Revista Mexicana de Ciencias Forestales Vol. 14 (77)

Mayo – Junio (2023)

Logotipo, nombre de la empresa

Descripción generada automáticamente

DOI: https://doi.org/10.29298/rmcf.v14i77.1349

Articulo de investigación

 

Generación de rutas mediante ACH para detección de incendios forestales en el Estado de México

Generation of routes through ACO for detection of forest fires in the State of Mexico

 

Héctor Caballero Hernández1*, Vianney Muñoz Jiménez1, Marco A. Ramos Corchado1

 

Fecha de recepción/Reception date: 4 de marzo de 2023

Fecha de aceptación/Acceptance date: 23 de mayo de 2023

_______________________________

1Universidad Autónoma del Estado de México. México.

 

*Autor para correspondencia; correo-e: hcaballeroh045@alumno.uaemex.mx

*Corresponding author; e-mail: hcaballeroh045@alumno.uaemex.mx

 

Resumen

Los incendios forman parte del ciclo de algunos ecosistemas, los cuales pueden ser causantes de la degradación de otros. Algunas de sus causas son principalmente antropogénicas, entre ellas las fogatas mal apagadas, actividades de agricultura y liberación de basura, que generan la pérdida de hábitats y contaminación aérea a gran escala. El presente trabajo hace referencia a la aplicación de un algoritmo genético basado en una colonia de hormigas para generar, de forma teórica, las rutas de verificación para el monitoreo y la detección temprana de incendios forestales en el Estado de México mediante dispositivos aéreos no tripulados, debido a que es una de las entidades con mayor número de este tipo de incidencias en México. Los datos que se emplearon en la propuesta se extrajeron de los registros que genera la Comisión Nacional Forestal (Conafor). Durante el proceso de análisis se realizó el filtrado de los municipios en donde se han presentado afectaciones en al menos tres localidades geográficas distintas. En el proceso de evaluación, el software desarrollado desplegó las rutas en las que se obtuvieron las distancias más cortas, reordenando las localidades extraídas. Finalmente, se despliega el mapa en el cual se ubican aquellas en donde se ha presentado un incendio forestal, así como la distancia aproximada del recorrido total de la ruta. Los resultados presentaron 54 % de media de reducción en las nuevas rutas planificadas, en comparación con una ruta secuencial.

Palabras clave: Algoritmo genético, colonia de hormigas, incendios forestales, inteligencia artificial, planificación de recorridos, vehículos aéreos autónomos.

Abstract

Fires are part of the cycle of some ecosystems and can cause the degradation of others. Their main causes are anthropogenic, including, among others, poorly extinguished bonfires, agricultural activities, and dumping of garbage, all of which generate habitat loss and air pollution on a large scale. This paper refers to the application of a genetic algorithm based on an ant colony to generate, at a theoretical level, verification routes for the monitoring and early detection of forest fires in the State of Mexico by means of unmanned aerial devices, as it is one of the entities with the highest number of forest fires in Mexico. The data used in the proposal were drawn from the reports generated by the National Forestry Commission (Comisión Nacional Forestal, Conafor). During the analysis process, those municipalities that have been affected in at least three different geographic locations were filtered out. In the course of the evaluation process, the software developed displayed the routes with the shortest distances, reordering the filtered localities. Finally, a map is displayed pinpointing the localities where a forest fire has occurred and showing the approximate distance of the entire route. The new routes planned with this procedure resulted in an average 54 % reduction compared to a sequential route.

Keywords: Genetic algorithm, ant colony, forest fires, artificial intelligence, path planning, autonomous aerial vehicles.

 

Introducción

 

 

Las causas de los incendios forestales son diversas, debido a la cantidad de elementos que intervienen en ellos como el combustible disponible y humedad baja en el ambiente (Cárdenas-Salgado y Pizano, 2019), así como la interferencia de forma directa o indirecta del hombre, esta última es la responsable de entre 75 y 96 % de los incendios forestales (Hirschberger, 2016). Es importante considerar que los incendios tienen la capacidad de renovar los ecosistemas (Manríquez, 2019) para dar paso a su continuidad.

En México, de acuerdo con los registros de Conafor, desde 1970 hasta 2022, se han presentado 374 742 incendios forestales, los cuales han afectado 14 829 944 ha; las entidades más afectadas han sido Estado de México, Ciudad de México, Michoacán, Chihuahua y Jalisco (Conafor, 2022).

Las variaciones climatológicas actuales han generado una serie de cambios en los ciclos de las estaciones, lo que provoca una mayor liberación de gases de efecto invernadero, y aunado a ello, la pérdida de áreas naturales que contribuyen a reducir la concentración de carbono, agrava el problema (Semarnat, 2018). Actualmente, el incremento de la temperatura a nivel global, así como las sequias, han propiciado que los incendios forestales aumenten de intensidad, tal y como se observa en Europa, Australia y el oeste de Estados Unidos de América (Williams et al., 2019; Dupuy et al., 2020; Haque et al., 2021). Cuando ocurre una gran cantidad de incendios forestales de tamaño mediano o a gran escala, las poblaciones humanas son afectadas por la liberación de gases como el monóxido de carbono, dióxido de carbono, dióxido de azufre y por material particulado, estos últimos son los más peligrosos (Sandoval et al., 2019; Correa, 2020).

En México, los incendios forestales tienden a presentarse en las épocas de poca precipitación, particularmente en primavera (Alanís-Rodríguez et al.,2008) y su número es mayor cuando hay fenómenos como las sequías (Espinoza y González, 2019). Las principales formas de manejo de incendios se relacionan con la conformación de brigadas para su control (Aguilar et al., 2021), además de la planeación de quemas controladas para reducir la concentración de combustible disponible que pueda generar un incendio a gran escala (Pérez-Salicrup et al., 2018; Rodríguez et al., 2020).

