis was performed between mensuration information from 22 permanent plots for forest and soil research (SPIFyS) and high-resolution spectral information from the Sentinel 2A sensor. Subsequently, a multiple regression model was developed for each forest stand parameter. The highest correlation coefficient (r) was observed in the NDVI with values of 0.77, 0.68 and 0.76 for the forest parameters of Vta, G and W, respectively. The developed models explained 59 % of the total variance observed for Vta (RCME = m3 ha-1), 58 % for W (RCME = 39.29 Mg ha-1) and 51% for G (RCME = 4.40 m2 ha-1). The NDVI was the main predictive variable in three models. The Sentinel 2A data with a resolution of 10 m in combination with mensuration information from SPIFyS showed a good capacity for mapping forest stand parameters in temperate forests.

Key words: Basimetric area, aboveground biomass, permanent plots, remote sensing, Sentinel, forest volume.

Introduction

The temperate forests of the state of Durango, Mexico, are the main source of wood production at the national level (SRNyMA, 2016). According to Segura and Trincado (2003), keeping the forests in use and in a sustained manner requires updated and reliable information about their natural resources. Therefore, it is necessary to carry out periodic monitoring of these ecosystems (Tomppo et al., 2010). In this sense, the study of mensuration variables for forestry research allows following the dynamics and structure of the forest ecosystem (Gadow et al., 2012; Hernández-Ramos et al., 2020). One way to do this is through permanent sites that represent an important basis for obtaining data on the effect of forestry on the growth, production and evolution of forest stands in short periods (Gadow et al., 1999). However, this activity generally leads to long waiting times and high costs for the establishment of trees and the collection of information (Emborg, 1998; Toledo et al., 2011).

The application of geospatial technologies is increasingly relevant to estimate and monitor forest parameters in short periods (Foody et al., 2003; Hall et al., 2006; Fuchs et al., 2009; Verbesselt et al., 2010; Sobrino et al., 2019). According to Herold et al. (2011) there is a particular interest in forest management in the use of remote sensors for the estimation of forest attributes, since they favor the obtaining of consistent, updated and spatially explicit data in areas of difficult access and with wide coverage. In this sense, the estimation of forest parameters from the combination of the use of remote sensors and georeferenced field sites (permanent sites) have become useful and reliable techniques for estimating variables such as forest volume, basimetric area and aboveground forest biomass (Hernández-Ramos et al., 2020; López-Serrano et al., 2020).

Through these technologies, such activity is carried out indirectly with the use of robust statistical techniques under the assumption of a high correlation between satellite data and data from the traditional inventory (Aguirre-Salado et al., 2011; Song, 2013; Wulder et al., 2014; Acosta et al., 2017; López-Serrano et al., 2020).

On the other hand, the availability and improvement of the capacities of the different types of sensors offer the opportunity to develop analysis techniques that maximize the estimates of forest parameters, with accurate information that comes from permanent forest and soil research sites, since they strengthen the input of them through remote sensors (Gibbons and Chakraborti, 2003; Barajas, 2007; Karjalainen et al., 2012; Miranda-Aragón et al., 2013; Asner and Mascaro, 2014).

Based on the above, the aim of this work consisted of estimating the basal area (G), the forest volume (Vta) and the aboveground forest biomass (W), using spectral data from the Sentinel 2A satellite in the San Bernardino Indigenous Community of Milpillas Chico, Pueblo Nuevo, Durango.

Materials and Methods

Study area

The study area is located in the Indigenous Community of San Bernardino de Milpillas Chico, located in the Pueblo Nuevo municipality, Durango, Mexico (Figure 1). The Community has an area of 156 618.33 ha, where there are warm subhumid (Cw) and warm semi-cold climates [C(E)x]; the average temperature of the coldest month is 3 °C to 18 °C and the hottest month is 6.5 °C to 22 °C, with an average annual rainfall of 1 300 mm. The types of soil in the Ejido are: Regosol, Fluvisol and Cambisol, shallow and rocky. Its altitudinal range is from 2 500 to 2 600 m (Inegi, 2017b). The type of vegetation corresponds to pine forest, where the dominant tree species are: Pinus durangensis Martínez, Pinus teocote Schltdl. & Cham., Pinus leiphylla Schltdl. & Cham. and Pinus cooperi C.E. Blanco var. cooperi (Inegi, 2017a).