Existen distintos métodos y tecnologías disponibles para la detección de incendios mediante el análisis de elementos como fuego, humo, puntos de calor, entre otros (Ramos, 2010). Una de las más empleadas es la tecnología satelital, la cual permite capturar prácticamente cualquier superficie y permite verificar eventos como humo y fuego, un ejemplo de ello es el Sistema de Alerta Temprana de Incendios Forestales (SATIF) (Conabio, 2022). Otro tipo de mecanismos para estimar el peligro de incendio son las redes de sensores (RS), las cuales son dispositivos electrónicos que se despliegan en distintas áreas para obtener datos de humedad, temperatura, velocidad del viento, entre otros datos (Aakvaag y Frey, 2006; Cama et al., 2012). La información que extraen los sensores es enviada, generalmente, por vía inalámbrica a una estación de control.

Otros sistemas de detección suelen emplear inteligencia artificial para el reconocimiento de patrones de forma eficiente, esas técnicas incluyen a las redes neuronales convolucionales (RNC o CNN del inglés Convolutional Neural Network) (Berzal, 2019), que son una de las aplicaciones más comunes del aprendizaje profundo (Wiatowski y Bölcskei, 2016; Zhou, 2020), y se encargan de clasificar objetos en imágenes digitales. Por otra parte, están los algoritmos genéticos, los cuales son herramientas que representan los comportamientos evolutivos y de aprendizaje de seres vivos, que permiten generar soluciones a problemas que requieren de procesos de optimización, como es el proceso de cálculo de rutas para el control de incendios forestales mediante drones (Wang et al., 2018; Zhou et al., 2019; Shaji, 2022).

Cuando los incendios forestales crecen aceleradamente, la cantidad de personal disponible para contenerlos puede ser insuficiente, y los costos asociados a ello son elevados (Mendoza et al., 2012). Hoy en día, la aplicación de vehículos aéreos no tripulados (VANT) facilita la realización de acciones de monitoreo y control de incendios forestales (Kinaneva et al., 2019; Sungheetha y Sharma, 2020; Li et al., 2022). Madridano (2020) propone una arquitectura para coordinar drones y combatir incendios forestales; planteamientos similares se presentan en Pérez-Sánchez et al. (2017) con un sistema georreferenciado para el uso de drones.

Existen otros tipos de propuestas para colocar modelos de coordinación de drones (Casbeer et al., 2005; Harikumar et al., 2018; Momeni et al., 2022) para generar rutas óptimas que les permita desplazarse sin desperdiciar la energía de sus baterías, debido a que es un elemento que condiciona su movilidad. En los trabajos de Chowdhury et al. (2019), Shao et al. (2021) y Sun et al. (2022) se analizan sugerencias para el cálculo de rutas. Se requiere la planificación de las rutas por la complejidad de las distancias y la cantidad de elementos que se tienen para realizar el monitoreo (Wu et al., 2020; Dinh et al., 2021; Saeed et al., 2022). Entre los algoritmos para la planeación de rutas en ambientes complejos destaca el referente a colonia de hormigas (ACH).

Autores como Yang et al. (2020), Wang y Han (2021) y Stodola et al. (2022) resaltan la implementación del ACH porque es altamente competente para resolver el problema de rutas basada en la dificultad del viajante, esto se demuestra en el estudio de Chaudhari y Thakkar (2019), en comparación con algoritmos como la optimización por enjambre de partículas (PSO del inglés Particle Swarm Optimization), colonia artificial de abejas (ABC del inglés Artificial Bee Colony), entre otros.

Con base en la información anterior, en la presente investigación se plantea el objetivo de desarrollar una propuesta de prevención y detección de incendios forestales de forma teórica con el uso de VANT, cuyo desplazamiento se planifica de forma automática mediante el algoritmo ACH, ya que estos dispositivos pueden incorporar sensores de detección de incendios y mecanismos de extinción de incendios, aunados a sus capacidades de vuelo, lo cual les permite desplazarse por diferentes tipos de terrenos. Por tal razón, con la implementación de dispositivos VANT en el Estado de México con rutas definidas a través de un ACH será posible ayudar a solventar los problemas actuales que existen en la detección y contención de incendios forestales.

 

 

Materiales y Métodos

 

 

El Estado de México es la entidad del país en la cual, históricamente, se ha presentado la mayor cantidad de incendios forestales. Esta entidad federativa se ubica en el centro de México, en las coordenadas 18°25' y 20°17' de latitud norte, y 98°33' y 100°28' longitud oeste, y su geografía presenta una distribución de cubiertas forestales de bosque templado en 62 % de su territorio (Ceballos et al., 2009), los cuales son muy susceptibles a incendios forestales. Con base en lo anterior, se diseñó una propuesta para la generación de rutas dedicadas a la prevención y detección de incendios forestales mediante VANT. La base del trabajo consiste en extraer localidades geográficas en las que se han presentado incendios forestales, posteriormente, el ACH reordena las localidades geográficas para obtener la ruta más corta, y finalmente, se despliega la ruta propuesta por el ACH.

Un ACH es un algoritmo recurrente para solucionar problemas como el del viajante; consiste en simular el comportamiento de las hormigas para calcular la probabilidad de un camino mediante la creación de un rastro de feromonas e indicar la ruta a la que se debe de llegar (Goss et al., 1989; Dorigo et al., 1996). En este algoritmo, las hormigas son representadas por agentes computacionales simples (programa de computadora), los cuales toman un borde (camino); posteriormente se realiza la selección de feromonas (información relativa a los caminos previamente explorados). Cuando el agente termina la tarea, se evalúa el resultado para modificar el nivel de feromonas en el rastro y determinar la mejor ruta posible en la que se favorecen los bordes más cortos (también conocido como el trayecto más corto) con una mayor cantidad de feromonas, y el mejor agente es el que puede actualizar el rastro (Merkle y Middendorf, 2000). En la Figura 1 se presenta un ejemplo de colonia de hormigas, en la cual se ilustra el proceso de recorrido para determinar la mejor ruta en la búsqueda de un objetivo (O) y realizar el retorno a un punto base (B). En este caso se observa que después de la generación de los rastros, al final se elige el que representa la menor distancia por recorrer. Para el objetivo de la propuesta, el algoritmo permitirá al VANT encontrar la ruta de menor distancia en el proceso de verificación de incendios.

 

Figura 1. Ejemplo del proceso de ACH para el recorrido de distancias.

 

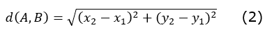
Cada agente se mueve de un estado x a un estado y, que corresponde a una solución temporal. Un agente k es el responsable de computar un conjunto  de rutas factibles de su estado actual en cada iteración, el cual se mueve de forma probabilística. Un agente  pasa de desplazarse de un estado x a un estado y, en función de la combinación de los valores de  (movimiento), y es computado por una heurística que indica la factibilidad del rastro, y el nivel del rastro  del movimiento indicando la competencia de este en el ciclo anterior. El agente  se mueve del estado x al estado y con una probabilidad obtenida con la Ecuación (1) (Gambardella y Dorigo, 1996). 

 

    

Donde:

 = Cantidad de feromonas empleadas en la transición del estado x a , 0 es el parámetro que controla la influencia de

 = Conveniencia del estado de transición xy

 = m donde  es la distancia

 = Parámetro encargado de controlar la influencia de

 

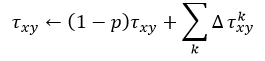
Cuando todos los agentes completan una solución, los rastros se actualizan con:

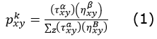
. En el proceso de evaluación de las distancias de los bordes se aplica la Ecuación (2) para determinar la distancia entre dos puntos debido a que es un elemento importante para determinar las rutas en las cuales los agentes se desplazarán.

 

   

 

Donde:

d = Distancia

A = Primer punto

B = Segundo punto

 = Abscisas de los distintos puntos

 = Ordenadas de los distintos puntos

 

Con la Ecuación 2 se calculan las distancias para determinar los bordes que van recorriendo los agentes y así determinar la menor distancia entre el recorrido total de la ruta que se está planeando.

El Cuadro 1 muestra el pseudocódigo que representa la forma general del ACH en el cual están las funciones básicas como es la generación de soluciones, los agentes que intervienen y finalmente la actualización de las feromonas, ya que estas son el espacio de solución que emplea el modelo. En cada ciclo, se eligen las rutas en las que alcanzaron mayor éxito los agentes, y de esta forma se determina el orden de los puntos para el recorrido de una ruta.

 

Cuadro 1. Pseudocódigo del algoritmo de colonia de hormigas.

Procedimiento principal

1

Procedimiento ACH

2

Mientras no encuentre la solución, realizar

3

Generar Soluciones ()

4

Acciones Agentes ()

5

Actualización Feromonas ()

6

Repetir

7

Fin del procedimiento

 

El modelo de cálculo de rutas para la detección de incendios forestales se integra por cuatro etapas principales, las cuales se muestran a continuación:

1.- Filtrado de datos. Es la etapa principal del modelo, permite extraer los datos del fichero en el que se encuentran las posiciones geográficas donde se ha presentado un incendio forestal en el Estado de México y selecciona aquellos municipios con registro de al menos tres incendios forestales. Se considera que con dos incendios o menos, la distancia total obtenida es igual si no se aplica el ACH, ya que solo existe una combinación para calcular la ruta.

2.- Enumeración de posiciones. Los grupos de localidades geográficas por municipio se forman con base en el orden alfabético de estos, posteriormente se les asigna un índice numérico de 1 a n; para ello, se considera el registro histórico en el que sucedió el incendio y se identifica de forma numérica, con la finalidad de que al momento de que se realice el reordenamiento con el ACH, se obtenga la ruta más corta para el recorrido del VANT.

3.- Reordenamiento mediante ACH. Las localidades geográficas son analizadas por el ACH, municipio por municipio, para que al final se obtenga un nuevo orden de las localidades en función de la ruta más corta que ejecutará un VANT.

4.- Presentación de resultados. Se forman dos escenarios de evaluación: A y B. El primero corresponde a la distancia que se obtendría si se calculara la ruta de recorrido en función del orden de extracción de las localidades, mientras que en el segundo escenario se aplica el ordenamiento con ACH. Los resultados se comparan para obtener una diferencia porcentual de estos y verificar la minimización de la distancia de la ruta. Al obtener las soluciones, se genera un mapa en el cual se muestra, mediante marcadores, los incendios anteriormente registrados. El orden de las localidades geográficas se presenta mediante las nuevas posiciones que adquieren sus índices, por ejemplo, un conjunto de índices [1 2 3] puede cambiar a [2 1 3]; este nuevo orden debe enviarse al VANT para que lleve a cabo su recorrido. Finalmente, se muestra el recorrido total teórico de cada ruta.