Figure 1. Location of the study area.

Field data

The dasometric data were obtained from 22 Permanent Forest and Soil Research Sites (SPIFyS, for its acronym in Spanish) established during the winter of 2009 using the methodology developed by Corral-Rivas et al. (2009), and subsequently measured at 5-year intervals (2014 and 2019). The SPIFyS measure 50 × 50 m and were located by systematic sampling with an average distance of 3 to 5 km between them. To calculate the basal area (G), the forest modeling techniques described by Diéguez-Aranda et al. (2005). Volume (Vta) and biomass (W) were estimated with the species-specific equations made by Simental-Cano et al. (2017) and Vargas-Larreta et al. (2017), respectively.

Acquisition and processing of satellite images

Three satellite scenes from the Sentinel-2A sensor (Table 1) were acquired and processed from the United States Geological Survey server (USGS-https: //glovis.usgs.gov). These images have a level 1 processing (Level 1C), of which only the visible and infrared sector bands were used, with the same spatial resolution (Table 2). In order to eliminate the effects of the atmosphere, the images were processed to obtain surface reflectance values (SR-Level 2A) using the Sen2Cor tool (Casella et al., 2018) in the Sentinel 2A Application Platform Software (SNAP) (Louis et al., 2016). Subsequently, the Normalized Difference Vegetation Index (NDVI) was calculated, in order to contribute to the estimation of forest parameters.

NDVI = (NIR − R) / (NIR + R)

Where:

NIR = Spectral band in the near infrared region  

R = Band in the red region

Table 1. Characteristics of the images form the Sentinel 2A sensor used in this study.

Identificator

Aquisition date

Cloud cover (%)

Agency

T13QDF

22/11/2019

0.02

ESA

T13QEF

22/11/2019

0

ESA

T13QDG

22/11/2019

4.2

ESA

ESA = European Space Agency.

Table 2. Characteristics of the bands form the Sentinel 2A sensor used in this study.

Band

Wavelength (µm)

Resolution (m)

Abreviation

Blue

0.45 - 0.52

10

B1

Green

0.54 - 0.57

10

B2

Red

0.65 - 0.68

10

B3

Near infrared

0.78 - 0.90

10

IRC

Statistical analysis

A correlation analysis was carried out in order to find the relationship between spectral variables and forest parameters. Subsequently, multiple linear regression models were adjusted to identify the variables that best predict the forest parameters through the stepwise procedure (selection by steps), under the mixed strategy; that is, a combination of the forward and backward selection was used, through the MASS library (Ripley, 2020), in the R Core Team (2020) software.

The model used was of the form:

Where:

y = Forest parameter to be estimated

Xn = Spectral bands and vegetation index

βn = Regression coefficients

εi = Random error

G, Vta and W = Dependent variables

B1, B2, B3 bands, ICR and NDVI = Independent variables

To evaluate the fit capacity of the model, the coefficients of goodness of fit, adjusted coefficient of determination were calculated. (R2Adj) as well as the root of the mean square of the error (RCME).

                              (1)

                                              (2)

Where:

 = Observed value of the studied dependent variable

 = Predicted values of de studied dependent variable

 = Mean of the studied dependent variable

 = Number of total observations

 = Number of parameters of the model

Once the best model was assessed, it was used to generate the maps of each forest parameter, considering only the temperate forest area for the study area based on the use of soil and vegetation (INEGI, 2017a); This process was carried out using the raster library (Hijmans, 2020). Subsequently, the spatial distribution of the model error (residuals) of each parameter was generated by means of an Inverse Distance Weighted (IDW) interpolation, through the Gstat library (Pebesma, 2004). These processes were done in the R software (R Core Team, 2020). Figure 2 shows the work flow diagram of this study.

Logotipo, nombre de la empresa

Descripción generada automáticamente

Figure 2. Work flow diagram of this study.