En la Figura 2 se presentan dos mapas; en la Figura 2a se observan las localidades geográficas extraídas de un municipio en donde ocurrieron incendios forestales, y en la Figura 2b se muestra el recorrido que debe de realizar un VANT para la verificación de un posible incendio de acuerdo con el resultado que obtuvo el ACH. El orden correspondiente del recorrido de la Figura 2b es [7, 1, 3, 2, 5, 6, 0, 4].

 

(a) Mapa con las localidades geográficas presentadas en el mapa para Jilotepec; (b) Ruta calculada por el ACH para Jilotepec.

Figura 2. Coordenadas geográficas extraídas de forma automática.

 

La propuesta está diseñada para ingresar datos en tiempo real para el cálculo de rutas en intervalos de tiempo en el orden de minutos, y evitar su cálculo de forma manual.

 

 

Condiciones de experimentación

 

 

En la fase de experimentación, se obtuvieron los registros de la Conafor sobre incendios forestales que se presentaron en el Estado de México durante 2022 en aquellos municipios donde ocurrieron al menos tres eventos en localidades geográficas distintas. Se propusieron dos escenarios para el proceso de experimentación: A y B. En el escenario A se realizó el cálculo de la distancia por municipio conforme se fueron extrayendo las localidades geográficas con registro de incendios, y en el escenario B se aplicó por cada municipio el ACH para obtener la ruta más corta con respecto a las localidades extraídas. En ambos se desplegó la distancia total del recorrido de la ruta, y solo para el escenario B se presentó el reordenamiento de las localidades. Finalmente se generó un mapa con marcadores por municipio que indican aquellas en las que previamente se registraron incendios forestales.

Los resultados de cada escenario se compararon mediante una media estadística para verificar la reducción en el recorrido de las rutas por ACH. En la Figura 3 se ejemplifican los dos escenarios experimentales.

 

(a) Escenario A; (b) Escenario B.

Figura 3. Propuesta experimental para el recorrido de distancias mediante ACH.

 

La propuesta se desarrolló en el software de programación Python y se ejecutó en un dispositivo Mac Book Air® con procesador M1 y 8 GB de RAM. Las generaciones totales de agentes que se emplearon para el ACH fueron 1 000. 

 

 

Resultados y Discusión

 

 

Los resultados de los escenarios A y B se muestran en el Cuadro 2, con 51 municipios seleccionados. Las rutas generadas en los dos escenarios tuvieron contrastes notables entre municipios por escenario. Los casos de mayor eficiencia se observaron cuando hubo más de 16 localidades con ocurrencia de incendios forestales; los municipios Acambay, Atlacomulco, Ixtapaluca y Ocuilan con localidades geográficas verificadas de 45,18, 49 y 75, respectivamente. Referente a la minimización de distancias entre rutas, se obtuvo una media de 54 % con un máximo de 93 % en el mejor de los casos. Esto último se observó con los datos de Ocuilan, mientras que en los municipios Xalatlaco y Xonacatlán, que tuvieron tres localidades con incendios forestales, la reducción de la distancia solo superó 2.5 %.

 

Cuadro 2. Resultados obtenidos al evaluar los puntos de recorrido secuencial lineal y por ACH.

Municipio

Distancia recorrida en km de forma secuencial

(Escenario A)

Distancia calculada en km por ACH

(Escenario B)

Diferencia porcentual

Puntos totales

Acambay de Ruíz Castañeda

475.795370

102.647187

78.426190

45

Aculco

115.717489

53.2015923

54.024588

10

Amanalco

64.7940969

33.4645787

48.352426

6

Amatepec

56.7129613

46.1921931

18.550905

6

Amecameca

71.8760222

34.4136285

52.120849

16

Atlacomulco

146.688067

53.6525422

63.424058

18

Atlautla

59.7395439

22.3597813

62.571221

12

Axapusco

8.24465249

4.58868830

44.343460

5

Calimaya

11.1576808

6.75384667

39.469081

3

Chalco

92.4847109

33.6455081

63.620464

11

Chapa de Mota

54.5967691

28.5308325

47.742635

9

Coatepec Harinas

139.561149

43.3919041

68.908321

26

Donato Guerra

92.6024808

29.6915317

67.936569

30

El Oro

7.39867909

6.05324432

18.184796

4

Isidro Fabela

23.2551310

14.1598843

39.110709

6

Ixtapaluca

227.335759

52.1543733

77.058438

49

Ixtapan de la Sal

25.2407404

20.3233401

19.481997

6

Jilotepec

71.2687924

31.0893913

56.377272

8

Jilotzingo

97.3415749

33.3383085

65.751213

22

Joquicingo

12.6388953

12.0147468

4.9383145

7

Juchitepec

11.4747209

10.1182171

11.821671

5

Lerma

115.530005

38.2361832

66.903677

28

Luvianos

28.4607759

21.2292671

25.408684

6

Malinalco

27.5241960

15.0006512

45.500129

3

Morelos

195.203301

54.2233766

72.222100

14

Naucalpan de Juárez

45.1311380

22.6778688

49.751169

15

Nicolás Romero

422.575669

67.3822026

84.054405

57

Ocoyoacac

74.0007935

29.4023493

60.267521

19

Ocuilan

725.232098

45.9514755

93.663893

75

San Felipe del Progreso

69.2611200

29.0239926

58.094826

8

San José del Rincón

327.678765

96.1962544

70.643122

38

San Martín de las Pirámides

3.24954378

2.31584122

28.733342

4

Sultepec

51.0358086

24.4415740

52.108970

4

Tejupilco

240.471197

75.5886026

68.566463

21

Temascalcingo

152.750511

47.8811699

68.654003

16

Temascaltepec

381.595986

95.1915567

75.054361

32

Tenancingo

133.138862

44.3652242

66.67748

25

Tenango del Valle

171.105803

45.3239168

73.511174

24

Tepetlaoxtoc

32.5046854

29.4524634

9.3900987

6

Texcoco

78.3423554

28.5990137

63.494825

11

Tlalmanalco

74.9889762

28.2149889

62.374484

15

Tlalnepantla de Baz

41.9447468

13.1923293

68.548315

9

Valle de Bravo

1056.56617

125.012732

88.168016

110

Villa de Allende

236.115220

72.8293532

69.155163

22

Villa del Carbón

309.749449

77.9311694

74.840578

33

Villa Guerrero

89.0352670

34.7741147

60.943437

14

Villa Victoria

204.061896

58.0877317

71.534258

26

Xalatlaco

5.94543065

5.79518474

2.5270820

3

Xonacatlán

5.31337491

5.12475651

3.5498793

3

Zinacantepec

189.094685

55.5089530

70.644889

18

 

En la Figura 4 se presenta una gráfica de los resultados más relevantes, en la cual es posible comparar la reducción en el recorrido de la ruta por cada municipio. El más notable fue Valle de Bravo, que pasó de un recorrido total en el escenario A de 1 056.56 km a 125.01 km en el escenario B. Para el caso anterior, se observa claramente la ventaja que tiene el ACH sobre el cálculo de rutas que se generan sin un proceso de minimización de distancias. Por otra parte, es evidente que en sitios en los que existen tres localidades con distancias de pocos kilómetros, la reducción es inferior a 5 %. En municipios con tres localidades, pero con mayor distancia entre ellas, se pueden obtener mejores resultados en el proceso de minimización, como sucedió en Calimaya y Malinalco.

 

Figura 4. Grafica comparativa entre la reducción de kilómetros al aplicar el ACH.

 

Las diferencias porcentuales más acentuadas con respecto a la distancia recorrida de los dos escenarios se presentaron en Ocuilan, Valle de Bravo y Morelos, mientras que una menor disminución se registró en las rutas de Villa Guerrero, Xonacatlán y Jilotzingo. La diferencia de una mayor o menor reducción en cuanto a la distancia de la ruta generada está en función de la cantidad de localidades, la distancia entre estas y la probabilidad de un número más alto de retornos existentes.

En la Figura 5a se muestran las localidades geográficas en las cuales se han presentado incendios forestales en el municipio Amecameca, estas se indican por marcadores en forma de globos azules que contienen un nombre de referencia (nombre del municipio e índice de la localidad) para obtener una referencia espacial de donde ocurrió el incendio. En la Figura 5b se muestra la ruta calculada de forma secuencial, y en la Figura 5c la ruta calculada con ACH.

(a) Mapa con coordenadas agregadas; (b) Ruta calculada de forma secuencial; (c) Ruta calculada por ACH.

Figura 5. Puntos en donde se han presentado incendios forestales, municipio Amecameca, Estado de México.

 

De acuerdo con los resultados experimentales, se verifica que el ACH representa una solución viable para la reducción de distancias en el recorrido de rutas, ya que se obtienen valores similares en la minimización de distancias con respecto a los trabajos de Zhou et al. (2019) y Wu et al. (2020). En relación con trabajos efectuados con drones que se desplazan en áreas forestales, como los basados en dispositivos VANT con cámaras o dispositivos IoT desplegados en un terreno, pero sin aplicar un análisis sobre las rutas para reducir la distancia del recorrido, se tiene la ventaja que al emplear registros previos de incendios, es factible generar rutas para la ejecución del proceso de prevención y detección de incendios forestales, así como para la optimización del gasto energético en el recorrido de las unidades VANT (Sungheetha y Sharma, 2020; Li et al., 2022).

Durante el desarrollo de los escenarios experimentales A y B, no se observó un consumo de recursos computacionales de forma excesiva, como sería el caso de la memoria RAM y tiempo en CPU, pero era notorio que al calcularse la distancia de las rutas hasta terminar con todos los municipios, así como el uso de datos en la librería empleada, en este caso fue GeoPy, presentaba un error de conexión a internet, por lo que fue necesario hacer la evaluación por grupos de 10 en 10 municipios. A partir de las características de operación del software, es posible procesar entradas de datos superiores a las que se emplearon en la fase experimental para obtener datos de todos los municipios del país, así como para obtener soluciones en tiempo real, si se considera que las rutas pueden permanecer vigentes hasta por 5 años, mientras que no existan cambios drásticos en las zonas analizadas por cambios en la composición de la biomasa o en el ciclo de precipitaciones y de las condiciones climatológicas.

 

 

Conclusiones

 

 

Los algoritmos evolutivos computacionales, como es el caso de los algoritmos genéticos basados en colonias de hormigas, permiten obtener soluciones a problemas de optimización, específicamente para la generación de rutas para vehículos aéreos no tripulados que puedan recorrerse en la menor distancia posible. Durante los experimentos, se observó que a pesar de la gran cantidad de puntos procedentes de distintos municipios, la tendencia siempre estuvo orientada a una reducción, con respecto a la ruta secuencial inicialmente planteada, con una reducción máxima de distancia inicial de 93 %, lo cual indica que en las regiones donde se detecta una gran cantidad de incendios aparentemente aleatoria, la ganancia en la planificación de la ruta es muy significativa, con una media de 54 % de todos los municipios analizados, así como cuando los puntos son distantes (más de 10 kilómetros).