Logotipo, nombre de la empresa

Descripción generada automáticamente

Results and Discussion

The main descriptive statistics for the dasometric variables per hectare in the study sites are summarized in Table 3. Results show that, in the Community of San Bernardino de Milpillas Chico, the basimetric area per hectare (G) is distributed in a 11.23 to 34.98 m2 ha-1 range, with an average value of 19.82 m2 ha-1. Vta and W had 97.38 to 418.62 m3 ha-1, and from 54.271 to 289.418 Mg ha-1 values, with 198.037 m3 ha-1 and 121.683 Mg ha-1 average, respectively. These results were similar to those obtained by Graciano-Ávila (2019) and López-Serrano (2020), for this type of forests in the region of the same municipality, Pueblo Nuevo, Durango, Mexico.

Table 3. Descriptive statistics of the forestry parameters estimated in the 22 SPIFyS.

Variable

Minimum

Maximum

Mean

StD

G

11.23

34.98

19.82

6.63

Vta

97.38

418.62

198.04

97.22

W

54.271

289.42

121.68

65.52

G = Basimetric area (m2 ha-1); Vta = Forest volume (m3 ha-1); W = Aboveground forest biomass (Mg ha-1); StD = Standard deviation

The correlation between G, Vta and W of each SPIFyS with the different spectral bands and NDVI are shown in Figure 3. Pearson's correlation coefficient (r) ranged from -0.26 to 0.77. The analysis revealed a negative association in the reflectances of the B1, B2 and B3 spectral bands with the forest parameters, while the IRC and the NDVI had positive trends. The highest r value was presented in the NDVI of 0.68, 0.77 and 0.76 for G, Vta and W, respectively. This behavior is similar to that published by various authors under the same objective of estimating mensuration variables with several types of sensors in different forest masses (López-Serrano et al., 2016; Acosta et al., 2017; Dos et al., 2018; Hernández-Ramos et al., 2020).

Figure 3. Pearson's correlation coefficients between spectral variables and forest parameters.

The high correlation observed in the NDVI (r => 0.60) with each of the dependent variables is due to the fact that this index has the ability to explain the variation in photosynthetically active vegetation given the combination of reflectance in the green and infrared spectrum of the electromagnetic sector (Chuvieco, 2002; Lu et al., 2004). This makes it the most widely used vegetation index as a predictor in the estimation of forest biophysical parameters in the increasing accessibility of spectral information with increasingly fine spatial resolutions (Assmann et al., 2020; Myers-Smith et al., 2020).

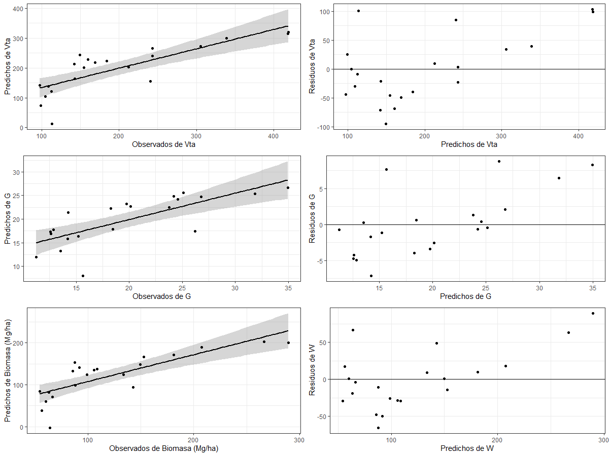
The values of the adjusted coefficients of determination (R2Adj) and errors of the best models (RCME) to estimate the forest parameters in the study area are shown in Table 4. Figure 4 illustrates the distribution of the residuals of each one of the models. The R2Adj statistic of the regression models estimated in the present study ranged from 0.51 to 0.59. In the estimation of Vta, the value of R2Adj was slightly higher, since the model managed to explain 59 % of the total variance observed in this attribute (RCME = 57.60 m3 ha-1). The value of this statistic is slightly lower than that obtained by Chrysafis et al. (2017), who estimated the forest volume in Mediterranean forest ecosystems, and were based on Sentinel-2 images, although in their case they calculated an error greater than that estimated in this work (R2 = 0.63; RCME = 63.11 m3 ha-1) and Landsat 8 OLI (R2 = 0.62; RCME = 64.40 m3 ha-1) and higher RCME.

Table 4. Regression models used in this study with their respective adjustment statistics.

Model

β

Value

R2Adj

RCME

β0

-33.096

0.51

4.4

β1

0.03543

β2

65.5993

β0

-1 478.4

0.59

57.6

β1

1.4387

β2

-0.3673

β3

2 801.5

β0

-1 021.2

0.58

39.29

β1

0.9901

β2

-0.2546

β3

1 915.4

G = Basimetric area (m2 ha-1); Vta = Forest volume (m3 ha-1); W = Forestal biomass (Mg ha-1); β = Parameters of the model; R2Adj = Adjusted coefficient of determination; RCME = Root of the mean square of the error.

Logotipo, nombre de la empresa

Descripción generada automáticamente

Figure 4. Predicted values versus observed values of the selected models for the estimation of the studied forest parameters.

On the other hand, Hu et al. (2020) estimated the forest volume through a multiple linear regression analysis (R2 = 0.49; RCME = 70.22 m3 ha-1), based on the variables derived from Sentinel-2, in the forests of the province of Hunan, China.

Particularly in Mexico, these results were above those of Hernández-Ramos et al. (2020), who estimated the volume (R2Adj = 0.32; RCME = 68.39 m3 ha-1), the basimetric area (R2Adj = 0.28; RCME = 7.64 m2 ha-1) and biomass (R2Adj = 0.32; RCME = 3 5.65 Mg ha-1), under a multiple linear regression statistical technique, in different forest ecosystems by combining medium resolution spectral information (Landsat) and information derived from the National Forest and Soil Inventory (INFyS) in the state of Quintana Roo.

On the other hand, Torres-Vivar et al. (2017) calculated the Vta (R2Adj = 0.66; RCME = 62.3 m3 ha-1), G (R2Adj = 0.66; RCME = 5.82 m2 ha-1) and W (R2Adj = 0.66; RCME = 32 Mg ha-1) in coniferous forests in the state of Hidalgo, by means of a multiple regression analysis and data from the high-resolution sensor SPOT 6. Under the same scheme, in low-deciduous forest ecosystems and with medium-resolution data (Landsat) in the State of Mexico, Acosta et al. (2017), determined RCME values for Vta of 13.18 m3 ha-1 (R2Adj = 0.66), while for G a value of 3.30 m2 ha-1 (R2Adj = 0.52) and finally for W 5.91 Mg ha-1 (R2Adj = 0.60), these figures were higher than those of the present work.

Such variation in the results of the RCME and R2Adj in the estimation and monitoring of the vegetation with remote sensors could be attributed to the spatial resolution of the images, the environmental conditions in which they were acquired, and even the type of vegetation in each case study (López-Serrano et al., 2016; Torres-Rojas et al., 2016; Hawryło et al., 2018; Pham et al., 2019; Hernández-Ramos et al., 2020; López-Serrano et al., 2020).

Finally, once the best model had been selected, the maps were generated for each forest parameter studied and the spatial distribution of the error of said model was plotted (Figure 5). In G, the spatial distribution in the study area varied from 0 to 40 m2 ha-1, for Vta from 0 to 500 m3 ha-1 and W from 0 to 300 Mg ha-1. These maps represent a diagram of the distribution of the forest resource, which can be integrated into the forest management plan to improve it.

Logotipo, nombre de la empresa

Descripción generada automáticamente

Figure 5. Spatial estimation and spatial distribution of the error of G, Vta and W in the forests of the San Bernardino de Milpillas Chico Indigenous Community.

Logotipo, nombre de la empresa

Descripción generada automáticamente

Conclusions

The generation of regression models made it possible to indirectly estimate G, Vta and W using spectral information derived from the Sentinel 2A sensor and mensuration data from SPIFyS. The NDVI vegetation index was the spectral variable that presented the highest correlation with the studied forest parameters (0.68-0.77). The high resolution images from the Sentinel 2A sensor proved to be a useful tool for mapping forest parameters in temperate forests at the regional level.

Acknowledgements

To the Programa para el Desarrollo Profesional Docente, para el tipo Superior (Prodep) through the 123-UJED project.

Conflict of interests

The authors declare no conflict of interests.

Contribution by author

Pablito Marcelo López Serrano: statistical analysis and writing of the manuscript; Daniel José Vega Nieva: review and correction of the manuscript; Hugo Ramírez Aldaba and Emily García Montiel: review and coordination of the editing process; José Javier Corral Rivas: field sampling, methodology design and review of the manuscript.