Si bien es cierto que en México existen agrupaciones para la prevención y control de incendios forestales, los recursos disponibles de personal y tiempo son limitados, por lo tanto, la implementación de sistemas VANT con generación de rutas mediante ACH para la prevención y detección de incendios en puntos estratégicos permitirá desarrollar esas actividades de forma eficiente y eficaz en coordinación con personal humano. Dado que el cálculo de rutas presenta un alto grado de automatización, la cantidad de datos ingresados pueden ser superiores a centenas de localidades geográficas, por lo que es altamente flexible para el ingreso de nuevas localidades, las cuales es factible implementarlas en tiempo real para obtener rutas nuevas en función de las necesidades que se presenten en contextos específicos.

 

Agradecimientos

 

Agradecemos al Consejo Mexiquense de Ciencia y Tecnología (Comecyt) por el apoyo otorgado para la realización del proyecto de investigación.

 

Conflicto de intereses

 

Los autores declaran que no tienen intereses en competencia.

 

Contribución por autor

 

Héctor Caballero Hernández: conceptualización de la idea, diseño e implementación del algoritmo ACH y preparación del manuscrito; Vianney Muñoz Jiménez: redacción de la introducción y de la metodología; Marco A. Ramos Corchado: diseño experimental, redacción de los resultados y de las conclusiones. Todos los autores revisaron el manuscrito.

 

 

Referencias

 

Aakvaag, N. y J. E. Frey. 2006. Redes de sensores inalámbricos, nuevas soluciones de interconexión para la automatización industrial. Revista ABB 2:39-42. https://www.researchgate.net/profile/NielsAakvaag/publication/28135303. (1 de diciembre de 2022).

Aguilar M., S., E. Valtierra P., M. de J. González G., J. M. Salas G., A. L. Merino y M. Hernández J. 2021. Brigadas comunitarias para la conservación y gestión de los recursos forestales en San Miguel Topilejo, Tlalpan, Ciudad de México. Sociedad y Ambiente (24):1-24. Doi: 10.31840/sya.vi24.2361.

Alanís-Rodríguez, E., J. Jiménez-Pérez, D. Espinoza-Vizcarra, E. Jurado-Ybarra, O. A. Aguirre-Calderón y M. A. González-Tagle. 2008. Evaluación del estrato arbóreo en un área restaurada post-incendio en el Parque Ecológico Chipinque, México. Revista Chapingo Serie Ciencias Forestales y del Ambiente 14(2):113-118. https://www.scielo.org.mx/pdf/rcscfa/v14n2/v14n2a6.pdf. (15 de enero de 2023).

Berzal, F. 2019. Redes Neuronales and Deep Learning 1: Entrenamiento de redes neuronales artifiales. Editorial Independiente. Madrid, Md, España. 450 p.

Cama, A., E. De la Hoz y D. Cama. 2012. Las redes de sensores inalámbricos y el internet de las cosas. INGE CUC 8(1):163-172. https://revistascientificas.cuc.edu.co/ingecuc/article/view/253/232. (20 de enero de 2023).

Cárdenas-Salgado, J. C. y C. Pizano. 2019. Efecto de temperaturas que simulan incendios sobre la germinación de semillas de un bosque seco tropical. Colombia Forestal 22(2):55-66. Doi: 10.14483/2256201X.14702.

Casbeer, D. W., R. W. Beard, T. W. McLain, S. M. Li and R. K. Mehra. 2005. Forest fire monitoring with multiple small UAVs. In: American Automatic Control Council. Proceedings of the 2005, American Control Conference 2005. Institute of Electrical and Electronics Engineers (IEEE). Portland, OR, United States of America. pp. 3530-3535.

Ceballos, G., R. List, G. Garduño, R. López C., … y J. E. San Román (Comps.). 2009. La diversidad biológica del Estado de México. Estudio de estado. Editorial Biblioteca Mexiquense del Bicentenario, Gobierno del Estado de México y Comisión Nacional para el Conocimiento y Uso de la Biodiversidad. Toluca, Edo. Méx., México. 535 p. https://biblioteca.semarnat.gob.mx/janium/Documentos/Ciga/Libros2011/EEB_EDOMEX_baja.pdf. (7 de abril de 2023).

Chaudhari, K. and A. Thakkar. 2019. Travelling Salesman Problem: An empirical comparison between ACO, PSO, ABC, FA and GA. In: Kacprzyk, J. (Edit.). Advances in intelligent systems an computing. Springer Singapore. Gateway East, SG, Singapore. pp. 397-405.

Chowdhury, S., M. Marufuzzaman, H. Tunc, L. Bian and W. Bullington. 2019. A modified ant colony optimization algorithm to solve a dynamic traveling salesman problem: A case study with drones for wildlife surveillance. Journal of Computational Design and Engineering 6(3):368-386. Doi: 10.1016/j.jcde.2018.10.004.

Comisión Nacional Forestal (Conafor). 2022. Histórico Incendios Forestales en México 1970-2022. https://snif.cnf.gob.mx/estadisticas-de-incendios/. (10 de febrero de 2023).

Comisión Nacional para el Conocimiento y Uso de la Biodiversidad (Conabio). 2022. Nuevo sitio web del Sistema de Alerta Temprana de Incendios Forestales para México y América Central (SATIF). https://www.gob.mx/conabio/prensa/nuevo-sitio-web-del-sistema-de-alerta-temprana-de-incendios-forestales-para-mexico-y-america-central-satif?idiom=es#:~:text=http%3A%2F%2Fincendios%2Dbeta.conabio.gob.mx,-%2D%2D%2D%2D%2D&text=Fue%20creada%20por%20Acuerdo%20Presidencial%20el%2016%20de%20marzo%20de%201992. (10 de febrero de 2023).