References

Acosta M., M. R., S. M. E. Pérez, Romero, H. A., González, y A. L. Martínez. 2017. Estimación de la densidad forestal mediante imágenes Landsat ETM+ en la región sur del Estado de México. Revista Mexicana de Ciencias Forestales 8(41): 30-55. Doi:10.29298/rmcf.v8i41.25.

Aguirre-Salado, C. A., J. R. Valdez-Lazalde, G. Ángeles-Pérez, H. M. de los Santos-Posadas y A. I. Aguirre-Salado. 2011. Mapeo del índice de área foliar y cobertura arbórea mediante fotografía hemisférica y datos SPOT 5 HRG: regresión y k-nn. Agrociencia 45(1): 105-119. http://www.scielo.org.mx/scielo.php?script=sci_arttext&pid=S1405-31952011000100010 (2 de marzo de 2021).

Asner G. P. and J. Mascaro. 2014. Mapping tropical forest carbon: Calibrating plot estimates to a simple LiDAR metric. Remote Sensing of Environment 140:614-624. Doi: 10.1016/j.rse.2013.09.023.

Assmann, J. J., I. H. Myers-Smith, J. T. Kerby, A. M., Cunliffe and G. Daskalova. 2020. Drone data reveal heterogeneity in tundra greenness and phenology not captured by satellites. Environmental Research Letters 15(12): 125002. Doi: 10.1088/1748-9326/abbf7d.

Barajas F., H. 2007. Comparación entre análisis discriminante no-métrico y regresión logística multinomial. Tesis de Maestría, Facultad de Ciencias, Universidad Nacional de Colombia. Medellín, Colombia. 67 p.

Casella, A., N. Barrionuevo, A. Pezzola y C. Winschel. 2018. Preprocesamiento de imágenes satelitales del sensor Sentinel 2A y 2B con el software SNAP 6. 0. Instituto de Clima y Agua. CIRN INTA Castelar. Buenos Aires, Argentina. pp. 1-31.

Chrysafis, I., G. Mallinis, S. Siachalou and P. Patias. 2017. Assessing the relationships between growing stock volume and Sentinel-2 imagery in a Mediterranean forest ecosystem. Remote Sensing Letters 8: 508-517. Doi: 10.1080/2150704X.2017.1295479.

Chuvieco, E. 2002. Teledetección Ambiental. La observación de la Tierra desde el Espacio. Editorial Ariel. Barcelona, España. 616 p.

Corral-Rivas, J. J., B. Vargas L., C. Wehenkel, O. A. Aguirre C., J. G. Álvarez G. y A. Rojo A. 2009. Guía para el Establecimiento de Sitios de Investigación Forestal y de Suelos en Bosques del Estado de Durango. Editorial UJED. Durango, Dgo., México. 81 p.

Diéguez-Aranda, U., F. Castedo D. y J. Álvarez G. 2005. Funciones de crecimiento en área basimétrica para masas de Pinus sylvestris L. procedentes de repoblación en Galicia. Investigación Agraria. Sistemas y Recursos Forestales 14(2): 253-266. http://www.inia.es/gcontrec/pub/253-266-(143_04)-Funciones_1162281545765.pdf (2 de marzo de 2021).

Dos R., A. A., M. C. Carvalho, J. M. De Mello, L. R. Gomide, A. C. Ferraz F. and F. W. A. Junior. 2018. Spatial prediction of basal area and volume in Eucalyptus stands using Landsat TM data: an assessment of prediction methods. New Zealand Journal of Forestry Science 48(1): 1-17. Doi: https://doi.org/10.1186/s40490-017-0108-0.

Emborg, J. 1998. Understorey light conditions and regeneration with respect to the structural dynamics of a near-natural temperate deciduous forest in Denmark. Forest Ecology and Management 106: 83-95. Doi: 10.1016/S0378-1127(97)00299-5.

Foody, G. M., D. S. Boyd and M. E. J. Cutler. 2003. Predictive relations of tropical forest biomass from Landsat TM data and their transferability between regions. Remote Sensing of Environment 85: 463-474. Doi:10.1016/S0034-4257(03)00039-7.

Fuchs, H., P. Magdon, K. Kleinn and H. Flessa. 2009. Estimating aboveground carbon in a catchment of the Siberian forest tundra: Combining satellite imagery and field inventory. Remote Sensing of Environment 113(3): 518-531. Doi:10.1016/j.rse.2008.07.017.

Gadow, K. V., A. Rojo, G. Álvarez-González y R. Rodríguez-Soalleiro. 1999. Ensayos de crecimiento. Parcelas permanentes, temporales y de intervalo. Investigación Agraria. Sistemas y Recursos Forestales 1:299-310. https://recyt.fecyt.es/index.php/IA/article/view/2776 (2 de marzo de 2021).

Gadow, K. V., C. Y. Zhang, C. Wehenkel, A. Pommerening, J. Corral R., M. Korol and X. H. Zhao. 2012. Forest structure and diversity. In: Pukkala, T. and K. von Gadow (eds.). Continuous cover forestry. Springer. Dordrecht, Netherlands. pp. 29-83. Doi: 10.1007/978-94-007-2202-6_2.

Gibbons, J. D. and S. Chakraborti. 2003. Nonparametric Statistical Interference; Marcel Denker, Inc. New York, NY, USA. 645 p.

Graciano-Ávila, G., E. Alanís-Rodríguez, O. A. Aguirre-Calderón, M. González-Tagle, E. J. Treviño-Garza, A. Mora-Olivo y E. Buendía-Rodríguez. 2019. Estimación de volumen, biomasa y contenido de carbono en un bosque de clima templado-frío de Durango, México. Revista Fitotecnia Mexicana 42(2): 119-127. http://www.scielo.org.mx/pdf/rfm/v42n2/0187-7380-rfm-42-02-119.pdf (2 de marzo de 2021).

Hall, R. J., R. S. Skakun, E. J. Arsenault and B. S. Case. 2006. Modeling forest stand structure attributes using Landsat ETM+ data: Application to mapping of aboveground biomass and stand volume. Forest Ecology and Management 225: 378-390. Doi: 10.1016/j.foreco.2006.01.014.

Hawryło, P., B. Bednarz, P. Wężyk and M. Szostak. 2018. Estimating defoliation of Scots pine stands using machine learning methods and vegetation indices of Sentinel-2. European Journal of Remote Sensing 51(1): 194-204. Doi:https://doi.org/10.1080/22797254.2017.1417745.

Hernández-Ramos, J., X. García-Cuevas, R. Peréz-Miranda, A. González-Hernández y L. Martínez-Ángel. 2020. Inventario y mapeo de variables forestales mediante sensores remotos en el estado de Quintana Roo, México. Madera y Bosques 26(1):e2611884. Doi:10.21829/myb.2020.2611884.

Herold, M., R. M. Román-Cuesta, D. Mollicone, Y. Hirata, P. Van Laake, G. P. Asner, C. Souza, M. Skutsch, V. Avitabile and K. Macdicken. 2011. Options for monitoring and estimating historical carbon emissions from forest degradation in the context of REDD+. Carbon Balance and Management 6: 1-13. Doi:10.1016/j.rse.2009.08.014.

Hijmans, R. J. 2020. Raster: Geographic Data Analysis and Modeling. R package version 3.4-5.  https://CRAN.R-project.org/package=raster (9 de abril de 2021).

Hu, Y., X. Xu, F. Wu, Z. Sun, H. Xia, Q. Meng and X. Xiao. 2020. Estimating forest stock volume in Hunan Province, China, by integrating in situ plot data, Sentinel-2 images, and linear and machine learning regression models. Remote Sensing 12(1): 186. Doi:10.3390/rs12010186.

Instituto Nacional de Estadística y Geografía (Inegi). 2017a. Anuario estadístico y geográfico de Durango. https://www.datatur.sectur.gob.mx/ITxEF_Docs/DGO_ANUARIO_PDF.pdf (15 de julio de 2020).

Instituto Nacional de Estadística y Geografía (Inegi). 2017b. Conjunto de datos vectoriales de uso del suelo y vegetación Escala 1: 250 000. Serie VI (Conjunto nacional). URL: http://www.conabio.gob.mx/informacion/metadata/gis/usv250s6gw.xml?_httpcache=yes&_xsl=/db/metadata/xsl/fgdc_html.xsl&_indent=no (2 de marzo de 2021).