Correa G., A. 2020. Contaminación atmosférica por incendios forestales en Morelia, Michoacán. Ciencia Nicolaita (80):56-75. Doi: 10.35830/cn.vi80.511.

Dinh, Q. T., D. D. Do and M. H. Hà. 2021. Ants can solve the parallel drone scheduling traveling salesman problem. In: Chicano, F. (Edit.). GECCO´21: Proceedings of the Genetic and Evolutionary Computation Conference. Association for Computing Machinery. New York, NY, United States of America. pp. 14-21.

Dorigo, M., V. Maniezzo and A. Colorni. 1996. Ant System: Optimization by a colony of cooperating agents. IEEE Transactions on Systems, Man, and Cybernetics–Part B (Cybernetics) 26(1):29-41. Doi: 10.1109/3477.484436.

Dupuy, J. L., H. Fargeon, N. Martin, F. Pimont, ... and P. Fernandes. 2020. Climate change impact on future wildfire danger and activity in southern Europe: a review. Annals of Forest Science 77(2):35. Doi: 10.1007/s13595-020-00933-5.

Espinoza J., A. R. y L. Gómez M. 2019. Incendios forestales y el fenómeno de sequía: el caso de San Luis Potosí, México. Tlalli Revista de Investigación en Geografía 1(1):13-24. Doi: 10.22201/ffyl.26832275e.2019.1.381.

Gambardella, L. M. and M. Dorigo. 1996. Solving symmetric and asymmetric TSPs by ant colonies. In: Institute of Electrical and Electronics Engineers (IEEE). Proceedings of IEEE International Conference on Evolutionary Computation. IEEE. Nagoya, N, Japan. pp. 622-627.

Goss, S., S. Aron, J. L. Deneubourg and J. M. Pasteels. 1989. Self-organized shortcuts in the Argentine ant. Naturwissenschaften 76:579-581. Doi: 10.1007/BF00462870.

Haque, K., A. K. Azad, Y. Hossain, T. Ahmed, M. Uddin and M. Hossain. 2021. Wildfire in Australia during 2019-2020, its impact on health, biodiversity and environment with some proposals for risk management: a review. Journal of Environmental Protection 12(6):391-414. Doi. 10.4236/jep.2021.126024.

Harikumar, K., J. Senthilnath and S. Sundaram. 2018. Multi-UAV oxyrrhis marina-inspired search and dynamic formation control for forest firefighting. IEEE Transactions on Automation Science and Engineering 16(2):863-873. Doi: 10.1109/TASE.2018.2867614.

Hirschberger, P. 2016. Forests ablaze: Causes and effects of global forest fires. WWF Deutschland. Berlin, BER, Germany. 107 p. https://www.wwf.de/fileadmin/fm-wwf/Publikationen-PDF/WWF-Study-Forests-Ablaze.pdf. (1 de abril de 2023).

Kinaneva, D., G. Hristov, J. Raychev and P. Zahariev. 2019. Early forest fire detection using drones and artificial intelligence. In: Koricic, M., Z. Butkovic, K. Skala, Z. Car, … and M. Janjic (Edits). 42nd International Convention on Information and Communication Technology, Electronics and Microelectronics (MIPRO). Institute of Electrical and Electronics Engineers (IEEE). Opatija, HR, Croatia. pp. 1060-1065.

Li, S., L. Qiao, Y. Zhang and J. Yan. 2022. An early forest fire detection system based on DJI M300 Drone and H20T Camera. In: Institute of Electrical and Electronics Engineers (IEEE). 2022 International Conference on Unmanned Aircraft Systems (ICUAS). IEEE. Dubrovnik, DU, Croatia. pp. 932-937.

Madridano C., A. 2020. Arquitectura de software para navegación autónoma y coordinada de enjambres de drones en labores de lucha contra incendios forestales y urbanos. Tesis de Doctorado, Departamento de Ingeniería de Sistemas y Automática, Universidad Carlos III de Madrid. Madrid, MD, España. 232 p.

Manríquez Z., H. M. 2019. Especies forestales afectadas en incendios ocurridos en Amazonas: Un análisis de la información fiscal de los casos de Chachapoyas y Luya. Arnaldoa 26(3):965-976. Doi: 10.22497/ARNALDOA.263.26307.

Mendoza A., S., R. Z. Ríos M. y M. A. Díaz R. 2012. Optimizando el despliegue de recursos en la extinción de un incendio forestal. Ingenierías 15(55):58-64. http://eprints.uanl.mx/id/eprint/10494. (5 de abril de 2023).

Merkle, D. and M. Middendorf. 2000. An ant algorithm with a new pheromone evaluation rule for total tardiness problems. In: Cagnoni, S. (Edit.). Real-World Applications of Evolutionary Computing. Springer Berlin. Edinburgh, SC, United Kingdom. pp. 287-296.

Momeni, M., H. Soleimani, S. Shahparvari and B. Afshar-Nadjafi. 2022. Coordinated routing system for fire detection by patrolling trucks with drones. International Journal of Disaster Risk Reduction 73:102859. Doi: 10.1016/j.ijdrr.2022.102859.

Pérez-Sánchez, H. A., E. U. Benítez-Rendón y M. Díaz-Rodríguez. 2017. Sistema de georeferenciado de imágenes con drones. Ra Ximhai 13(3):65-77. Doi: 10.35197/rx.13.03.2017.04.hp.

Pérez-Salicrup, D. R., R. Ortíz M., E. Garduño M., H. L. Martínez-Torres, … y A. González C. 2018. Coordinación institucional para la realización de quemas prescritas y quemas controladas en México. Revista Mexicana de Ciencias Forestales 9(49):252-270. Doi: 10.29298/rmcf.v9i49.169.