Karjalainen, M., V. Kankare, M. Vastaranta, M. Holopainen and J. Hyyppa. 2012. Prediction of plot-level forest variables using TerraSAR-X stereo SAR data. Remote Sensing of Environment 117: 338–347. Doi:10.1016/j.rse.2011.10.008.

López-Serrano, P. M., C. A. López S., R. Solís-Moreno and J. J. Corral-Rivas. 2016. Geospatial estimation of above ground forest biomass in the Sierra Madre Occidental in the state of Durango, Mexico. Forests 7(3): 70. Doi:10.3390/f7030070.

López-Serrano, P. M., C. A. López-Sánchez, J. G. Álvarez-González and J. Garcíaa-Gutiérrez. 2016. A comparison of machine learning techniques applied to landsat-5 TM spectral data for biomass estimation. Canadian Journal of Remote Sensing 42(6): 690-705. Doi: 10.1080/07038992.2016.1217485.

López-Serrano, P. M., J. L. Cárdenas D., J. J. Corral-Rivas, E. Jiménez, C. A. López-Sánchez and D. J. Vega-Nieva. 2020. Modeling of aboveground biomass with Landsat 8 OLI and machine learning in temperate forests. Forests 11(1): 11. Doi:10.3390/f11010011.

Louis, J., V. Debaecker, B. Pflug, M. Main-Knorn, J. Bieniarz, J., U. Mueller-Wilm and F. Gascon. 2016. Sentinel-2 Sen2Cor: L2A processor for users. In: Proceedings Living Planet Symposium. 9-13 May 2016. Prague, Czech Republic. 8 p.

Lu, D., P. Mausel, E., Brondízio and E. Moran. 2004. Relationships between forest stand parameters and Landsat TM spectral responses in the Brazilian Amazon Basin. Forest Ecology and Management 198: 149-167. Doi: 10.1016/j.foreco.2004.03.048.

Miranda-Aragón, L., E. J. Treviño-Garza, J. Jiménez-Pérez, O. A. Aguirre-Calderón, M. A. González-Tagle, M. Pompa-García y C. A. Aguirre-Salado. 2013. Tasa de deforestación en San Luis Potosí, México (1993-2007). Revista Chapingo Serie Ciencias Forestales y del Ambiente 19(2): 201-215. Doi:10.5154/r.rchscfa.2011.06.044.

Myers-Smith, I.H., J. T. Kerby, G. K. Phoenix, J. W. Bjerke, H. E. Epstein, J. J. Assmann, C. J., L Andreu-Hayles, S. Angers-Blondin, P. S. A. Beck, L. T. Berner, U. S. Bhatt, A. D. Bjorkman, D. Blok, A. Bryn, C. T. Christiansen, J. H. C. Cornelissen, A. M. Cunliffe, S. C. Elmendorf, B. C. Forbes, S. J. Goetz, R. D. Hollister, R. Jong, M. M. Loranty, M. Macias-Fauria, K. Maseyk, S. Normand, J. Olofsson, T. C. Parker, F. W. Parmentier, E. Post, G. Schaepman-Strub, F. Stordal, P. F. Sullivan, H. J. D. Thomas, H. Tømmervik, R. Treharne, C. E. Tweedie, D. A. Walker, M. Wilmking and S. Wipf. 2020. Complexity revealed in the greening of the Arctic. Nature Climate Change 10(2): 106-117. Doi:10.1038/s41558-019-0688-1.

Pebesma, E. J. 2004. Multivariable geostatistics in S: the gstat package. Computers and Geosciences 30: 683-691. Doi: 10.1016/j.cageo.2004.03.012.

Pham, T., N. Yokoya, D. Bui, K. Yoshino and D. Friess. 2019. Remote sensing approaches for monitoring mangrove species, structure, and biomass: Opportunities and challenges. Remote Sensing 11:230. Doi: 10.3390/rs11030230.

Ripley, B. 2020. MASS: Support Functions and Datasets for Venables and Ripley’s Mass. https://CRAN.R-project.org/package=MASS (2 de marzo de 2021).