Ramos R., M. P. 2010. Manejo de fuego. Editorial Félix Varela. La Habana, LH, Cuba. 240 p. https://gfmc.online/wp-content/uploads/Manejo-del-Fuego-Ramos-Rodriguez-Cuba-2010.pdf. (15 de diciembre de 2022).

Rodríguez T., D. A., P. Martínez M., J. A. Pulido L., P. J. Martínez L. y J. D. Cruz L. 2020. Combustibles, comportamiento del fuego y emisiones en un pastizal y una sabana artificiales en Chiapas, México. Revista de Biología Tropical 68(2):641-654. Doi: 10.15517/rbt.v68i2.33954.

Saeed, R. A., M. Omri, S. Abdel-Khalek, E. S. Ali and M. F. Alotaibi. 2022. Optimal path planning for drones based on swarm intelligence algorithm. Neural Computing and Applications 34(12):10133-10155. Doi: 10.1007/s00521-022-06998-9.

Sandoval D., B., T. Reyes R. y M. Oyarzún G. 2019. Mecanismos de los efectos nocivos para la salud de la contaminación atmosférica proveniente de incendios forestales. Revista Chilena de Enfermedades Respiratorias 35(1):49-57. Doi: 10.4067/S0717-73482019000100049.

Secretaría de Medio Ambiente y Recursos Naturales (Semarnat). 2018. Incendios forestales y cambio climático. https://www.gob.mx/semarnat/articulos/incendios-forestales-y-cambio-climatico. (1 de diciembre de 2022).

Shaji, K. 2022. Using ant colony optimization to route a team of UAVs to fires based on known fire intensities. In: Tiwari, S. and S. Chaudhary (Edits.). 15th Innovations in Software Engineering Conference. Association for Computing Machinery. New York, NW, United States of America. pp. 1-8.

Shao, J., J. Cheng, B. Xia, K. Yang and H. Wei. 2021. A novel service system for long-distance drone delivery using the “Ant Colony+A*” algorithm. IEEE Systems Journal 15(3):3348-3359. Doi: 10.1109/JSYST.2020.2994553.

Stodola, P., P. Otřísal and K. Hasilová. 2022. Adaptive ant colony optimization with node clustering applied to the Travelling Salesman Problem. Swarm and Evolutionary Computation 70:1-18. Doi: 10.1016/j.swevo.2022.101056.

Sun, Z. H., X. Luo, E. Q. Wu, T. Y. Zuo, Z. R. Tang and Z. Zhuang. 2022. Monitoring scheduling of drones for emission control areas: An ant colony-based approach. IEEE Transactions on Intelligent Transportation Systems 23(8):11699-11709. Doi: 10.1109/TITS.2021.3106305.

Sungheetha, A. and R. Sharma R. 2020. Real time monitoring and fire detection using internet of things and cloud based drones. Journal of Soft Computing Paradigm 2(3):168-174. Doi: 10.36548/jscp.2020.3.004.

Wang, C., P. Liu, T. Zhang and J. Sun. 2018. The adaptive vortex search algorithm of optimal path planning for forest fire rescue UAV. In: Institute of Electrical and Electronics Engineers (IEEE). 3rd Advanced Information Technology, Electronic and Automation Control Conference (IAEAC). IEEE. Chongqing, CN, China. pp. 400-405.

Wang, Y. and Z. Han. 2021. Ant colony optimization for traveling salesman problem based on parameters optimization. Applied Soft Computing 107:107439. Doi: 10.1016/j.asoc.2021.107439.

Wiatowski, T. and H. Bölcskei. 2016. A mathematical theory of deep convolutional neural networks for feature extraction. IEEE Transactions on Information Theory 64(3):1845-1866. Doi: 10.1109/TIT.2017.2776228.

Williams, A. P., J. T. Abatzoglou, A. Gershunov, J. GuzmanMorales, … and D. P. Lettenmaier. 2019. Observed impacts of anthropogenic climate change on wildfire in California. Earth's Future 7(8):892-910. Doi: 10.1029/2019EF001210.

Wu, P., Y. Wang and B. Wang. 2020. An ant colony algorithm for drone path planning. In: IEEE Computer Society. 2020 5th International Conference on Mechanical, Control and Computer Engineering (ICMCCE). The Institute of Electrical and Electronics Engineers, Inc. Harbin, Hei, China. pp. 1559-1562.

Yang, K., X. You, S. Liu and H. Pan. 2020. A novel ant colony optimization based on game for traveling salesman problem. Applied Intelligence 50(12):4529-4542. Doi: 10.1007/s10489-020-01799-w.

Zhou, D. X. 2020. Theory of deep convolutional neural networks: Downsampling. Neural Networks 124:319-327. Doi: 10.1016/j.neunet.2020.01.018.

Zhou, J., W. Zhang, Y. Zhang, Y. Zhao and Y. Ma. 2019. Optimal path planning for UAV patrolling in forest fire prevention. In: Zhang, X. (Edit.). The Proceedings of the 2018 Asia-Pacific International Symposium on Aerospace Technology (APISAT 2018). Springer Singapore. Gateway East, SG, Singapore. pp. 2209-2218.

 

        

Todos los textos publicados por la Revista Mexicana de Ciencias Forestales sin excepción– se distribuyen amparados bajo la licencia Creative Commons 4.0 Atribución-No Comercial (CC BY-NC 4.0 Internacional), que permite a terceros utilizar lo publicado siempre que mencionen la autoría del trabajo y a la primera publicación en esta revista.