R Core Team. 2020. R: A language and environment for statistical computing. R Foundation for Statistical Computing, Vienna, Austria. https://www.R-project.org/ (9 de abril de 2021).

Secretaría de Recursos Naturales y Medio Ambiente (SRNyMA). 2016. Programa Estratégico Forestal 2030. Gobierno del Estado de Durango. Durango, Dgo., México. 200 p.

Segura, M. R. y G. Trincado. 2003. Cartografía digital de la Reserva Nacional Valdivia a partir de imágenes satelitales Landsat TM. Bosque (Valdivia) 24(2):43-52. Doi: https://dx.doi.org/10.4067/S0717-92002003000200005.

Simental-Cano, B., C. A. López-Sánchez, C. Wehenkel, B. Vargas-Larreta, J. G. Álvarez-González and J. J. Corral-Rivas. 2017. Species-specific and regional volume models for 12 forest species in Durango, Mexico. Revista Chapingo Serie Ciencias Forestales y del Ambiente 3(2): 155-171. Doi: 10.5154/r.rchscfa.2016.01.004.

Sobrino J., A., R. Llorens, C. Fernández, J. M. Fernández A. and A. Vega J. 2019. Relationship between soil burn severity in forest fires measured in situ and through spectral indices of remote detection. Forests 10(5): 457. Doi: 10.3390/f10050457.

Song, C. 2013. Optical remote sensing of forest leaf area index and biomass. Progress in Physical Geography 37: 98-113. Doi: 10.1177/0309133312471367.

Toledo, M., L. Poorter, M. P. Claros, A. Alarcon, J. Balcázar, C. Leaño, J. C. Licona, O. Llanque, V. Vroomans, P. Zuidema and F. Bongers. 2011. Climate is a stronger driver of tree and forest growth rates than soil and disturbance. Journal of Ecology 99(1): 254-264. Doi: 10.1111/j.1365-2745.2010.01741.x.

Tomppo, E., Th. Gschwantner, M. Lawrence and E. McRoberts. 2010. National Forest Inventories – Pathways for Common Reporting. Springer book series Managing Forest Ecosystems. Viena, Austria. 612 p. Doi: 10.1007/978-90-481-3233-1.

Torres-Rojas, G., M. E. Romero-Sánchez, E. Velasco-Bautista y A. González-Hernández. 2016. Estimación de parámetros forestales en bosques de coníferas con técnicas de percepción remota. Revista Mexicana de Ciencias Forestales 7(36): 7-24. Doi:10.29298/rmcf.v7i36.56.

Torres-Vivar, J. E., J. J. Valdez-Lazalde, G. Ángeles P., H. M. Santos-Posadas y C. A. Aguirre-Salado. 2017. Inventario y mapeo de un bosque bajo manejo de pino con datos del sensor SPOT 6. Revista Mexicana de Ciencias Forestales 8(39): 25-43. Doi:10.29298/rmcf.v8i39.41.

Vargas-Larreta, B., C. A. López-Sánchez, J. J. Corral-Rivas, J. O. López-Martínez, C. G. Aguirre-Calderón and J. G. Álvarez-González. 2017. Allometric equations for estimating biomass and carbon stocks in the temperate forests of North-Western Mexico. Forests 8(8): 269. Doi: 10.3390/f8080269.

Verbesselt, J., R. Hyndman, G. Newnham and D. Culvenor. 2010. Detecting trend and seasonal changes in satellite image time series. Remote Sensing of Environment 114: 106–115. Doi: https:10.1016/j.rse.2009.08.014.

Wulder, M. A., S. M. Ortlepp, J. C. White and S. Maxwell. 2014. Evaluation of Landsat-7 SLC-off image products for forest change detection. Canadian Journal of Remote Sensing 34(2): 93-99. Doi: 10.5589/m08-020.

        

Todos los textos publicados por la Revista Mexicana de Ciencias Forestales sin excepción– se distribuyen amparados bajo la licencia Creative Commons 4.0 Atribución-No Comercial (CC BY-NC 4.0 Internacional), que permite a terceros utilizar lo publicado siempre que mencionen la autoría del trabajo y a la primera publicación en esta revista.